Advanced Synthesis of Conjugated Triene Intermediates for High-Performance Herbicide Manufacturing
The global agrochemical industry continuously demands innovative synthetic pathways to access complex molecular scaffolds with high efficiency and purity. Patent CN111108093B introduces a significant breakthrough in this domain by disclosing a novel class of conjugated triene compounds and their robust preparation methods. These compounds, characterized by a specific cyclohexenylene backbone with exocyclic double bonds, represent a pivotal intermediate in the synthesis of high-value herbicides such as Pinoxaden. The technical innovation lies not merely in the discovery of the molecule itself but in the strategic manipulation of double bond positions through a controlled sequence of isomerization, halogenation, and dehydrohalogenation. This approach offers a distinct advantage over traditional random functionalization methods, providing precise control over the regiochemistry required for downstream aromatization. For R&D directors and process chemists, understanding this pathway is crucial for optimizing the production of next-generation crop protection agents.

Furthermore, the versatility of this synthetic route allows for extensive derivatization, enabling the creation of a library of analogs with tailored physical and biological properties. The patent highlights that these multifunctional compounds can undergo further transformations to yield derivatives with diverse chemical natures, ultimately leading to final products with practical application value. By establishing a reliable method to construct the conjugated triene system, this technology addresses a critical bottleneck in the supply chain for phenylacetic acid derivatives used in modern agriculture. The ability to access these structures efficiently translates directly into enhanced capabilities for developing new active ingredients with improved environmental profiles and efficacy.
The Limitations of Conventional Methods vs. The Novel Approach
The Limitations of Conventional Methods
Historically, the synthesis of substituted arylmalonic acid derivatives, which are core structures for many herbicides, has relied on direct arylation or complex coupling reactions that often suffer from poor regioselectivity and harsh reaction conditions. Conventional routes frequently involve multiple protection and deprotection steps to manage the reactivity of sensitive functional groups, leading to reduced overall yields and increased waste generation. Additionally, achieving the specific substitution pattern required for high-performance herbicides like Pinoxaden often necessitates the use of expensive transition metal catalysts or specialized reagents that are difficult to source on a large scale. These traditional methods can also struggle with the formation of unwanted isomers, complicating the purification process and resulting in an impurity profile that is challenging to control within strict regulatory limits. The lack of a streamlined pathway to the specific conjugated triene precursor has previously limited the flexibility of process chemists to optimize the final aromatization step effectively.
The Novel Approach
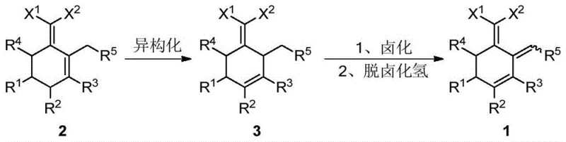
In contrast, the methodology described in CN111108093B offers a streamlined and highly controllable alternative by utilizing a 2-(cyclohexenylene) malonic acid derivative as a strategic starting material. This novel approach leverages a sequential transformation where an initial isomerization sets the stage for a precise halogenation event, followed by a targeted dehydrohalogenation to establish the conjugated triene system. This stepwise progression allows for the fine-tuning of reaction parameters at each stage, ensuring that the double bonds are positioned exactly where needed for the subsequent aromatization. By avoiding the pitfalls of direct aromatic substitution, this route minimizes the formation of regioisomers and simplifies the purification workflow. The use of readily available halogenating agents and common bases further enhances the practicality of this method, making it an attractive option for industrial-scale manufacturing where consistency and cost-efficiency are paramount.
Mechanistic Insights into Isomerization and Halogenation-Dehydrohalogenation Sequence
The core of this synthetic innovation relies on a sophisticated understanding of base-catalyzed isomerization and electrophilic halogenation mechanisms. The process begins with the treatment of the starting olefin with a base, such as sodium methoxide or potassium hydroxide, which facilitates the migration of the double bond within the cyclohexenylene ring. This isomerization is critical as it activates specific allylic positions for the subsequent halogenation step. Following this, the introduction of a halogenating agent like chlorine gas or sulfuryl chloride results in the selective substitution or addition-elimination at the activated site. The final dehydrohalogenation step, typically promoted by heating in the presence of an organic base like triethylamine, eliminates hydrogen halide to form the exocyclic double bond, completing the conjugated triene architecture. This mechanistic pathway ensures that the thermodynamic stability of the conjugated system drives the reaction towards the desired product, minimizing side reactions.

From an impurity control perspective, this mechanism offers significant advantages by limiting the number of reactive intermediates that can lead to byproducts. The sequential nature of the reaction allows for the monitoring and quenching of intermediates before they can degrade or react non-selectively. For instance, controlling the temperature during the dehydrohalogenation step between 50°C and 80°C prevents thermal degradation while ensuring complete elimination. Furthermore, the choice of halogenating agent can be tuned to match the specific electronic properties of the substrate, reducing the risk of over-halogenation or polymerization. This level of mechanistic control is essential for producing high-purity intermediates that meet the stringent specifications required for pharmaceutical and agrochemical applications, ensuring that the final herbicide products are free from toxic or inactive contaminants.
How to Synthesize Conjugated Triene Compound Efficiently
The synthesis of these valuable intermediates follows a logical progression designed to maximize yield and minimize operational complexity. The process initiates with the preparation of the starting olefin, which is then subjected to the isomerization conditions described in the patent. Detailed operational parameters, including specific molar ratios of base to substrate and precise temperature controls, are critical for success. Following the isomerization, the reaction mixture is treated with the halogenating agent under controlled conditions to introduce the necessary functionality for the final elimination step. The entire sequence can potentially be telescoped into a one-pot operation, significantly reducing solvent consumption and processing time. For a comprehensive understanding of the specific reagents, stoichiometry, and workup procedures required to implement this chemistry in your facility, please refer to the standardized synthesis guide below.
- Perform base-catalyzed isomerization of 2-(cyclohexenylene) malonic acid derivatives using alkali metal alcoholates or hydroxides.
- Conduct halogenation using agents like chlorine or sulfuryl chloride, followed by dehydrohalogenation with organic bases.
- Optionally proceed to aromatization using alkali metal halide catalysts to yield 2-arylmalonic acid derivatives.
Commercial Advantages for Procurement and Supply Chain Teams
For procurement managers and supply chain leaders, the adoption of this synthetic route presents compelling economic and logistical benefits that extend beyond simple yield improvements. The reliance on commodity chemicals such as chlorine, sulfuryl chloride, and common alkali bases drastically reduces the raw material costs compared to routes requiring precious metal catalysts or exotic reagents. This shift to widely available inputs mitigates the risk of supply disruptions and price volatility, ensuring a more stable cost structure for long-term production contracts. Moreover, the potential for one-pot processing reduces the number of unit operations, which translates to lower energy consumption, reduced solvent usage, and decreased waste disposal costs. These factors collectively contribute to a significantly leaner manufacturing process that enhances overall profitability while maintaining high product quality standards.
- Cost Reduction in Manufacturing: The elimination of expensive transition metal catalysts and the use of inexpensive halogenating agents lead to substantial savings in raw material expenditures. By streamlining the synthesis into fewer steps, the process reduces labor costs and equipment occupancy time, allowing for higher throughput in existing facilities. The avoidance of complex purification steps associated with traditional methods further lowers the cost of goods sold, making the final herbicide more competitive in the global market.
- Enhanced Supply Chain Reliability: Sourcing strategies are simplified as the key reagents are bulk commodities with multiple global suppliers, reducing dependency on single-source vendors. The robustness of the reaction conditions means that the process is less sensitive to minor variations in raw material quality, ensuring consistent production output even with fluctuating supply conditions. This reliability is crucial for maintaining continuous supply to downstream formulation plants and meeting seasonal demand peaks in the agricultural sector without delay.
- Scalability and Environmental Compliance: The process is inherently scalable, having been demonstrated in multi-gram to kilogram scales in the patent examples, indicating readiness for ton-scale commercial production. The reduced solvent footprint and the ability to recycle certain reaction components align with increasingly strict environmental regulations, minimizing the regulatory burden and associated compliance costs. This green chemistry approach not only improves the corporate sustainability profile but also future-proofs the manufacturing asset against tightening environmental legislation.
Frequently Asked Questions (FAQ)
The following questions address common technical and commercial inquiries regarding the implementation of this patented technology. These insights are derived directly from the experimental data and claims presented in the patent documentation, providing a factual basis for decision-making. Understanding these nuances helps stakeholders evaluate the feasibility of integrating this route into their existing portfolios. For more detailed technical discussions or custom feasibility studies, our team is available to provide deeper analysis tailored to your specific production requirements.
Q: What are the key reaction conditions for the isomerization step?
A: The isomerization typically utilizes bases such as sodium methoxide or potassium hydroxide at temperatures around 50°C, with a molar ratio of base to substrate between 0.8:1 and 2.4:1.
Q: Can the synthesis be performed as a one-pot reaction?
A: Yes, the patent explicitly describes that the process from the starting olefin to the final aryl-substituted malonic acid derivative can be conducted in a one-pot manner without isolating intermediate products.
Q: What is the primary agricultural application of these compounds?
A: These conjugated triene compounds serve as critical precursors for synthesizing biologically active herbicides, specifically Pinoxaden, through further functional group transformations and aromatization.
Partnering with NINGBO INNO PHARMCHEM: Your Reliable Conjugated Triene Compound Supplier
At NINGBO INNO PHARMCHEM, we recognize the strategic importance of efficient intermediate synthesis in the competitive agrochemical landscape. Our team possesses extensive experience scaling diverse pathways from 100 kgs to 100 MT/annual commercial production, ensuring that the transition from laboratory bench to industrial reactor is seamless and risk-mitigated. We are committed to delivering high-purity conjugated triene compounds that meet stringent purity specifications, supported by our rigorous QC labs and state-of-the-art analytical capabilities. Our expertise in handling halogenation and isomerization chemistries allows us to optimize this specific patent route for maximum efficiency and safety, providing our partners with a secure and high-quality supply of critical intermediates.
We invite you to collaborate with us to leverage this advanced technology for your herbicide production needs. Contact our technical procurement team today to request a Customized Cost-Saving Analysis specific to your volume requirements. We are prepared to provide specific COA data and route feasibility assessments to demonstrate how our manufacturing capabilities can enhance your supply chain resilience and drive down your overall production costs.
