Advanced Manufacturing Of Triclabendazole Sulfoxide: A Technical Breakdown For Global Procurement
Advanced Manufacturing Of Triclabendazole Sulfoxide: A Technical Breakdown For Global Procurement
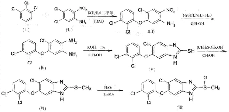
The pharmaceutical and agrochemical industries are constantly seeking robust synthetic routes that balance high yield with environmental sustainability and operator safety. Patent CN103319417A introduces a transformative methodology for the preparation of Triclabendazole Sulfoxide, a critical active metabolite used extensively in veterinary medicine for treating fascioliasis in ruminants. This technical disclosure moves away from hazardous traditional precursors like 2,3-dichlorophenol, opting instead for the more stable and economically viable 1,2,3-trichlorobenzene. By re-engineering the reduction and cyclization steps, the patent outlines a pathway that not only boosts overall yield to over 81.5% but also ensures a final purity exceeding 99%. For R&D directors and supply chain managers, this represents a significant opportunity to optimize the manufacturing of this high-value veterinary drug intermediate while adhering to stricter global environmental regulations.

The Limitations of Conventional Methods vs. The Novel Approach
The Limitations of Conventional Methods
Historically, the industrial synthesis of Triclabendazole and its sulfoxide derivative has been plagued by significant operational and environmental bottlenecks. Traditional routes frequently employ 2,3-dichlorophenol as a key starting material, a compound notorious for its strong sensitization properties and high market price, which drives up raw material costs and poses severe occupational health risks to plant personnel. Furthermore, established reduction protocols often rely on iron powder as the reducing agent. While chemically effective, this method generates voluminous quantities of iron mud sludge that is notoriously difficult to filter and dispose of, creating a substantial burden on waste management systems and increasing the risk of heavy metal pollution in the surrounding environment. Additionally, some legacy processes utilize high-pressure ammonification, introducing unnecessary safety hazards related to reactor integrity and operational complexity.
The Novel Approach
The methodology described in CN103319417A fundamentally重构 s the synthetic strategy to address these pain points directly. By initiating the synthesis with 1,2,3-trichlorobenzene, the process bypasses the need for sensitizing phenols entirely, utilizing an in-situ hydrolysis mechanism to generate the necessary phenoxide species safely within the reactor. Crucially, the reduction step is modernized through catalytic transfer hydrogenation using hydrazine hydrate and Raney nickel. This switch eliminates the generation of iron sludge, resulting in a much cleaner reaction profile that simplifies downstream processing and filtration. The visual representation of this streamlined pathway highlights the efficiency gains achieved by integrating the reduction and cyclization steps, ultimately leading to a more sustainable and scalable production model for this essential veterinary intermediate.

Mechanistic Insights into Phase-Transfer Catalyzed Substitution and Selective Oxidation
The core of this synthetic innovation lies in the precise control of nucleophilic aromatic substitution and subsequent redox transformations. The initial step leverages a phase-transfer catalyst, specifically TBAB (Tetrabutylammonium bromide), to facilitate the reaction between the organic soluble trichlorobenzene and the aqueous potassium hydroxide phase. This interfacial catalysis allows for the efficient displacement of the chlorine atom at the 4-position by the oxygen nucleophile, forming the critical ether linkage under relatively mild thermal conditions (120°C to 180°C). The use of xylene as a solvent aids in the azeotropic removal of water, driving the equilibrium forward and ensuring high conversion rates without the need for extreme pressures. This mechanistic finesse ensures that the expensive nitro-aniline precursor is utilized with maximum efficiency, minimizing the formation of bis-ether byproducts that often plague similar substitution reactions.
Following the formation of the nitro-intermediate, the process employs a sophisticated one-pot reduction-cyclization sequence. The use of hydrazine hydrate serves as a clean hydrogen donor, reducing the nitro group to an amine which immediately undergoes cyclization with carbon disulfide in the presence of base to form the benzimidazole-2-thiol ring. The final oxidation step is equally critical; by carefully controlling the addition of hydrogen peroxide at low temperatures (5°C to 25°C) and acidic pH, the process selectively oxidizes the sulfide sulfur to the sulfoxide state. This kinetic control is vital to prevent over-oxidation to the sulfone, a common impurity that is difficult to remove. The patent reports that this specific control keeps sulfone impurities below 0.1%, demonstrating a deep understanding of the redox potential required to maintain product integrity.
How to Synthesize Triclabendazole Sulfoxide Efficiently
Implementing this synthesis requires strict adherence to the sequential addition of reagents and temperature controls outlined in the patent data. The process begins with the formation of the ether linkage, followed by the catalytic reduction and ring closure, and concludes with methylation and oxidation. Each stage builds upon the purity of the previous intermediate, making in-process controls essential. For detailed standard operating procedures regarding stoichiometry, mixing rates, and work-up protocols, please refer to the structured guide below which summarizes the critical operational parameters derived from the experimental examples.
- Perform nucleophilic aromatic substitution using 1,2,3-trichlorobenzene and 4,5-dichloro-2-nitroaniline under phase-transfer catalysis to form the nitro-intermediate.
- Execute catalytic hydrogenation using hydrazine hydrate and Raney nickel, followed by in-situ cyclization with carbon disulfide to generate the benzimidazole thiol.
- Conduct methylation with dimethyl sulfate followed by controlled oxidation using hydrogen peroxide to yield the final sulfoxide product with >99% purity.
Commercial Advantages for Procurement and Supply Chain Teams
From a commercial perspective, the adoption of this novel synthetic route offers compelling advantages for procurement managers and supply chain heads looking to optimize their vendor networks. The shift away from 2,3-dichlorophenol to 1,2,3-trichlorobenzene represents a strategic move towards more abundant and cost-stable raw materials, insulating the supply chain from the volatility associated with specialized phenolic compounds. Furthermore, the elimination of iron powder reduction translates directly into reduced waste disposal costs and lower maintenance requirements for production equipment, as the corrosive and abrasive nature of iron sludge is removed from the workflow. These factors combine to create a manufacturing process that is not only chemically superior but also economically more resilient in the long term.
- Cost Reduction in Manufacturing: The replacement of expensive and hazardous starting materials with commodity chemicals like 1,2,3-trichlorobenzene significantly lowers the direct material cost of goods sold. Additionally, the avoidance of iron mud generation removes the need for costly sludge treatment and disposal services, which can be a hidden expense in traditional fine chemical manufacturing. The simplified work-up procedures, characterized by easier filtration and crystallization, also reduce labor hours and solvent consumption, contributing to a leaner overall cost structure without compromising on the quality of the final active ingredient.
- Enhanced Supply Chain Reliability: By utilizing widely available bulk chemicals rather than sensitized specialty intermediates, manufacturers can secure a more reliable supply of raw materials, reducing the risk of production stoppages due to supplier shortages. The robustness of the catalytic hydrogenation step ensures consistent batch-to-batch quality, which is critical for maintaining regulatory compliance in the veterinary pharmaceutical sector. This stability allows supply chain planners to forecast production timelines with greater accuracy, ensuring that downstream formulation partners receive their materials on schedule.
- Scalability and Environmental Compliance: The process is explicitly designed for large-scale industrial production, avoiding high-pressure hazards and utilizing standard reactor configurations suitable for multi-ton campaigns. The significant reduction in hazardous waste generation aligns with increasingly stringent global environmental regulations, future-proofing the manufacturing site against potential regulatory crackdowns. This environmental stewardship enhances the corporate social responsibility profile of the supply chain, making the final product more attractive to ethically conscious multinational buyers.
Frequently Asked Questions (FAQ)
The following questions address common technical and commercial inquiries regarding the production of Triclabendazole Sulfoxide. These answers are derived directly from the technical specifications and comparative data provided in the patent literature, offering clarity on the process capabilities and product quality standards.
Q: Why is the new synthesis route for Triclabendazole Sulfoxide considered environmentally superior?
A: The novel route eliminates the use of iron powder reduction, which traditionally generates massive amounts of difficult-to-filter iron mud sludge. By switching to hydrazine hydrate catalytic transfer hydrogenation, the process significantly reduces solid waste and avoids heavy metal contamination.
Q: How does the new method improve operator safety compared to conventional techniques?
A: Conventional methods often rely on 2,3-dichlorophenol, a raw material known for strong sensitization and high toxicity risks to operators. The patented method utilizes 1,2,3-trichlorobenzene, a safer and more cost-effective starting material that mitigates occupational health hazards.
Q: What is the achieved purity level of Triclabendazole Sulfoxide using this process?
A: The process achieves a final product purity exceeding 99%, with critical over-oxidation impurities (sulfones) controlled to less than 0.1%, ensuring high bioavailability and safety for veterinary applications.
Partnering with NINGBO INNO PHARMCHEM: Your Reliable Triclabendazole Sulfoxide Supplier
At NINGBO INNO PHARMCHEM, we recognize the critical importance of high-purity intermediates in the development of effective veterinary therapeutics. Our team possesses extensive experience scaling diverse pathways from 100 kgs to 100 MT/annual commercial production, ensuring that the transition from laboratory optimization to full-scale manufacturing is seamless and efficient. We maintain stringent purity specifications and operate rigorous QC labs equipped with advanced analytical instrumentation to guarantee that every batch of Triclabendazole Sulfoxide meets the exacting standards required for global regulatory submission.
We invite procurement leaders and technical directors to engage with us for a Customized Cost-Saving Analysis tailored to your specific volume requirements. By leveraging our optimized synthetic routes, we can help you achieve significant efficiencies in your supply chain. Please contact our technical procurement team today to request specific COA data and route feasibility assessments, and let us demonstrate how our manufacturing expertise can support your long-term strategic goals.
