Scalable Synthesis of High-Mobility N-Type Quinoid Dithiophene Semiconductors for Advanced Electronics
Scalable Synthesis of High-Mobility N-Type Quinoid Dithiophene Semiconductors for Advanced Electronics
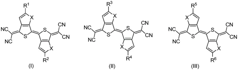
The rapid evolution of organic electronics has created an urgent demand for high-performance N-type semiconductor materials that can complement the well-developed P-type counterparts. Patent CN107814813B introduces a groundbreaking class of N-type quinoid dithiophene field-effect semiconductor materials, characterized by general formulas (I), (II), and (III). These compounds address the historical asymmetry in organic semiconductor development, where N-type materials have lagged behind due to air instability and low electron mobility. By employing a rigid quinoid backbone, these novel materials achieve exceptional planarity and conjugation, facilitating efficient electron transport. The technology represents a significant leap forward for the fabrication of large-scale integrated circuits and flexible display devices, offering a reliable electronic chemical supplier pathway for next-generation optoelectronics.
The structural versatility of these compounds allows for precise tuning of their electronic properties through simple chemical modifications of the substituent groups (R1-R6) and the heteroatom bridge (X). This adaptability is crucial for optimizing solid-state stacking and charge carrier mobility, making them highly valuable for cost reduction in display material manufacturing. The ability to process these materials from solution further simplifies device fabrication, reducing the reliance on expensive vacuum deposition techniques typically associated with inorganic semiconductors.
The Limitations of Conventional Methods vs. The Novel Approach
The Limitations of Conventional Methods
Traditional organic semiconductor materials, particularly early-generation quinoid oligothiophenes, have faced significant hurdles in practical application. A primary limitation is the phenomenon of conformational isomerization, where the molecule exists in different forms in solution versus the solid state, leading to inconsistent device performance. Furthermore, conventional dithiophenes often exhibit insufficient conjugation length and poor planarity, resulting in low electron mobility values, historically reported as low as 4.1 x 10⁻⁵ cm²V⁻¹s⁻¹. This poor performance is compounded by air instability, as many N-type materials possess LUMO energy levels that are too high, making them susceptible to oxidation by ambient oxygen. These factors have severely restricted the commercial viability of N-type organic transistors, creating a bottleneck for the development of complementary metal-oxide-semiconductor (CMOS) like organic circuits.
The Novel Approach
The innovative synthesis route detailed in the patent overcomes these deficiencies by constructing a highly rigid, planar quinoid dithiophene core. As illustrated in the specific synthesis of sQBTT-C6C8, the process utilizes a convergent strategy involving palladium-catalyzed cross-coupling to build the bi-thiophene framework, followed by a terminal functionalization with electron-withdrawing dicyanomethylene groups. This specific structural arrangement locks the molecule into a planar quinoid configuration, maximizing orbital overlap and minimizing conformational disorder. The introduction of bulky alkyl side chains, such as the 2-hexyl-decyl groups seen in sQBTT-C6C8, ensures adequate solubility for solution processing while maintaining tight pi-pi stacking in the solid film. This approach effectively decouples the trade-off between processability and performance, enabling the production of high-purity OLED material precursors and semiconductor layers with superior stability.
Mechanistic Insights into Palladium-Catalyzed Cross-Coupling and Quinoid Formation
The core of this synthetic methodology relies on a sophisticated sequence of organometallic transformations, primarily centered around the Stille coupling reaction. The mechanism initiates with the oxidative addition of a palladium(0) catalyst, such as tetrakis(triphenylphosphine)palladium, into the carbon-halogen bond of the iodinated thiophene intermediate. This is followed by transmetallation with the organotin species generated in situ from the lithiated thiophene precursor. The rigorous control of reaction conditions, including the use of inert atmospheres and anhydrous solvents like THF and toluene, is critical to preventing the decomposition of sensitive organolithium and organotin intermediates. The subsequent reductive elimination step forge the carbon-carbon bond between the two thiophene units, establishing the conjugated backbone essential for charge transport. This step is pivotal for ensuring the structural integrity and regioregularity of the final semiconductor material.
Following the construction of the bithiophene skeleton, the formation of the quinoid structure is achieved through a Knoevenagel condensation followed by oxidation. The reaction of the dialdehyde or equivalent precursor with malononitrile in the presence of a strong base like sodium hydride generates the dicyanomethylene exocyclic double bonds. This transformation is immediately followed by oxidation using 2,3-dichloro-5,6-dicyano-1,4-benzoquinone (DDQ). This oxidation step is the key driver for aromatizing the central ring system into the quinoid form, which significantly lowers the Lowest Unoccupied Molecular Orbital (LUMO) energy level. By pushing the LUMO below -4.0 eV, the material becomes thermodynamically stable against reduction by ambient moisture and oxygen, thereby solving the chronic air instability issue plaguing earlier N-type semiconductors. This mechanistic precision ensures that the commercial scale-up of complex polymer additives and small molecule semiconductors can proceed with high reproducibility.
How to Synthesize sQBTT-C6C8 Efficiently
The preparation of high-performance semiconductors like sQBTT-C6C8 requires a meticulous multi-step protocol that balances yield with purity. The process begins with the selective mono-iodination of the alkyl-substituted thiophene starting material, followed by the conversion of a separate batch into a tributylstannyl derivative. These two fragments are then coupled under reflux conditions to form the bis-thiophene core. Subsequent lithiation and iodination steps prepare the core for the final condensation. The detailed standardized synthesis steps see the guide below, which outlines the precise stoichiometry and temperature controls necessary to achieve the reported electron mobilities exceeding 1.0 cm²V⁻¹s¹.
- Halogenation of thiophene precursors using N-iodosuccinimide (NIS) or N-bromosuccinimide (NBS) in dichloromethane under light-shielded conditions to generate mono-iodo intermediates.
- Stannylation of complementary thiophene fragments using n-butyllithium and tri-n-butyltin chloride at low temperatures (-78°C) to form organotin reagents.
- Palladium-catalyzed Stille coupling of the halo- and stannyl-thiophenes followed by Knoevenagel condensation with malononitrile and DDQ oxidation to yield the final quinoid structure.
Commercial Advantages for Procurement and Supply Chain Teams
For procurement specialists and supply chain managers, the adoption of this quinoid dithiophene technology offers distinct strategic advantages rooted in process efficiency and material performance. The synthetic route utilizes widely available commodity chemicals and standard catalytic systems, mitigating the risks associated with sourcing exotic or proprietary reagents. This accessibility translates directly into enhanced supply chain reliability, as the raw material base is robust and less susceptible to geopolitical or logistical disruptions. Furthermore, the solution-processable nature of the final compounds allows for compatibility with existing printing and coating infrastructure, potentially reducing lead time for high-purity electronic chemical deployment in manufacturing lines.
- Cost Reduction in Manufacturing: The synthetic pathway eliminates the need for ultra-high vacuum deposition equipment often required for inorganic or less soluble organic semiconductors. By enabling solution-based processing techniques such as spin-coating or inkjet printing, manufacturers can drastically simplify device fabrication workflows. The use of standard palladium catalysts and common solvents avoids the premium costs associated with specialized transition metal complexes, leading to substantial cost savings in electronic chemical manufacturing without compromising on the high electron mobility required for advanced applications.
- Enhanced Supply Chain Reliability: The modular design of the synthesis allows for the independent preparation of key intermediates, such as the iodinated and stannylated thiophenes. This modularity provides flexibility in production scheduling and inventory management, ensuring that bottlenecks in one stage do not halt the entire supply line. Additionally, the stability of the intermediates under inert conditions allows for batch production and storage, facilitating a continuous supply of high-purity semiconductor precursors to meet fluctuating market demands for flexible electronics and display components.
- Scalability and Environmental Compliance: The reaction conditions described, primarily involving reflux in organic solvents followed by standard aqueous workups, are readily adaptable to kilogram and tonne scales. The process avoids the generation of highly toxic byproducts often associated with more exotic coupling chemistries, simplifying waste treatment protocols. The ability to purify the final products via standard silica gel chromatography and recrystallization ensures that environmental compliance is maintained while achieving the stringent purity specifications necessary for high-performance field-effect transistors.
Frequently Asked Questions (FAQ)
The following questions address common technical and commercial inquiries regarding the implementation of these quinoid dithiophene semiconductors. The answers are derived directly from the experimental data and structural analysis provided in the patent documentation, ensuring accuracy for R&D and procurement decision-making. Understanding these nuances is essential for evaluating the fit of these materials within your specific organic electronic architecture.
Q: What distinguishes these N-type quinoid dithiophenes from conventional organic semiconductors?
A: Unlike traditional oligothiophenes which often suffer from conformational isomerization and lower electron mobility, these quinoid dithiophene derivatives possess a rigid, planar molecular structure. This rigidity enhances pi-conjugation and solid-state stacking, resulting in significantly improved electron mobility (exceeding 1.0 cm²V⁻¹s⁻¹ for certain derivatives) and better air stability due to LUMO energy levels below -4.0 eV.
Q: How does the synthetic route ensure scalability for industrial production?
A: The synthesis relies on robust, well-established reactions such as Stille coupling and Knoevenagel condensation. The use of commercially available reagents like tetrakis(triphenylphosphine)palladium and standard solvents (THF, Toluene, DMF) allows for straightforward scale-up. Furthermore, the modular nature of the synthesis allows for easy adjustment of alkyl side chains (R groups) to tune solubility and processing properties without altering the core reaction sequence.
Q: What are the primary applications for these semiconductor materials?
A: These materials are specifically designed for use as the active layer in N-channel Organic Field Effect Transistors (OFETs). Their high electron mobility and solution processability make them ideal candidates for large-scale integrated circuits, flexible display backplanes, and electronic paper technologies where mechanical flexibility and low-cost manufacturing are critical requirements.
Partnering with NINGBO INNO PHARMCHEM: Your Reliable Quinoid Dithiophene Supplier
As the global demand for flexible and printable electronics surges, securing a stable source of high-performance N-type semiconductors is paramount. NINGBO INNO PHARMCHEM stands ready to support your development goals with our extensive experience scaling diverse pathways from 100 kgs to 100 MT/annual commercial production. Our state-of-the-art facilities are equipped with rigorous QC labs capable of verifying the stringent purity specifications required for organic field-effect transistors, ensuring that every batch of sQBTT or iQBTT derivatives meets the highest industry standards for mobility and stability.
We invite you to collaborate with our technical team to explore how these advanced materials can optimize your device performance. Please contact our technical procurement team to request a Customized Cost-Saving Analysis tailored to your volume requirements. We are prepared to provide specific COA data and route feasibility assessments to accelerate your transition from laboratory research to commercial manufacturing.
