Advanced Star-Shaped Hole Transport Materials for High-Efficiency Perovskite Photovoltaics
Advanced Star-Shaped Hole Transport Materials for High-Efficiency Perovskite Photovoltaics
The rapid evolution of perovskite solar cell (PSC) technology demands hole transport layers (HTL) that balance high charge carrier mobility with robust environmental stability and manufacturability. Patent CN115028602A introduces a groundbreaking class of star-shaped molecules designed specifically to address these critical bottlenecks in next-generation photovoltaics. Unlike traditional linear polymers or small molecules that often suffer from poor film-forming properties or energetic mismatches, this invention utilizes a rigid triphenylamine (TPA) core connected to benzothiadiazole (BDT) acceptor units via carbon-carbon triple bonds. This unique architectural design creates an extended π-conjugated system that facilitates efficient hole injection and transport while maintaining excellent solubility for solution processing. The strategic placement of pyramidal triphenylamine terminals further optimizes the molecular packing, ensuring the formation of high-quality, pinhole-free thin films essential for maximizing power conversion efficiency in p-i-n structured devices.

For procurement specialists and R&D directors seeking a reliable electronic chemical supplier, understanding the structural nuances of this material is paramount. The molecule, represented generally as Formula I, features a central triphenylamine nucleus that acts as an electron donor, radiating outwards to three benzothiadiazole-based arms. These arms are not merely passive connectors; they are functionalized with specific substituent groups (R1) at the 6-position of the benzothiadiazole ring. These substituents can be varied from simple alkyl chains (C3-C16) to more complex heteroatom-containing groups like alkoxy, alkylthio, or alkylselenyl moieties. This modularity allows fine-tuning of the Highest Occupied Molecular Orbital (HOMO) energy levels to perfectly match the valence band of the perovskite absorber layer, thereby minimizing voltage losses at the interface. Furthermore, the presence of these bulky side chains disrupts excessive crystallization, promoting an amorphous morphology in the solid state which is crucial for preventing grain boundary recombination and enhancing the overall durability of the solar module.
The Limitations of Conventional Methods vs. The Novel Approach
The Limitations of Conventional Methods
The current landscape of hole transport materials for perovskite solar cells is dominated by three primary candidates, each carrying significant drawbacks that hinder commercial scalability. Firstly, PEDOT:PSS, a widely used conductive polymer, presents severe stability issues due to its inherent acidity and hygroscopic nature. When deposited on transparent conductive oxides like ITO or FTO, the acidic protons in PEDOT:PSS can corrode the electrode surface over time, while its tendency to absorb atmospheric moisture accelerates the degradation of the adjacent perovskite layer. Secondly, PTAA (poly[bis(4-phenyl)(2,4,6-trimethylphenyl)amine]) offers better stability but suffers from exorbitant production costs and difficult purification processes inherent to conjugated polymers, making it economically unviable for terawatt-scale deployment. Thirdly, inorganic options like Nickel Oxide (NiOx) typically require magnetron sputtering, a vacuum-based technique that demands high-capital equipment, slow deposition rates, and high-temperature annealing, all of which are incompatible with flexible substrates and low-cost roll-to-roll manufacturing workflows.
The Novel Approach
The star-shaped molecule described in patent CN115028602A offers a transformative alternative by combining the best attributes of small molecules and polymers while eliminating their respective weaknesses. By constructing a discrete, well-defined molecular architecture rather than a polydisperse polymer chain, the synthesis yields a product with a precise molecular weight and a narrow impurity profile, simplifying quality control and batch-to-batch consistency. The incorporation of the benzothiadiazole unit, known for its strong electron-withdrawing capability, creates a push-pull electronic structure that significantly enhances intramolecular charge transfer. Crucially, the solubility of this material in common organic solvents such as chlorobenzene, toluene, and tetrahydrofuran enables the use of low-energy solution processing techniques like spin coating, blade coating, or inkjet printing. This shift from vacuum deposition to solution processing represents a paradigm shift in cost reduction in electronic chemical manufacturing, as it drastically lowers the barrier to entry for mass production facilities.
Mechanistic Insights into Donor-Acceptor Conjugated Systems
The exceptional performance of this star-shaped molecule stems from a sophisticated interplay of electronic and steric factors engineered at the molecular level. The central triphenylamine core serves as a robust hub, providing a three-dimensional geometry that prevents tight π-π stacking which could otherwise lead to undesirable aggregation. Connected to this core via rigid ethynyl linkers are the benzothiadiazole acceptor units. The carbon-carbon triple bond is not just a structural spacer; it acts as an efficient conduit for electron delocalization, extending the conjugation length across the entire molecule. This extended conjugation lowers the bandgap and increases the hole mobility, allowing charges to traverse the transport layer with minimal resistance. Additionally, the terminal triphenylamine groups possess a pyramidal conformation. This specific 3D shape is instrumental in facilitating hole injection from the electrode into the active layer by reducing the energy barrier at the interface, effectively acting as an energetic bridge that aligns the work function of the electrode with the HOMO level of the transport material.

Furthermore, the substitution pattern on the benzothiadiazole ring plays a critical role in optimizing the solid-state morphology. When larger atoms such as sulfur or selenium are introduced via alkylthio or alkylselenyl groups, their lone pair electrons participate in the π-conjugated system, further enhancing charge transport properties through orbital overlap. Simultaneously, the steric bulk of these groups forces the molecules into a more disordered, amorphous arrangement in the thin film. This amorphous character is highly desirable for solution-processed films as it eliminates grain boundaries that often act as recombination centers for charge carriers. The result is a homogeneous, high-quality film that can be deposited at relatively low thicknesses (10-100 nm), ensuring high optical transparency and minimal parasitic absorption of sunlight before it reaches the perovskite active layer. This delicate balance between crystallinity for transport and amorphousness for film quality is the key mechanistic advantage driving the superior device efficiencies reported in the patent data.
How to Synthesize Star-Shaped Hole Transport Molecules Efficiently
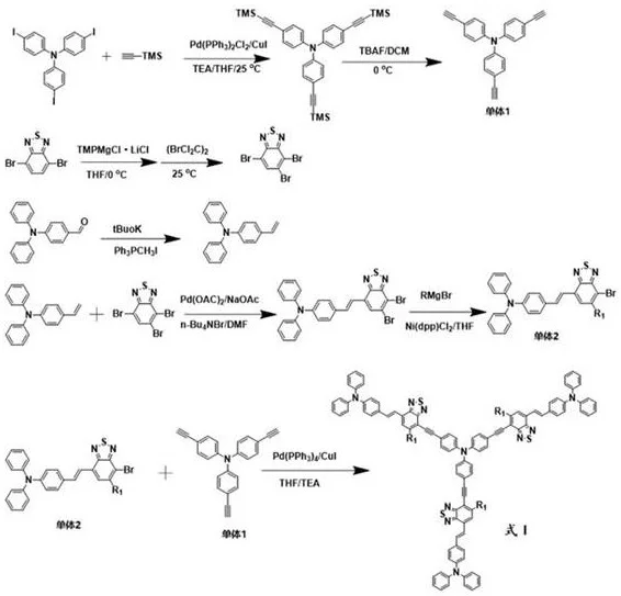
The synthesis of these advanced materials relies on a convergent strategy that allows for the modular assembly of the core and arm components. The process begins with the preparation of two key building blocks: a trifunctional alkyne core (Monomer 1) and a functionalized benzothiadiazole arm (Monomer 2 or 3). The core is synthesized via a palladium-catalyzed Sonogashira coupling followed by deprotection, while the arms are constructed through a sequence involving directed lithiation, Wittig olefination, and nickel-catalyzed cross-coupling. This modular approach ensures that different substituents can be easily swapped in the final steps to tune material properties without redesigning the entire synthetic route. The final star-shaped assembly is achieved through a second Sonogashira coupling reaction, linking the three arms to the central core under mild conditions. For detailed operational parameters and safety protocols regarding reagent handling, please refer to the standardized synthesis guide below.
- Synthesize Tris(4-ethynylphenyl)amine (Monomer 1) via Pd/Cu-catalyzed coupling of tris(4-iodophenyl)amine with trimethylsilylacetylene followed by deprotection.
- Prepare functionalized Benzothiadiazole monomers (Monomer 2/3) through bromination, Wittig reaction with diphenylaminostyrene, and subsequent Grignard substitution.
- Execute the final star-shaped assembly by reacting Monomer 1 with Monomer 2 or 3 using Pd(PPh3)4 and CuI catalysts in THF/TEA solvent system.
Commercial Advantages for Procurement and Supply Chain Teams
From a supply chain perspective, the transition to this star-shaped hole transport material offers compelling advantages that directly impact the bottom line and operational resilience of photovoltaic manufacturers. The primary driver for cost reduction in display and optoelectronic materials manufacturing is the elimination of capital-intensive vacuum processing equipment. By enabling solution processing, manufacturers can utilize existing coating infrastructure such as slot-die coaters or gravure printers, which operate at significantly higher speeds and lower energy consumption than magnetron sputtering systems. Moreover, the raw materials required for synthesis, including triphenylamine derivatives and benzothiadiazole precursors, are commercially available commodity chemicals. This availability mitigates supply chain risks associated with proprietary or scarce reagents, ensuring a stable and continuous flow of inputs for large-scale production campaigns.
- Cost Reduction in Manufacturing: The synthetic route described in the patent utilizes standard organometallic catalysts like palladium and copper, which are widely accessible and can be recovered or minimized through optimized loading strategies. Unlike conjugated polymers such as PTAA which require complex fractionation to remove low-molecular-weight oligomers, this small-molecule approach yields a discrete product that can be purified using standard chromatography or recrystallization techniques. This simplification of the downstream processing workflow translates to reduced solvent usage, lower waste generation, and shorter production cycles, collectively driving down the cost of goods sold (COGS) without compromising on material purity or performance metrics.
- Enhanced Supply Chain Reliability: The robustness of the chemical structure contributes to enhanced shelf-life and storage stability, reducing the risk of material degradation during logistics and warehousing. The solubility of the material in a wide range of benign solvents allows procurement teams to source cheaper, non-halogenated alternatives where possible, further insulating the supply chain from volatile solvent markets. Additionally, the ability to process the material at room temperature or with mild thermal annealing reduces the energy load on the manufacturing floor, aligning with corporate sustainability goals and reducing utility overheads. This operational flexibility ensures that production can be scaled up rapidly to meet surging demand without the long lead times associated with installing new vacuum deposition lines.
- Scalability and Environmental Compliance: The solution-processable nature of these star-shaped molecules makes them inherently compatible with roll-to-roll (R2R) manufacturing, the gold standard for scaling thin-film photovoltaics. This compatibility facilitates the transition from laboratory-scale spin coating to industrial-scale web coating, enabling the production of square-meter-sized modules with uniform thickness and performance. From an environmental standpoint, the avoidance of acidic additives (unlike PEDOT:PSS) and the potential for using greener solvent systems reduces the hazardous waste burden. The high efficiency of the resulting devices also means that less material is required per watt of power generated, improving the overall energy payback time of the solar modules and supporting compliance with increasingly stringent environmental regulations in global markets.
Frequently Asked Questions (FAQ)
The following questions address common technical and commercial inquiries regarding the implementation of this star-shaped hole transport material in perovskite solar cell production lines. These insights are derived directly from the experimental data and structural analysis provided in patent CN115028602A, offering a clear view of the material's capabilities and limitations. Understanding these details is crucial for integration teams planning to qualify this material for pilot runs or full-scale manufacturing.
Q: How does this star-shaped molecule improve stability compared to PEDOT:PSS?
A: Unlike acidic and hygroscopic PEDOT:PSS which damages ITO electrodes and absorbs moisture, this neutral star-shaped molecule forms stable amorphous films that protect the underlying electrode and enhance long-term device stability.
Q: What are the cost advantages over PTAA and NiOx technologies?
A: This material eliminates the need for expensive conjugated polymer purification required for PTAA and avoids the high-capital magnetron sputtering equipment needed for NiOx, enabling low-cost solution processing.
Q: Is this material suitable for large-scale roll-to-roll manufacturing?
A: Yes, the introduction of alkyl or alkoxy side chains ensures excellent solubility in common organic solvents like chlorobenzene, making it fully compatible with slot-die coating and roll-to-roll printing techniques.
Partnering with NINGBO INNO PHARMCHEM: Your Reliable Star-Shaped Molecule Supplier
As the global demand for high-efficiency perovskite solar cells accelerates, securing a dependable source of advanced hole transport materials is critical for maintaining competitive advantage. NINGBO INNO PHARMCHEM stands at the forefront of this transition, leveraging extensive experience scaling diverse pathways from 100 kgs to 100 MT/annual commercial production. Our state-of-the-art facilities are equipped with rigorous QC labs capable of verifying stringent purity specifications, ensuring that every batch of star-shaped molecule meets the exacting standards required for high-performance optoelectronic applications. We understand that consistency is key in thin-film deposition, and our refined purification protocols guarantee low impurity profiles that prevent device shunting and degradation.
We invite forward-thinking engineering teams to collaborate with us on integrating this next-generation material into your device architectures. By partnering with our technical procurement team, you can request a Customized Cost-Saving Analysis tailored to your specific production volume and solvent preferences. We encourage you to reach out today to obtain specific COA data and route feasibility assessments that demonstrate how our supply chain solutions can accelerate your path to commercialization while optimizing your total cost of ownership.
