Optimizing 1-N-Ethyl Perillomycin Production: A Technical Breakdown for Global Supply Chains
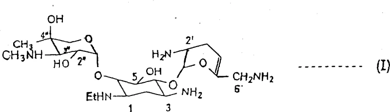
The pharmaceutical industry continuously seeks robust synthetic routes for aminoglycoside antibiotics to combat resistant bacterial strains, and patent CN1129223A presents a pivotal advancement in the preparation of 1-N-ethyl perillomycin. This specific compound, characterized by the structural formula (I), represents a critical intermediate and active pharmaceutical ingredient with enhanced antibacterial properties compared to its parent molecule. The innovation detailed in this patent addresses long-standing challenges in regioselective alkylation, offering a pathway that significantly minimizes the formation of undesirable di-ethylated byproducts. By shifting away from volatile acetaldehyde-based reductive amination towards a more controlled acetic acid and borohydride system, the methodology ensures superior reproducibility and yield. For global procurement teams, understanding this chemical architecture is essential, as it directly correlates to the purity profiles required for stringent regulatory compliance in antibiotic manufacturing.
The Limitations of Conventional Methods vs. The Novel Approach
The Limitations of Conventional Methods
Historically, the synthesis of 1-N-ethyl perillomycin relied heavily on reductive alkylation using acetaldehyde, a technique fraught with significant chemical and operational inefficiencies. Traditional protocols often suffered from extremely low overall yields, frequently ranging between 10% and 25%, primarily due to the lack of selectivity in the ethylation step. The volatility of acetaldehyde makes precise stoichiometric control difficult, often leading to an excess of the alkylating agent which subsequently reacts with the already formed mono-ethylated product. This results in the pervasive formation of 1,1-N-diethyl perillomycin, a stubborn impurity that complicates downstream purification and drastically reduces the recovery of the target API. Furthermore, earlier methods utilizing transition metal chelation often required hazardous reagents like hydrogen sulfide for demetallation, posing severe safety and environmental risks that are increasingly unacceptable in modern green chemistry frameworks. These cumulative factors render conventional processes economically unviable for large-scale commercial production.
The Novel Approach
In stark contrast, the novel approach disclosed in the patent utilizes a sophisticated combination of zinc-mediated chelation and a mild ethylating system comprising acetic acid and sodium borohydride derivatives. This method fundamentally alters the reaction landscape by avoiding the formation of unstable imine intermediates that typically plague acetaldehyde-based routes. Instead, the process employs a stable acetic acid-borohydride complex that facilitates direct and selective ethylation at the 1-amino position with remarkable precision. The use of zinc acetate allows for the temporary and reversible protection of specific amino groups, ensuring that the ethylation occurs exclusively where desired without affecting other sensitive sites on the complex sugar scaffold. This strategic modification not only boosts the overall yield to commercially attractive levels but also simplifies the isolation process, as the absence of di-ethylated byproducts means fewer chromatographic steps are required. Consequently, this approach offers a streamlined, safer, and more cost-effective pathway for manufacturing high-purity pharmaceutical intermediates.
Mechanistic Insights into Zinc-Mediated Selective Ethylation
The core of this synthetic breakthrough lies in the precise orchestration of protection and deprotection strategies governed by coordination chemistry. Initially, perillomycin is treated with zinc acetate in a lower alcohol solvent, such as methanol, to form a stable zinc salt complex. This complexation selectively involves the 1 and 3'' amino groups, effectively masking them and leaving the 3, 2', and 6' amino groups available for acylation. Once these peripheral groups are protected using acylating agents like acetic anhydride or N-benzyloxycarbonyloxy succinimide, the zinc is removed using aqueous ammonia, revealing the 1-amino group while keeping the others shielded. This sets the stage for the critical ethylation step, where the exposed 1-amino group reacts with the acetic acid-borohydride system. The mechanism likely proceeds through an in situ generated iminium ion or a similar activated species that is immediately reduced by the borohydride, preventing over-alkylation.
Controlling impurities in aminoglycoside synthesis is notoriously difficult due to the presence of multiple nucleophilic centers, but this protocol offers inherent selectivity mechanisms. The steric and electronic environment created by the zinc chelation ensures that acylation occurs only at the intended positions, preventing the formation of isomers that are hard to separate. During the ethylation phase, the choice of aprotic solvents like chloroform or tetrahydrofuran, combined with the specific reactivity of sodium triacetoxyborohydride, suppresses side reactions. The absence of free acetaldehyde in the reaction mixture eliminates the driving force for the second ethylation event, which is the primary source of the 1,1-N-diethyl impurity in older methods. This high degree of chemoselectivity translates directly to a cleaner crude product, reducing the burden on purification units and ensuring that the final active pharmaceutical ingredient meets rigorous quality standards with minimal effort.
How to Synthesize 1-N-Ethyl Perillomycin Efficiently
Implementing this synthesis requires careful attention to reaction conditions, particularly regarding the preparation of the ethylating reagent and the management of the chelation steps. The process begins with the formation of the zinc-perillomycin complex, followed by selective acylation to generate the trisubstituted intermediate. Once the protecting groups are in place and the metal is removed, the substrate is ready for the key ethylation transformation using the acetic acid-borohydride system in an anhydrous environment. The reaction is typically conducted at moderate temperatures to balance reaction rate with selectivity, followed by a straightforward workup involving neutralization and extraction. For detailed operational parameters, stoichiometry, and specific purification techniques required to replicate this high-yield process, please refer to the standardized synthesis guide below.
- Chelate perillomycin with zinc acetate in methanol to protect specific amino groups.
- Protect the 3, 2', and 6' amino groups using acylating agents like acetic anhydride or CBZ-NOS.
- Perform selective ethylation at the 1-position using acetic acid and sodium triacetoxyborohydride in an aprotic solvent.
Commercial Advantages for Procurement and Supply Chain Teams
From a supply chain perspective, the adoption of this patented methodology offers substantial strategic benefits that extend beyond simple yield improvements. The elimination of volatile and hazardous reagents like acetaldehyde and hydrogen sulfide significantly enhances workplace safety and reduces the regulatory burden associated with handling toxic substances. This translates into lower operational costs related to safety equipment, waste disposal, and environmental compliance, making the manufacturing process more sustainable and resilient against regulatory changes. Furthermore, the simplified purification profile means that production cycles can be shortened, as less time is spent on complex chromatographic separations to remove di-ethylated impurities. This efficiency gain allows for faster throughput and better utilization of manufacturing assets, directly contributing to improved lead times for customers.
- Cost Reduction in Manufacturing: The process achieves cost optimization primarily through the drastic reduction of raw material waste and the elimination of expensive purification steps. By avoiding the formation of hard-to-remove byproducts, the overall consumption of solvents and stationary phases for chromatography is significantly lowered. Additionally, the use of readily available and inexpensive reagents like zinc acetate and acetic acid replaces more costly or specialized catalysts used in alternative methods. This leaner material profile, combined with higher recovery rates of the target compound, results in a substantially lower cost of goods sold, providing a competitive pricing advantage in the global market for antibiotic intermediates.
- Enhanced Supply Chain Reliability: The robustness of this synthetic route ensures a more stable and predictable supply of 1-N-ethyl perillomycin. Conventional methods often suffer from batch-to-batch variability due to the sensitivity of acetaldehyde reactions, leading to inconsistent yields and potential supply disruptions. In contrast, the zinc-chelation method is highly reproducible and less sensitive to minor fluctuations in reaction conditions. This reliability allows suppliers to maintain consistent inventory levels and meet delivery schedules with greater confidence, reducing the risk of stockouts for downstream pharmaceutical manufacturers who depend on a steady flow of high-quality intermediates for their own production lines.
- Scalability and Environmental Compliance: Scaling this process from laboratory to industrial production is facilitated by the use of standard unit operations and common solvents that are easily managed in large reactors. The avoidance of toxic gases like hydrogen sulfide removes a major bottleneck in scale-up, as specialized scrubbing systems are not required. Moreover, the reduced generation of chemical waste aligns with modern environmental, social, and governance (ESG) goals, making the supply chain more attractive to partners who prioritize sustainability. This ease of scale-up ensures that supply can be rapidly expanded to meet surging demand without compromising on quality or safety standards.
Frequently Asked Questions (FAQ)
The following questions address common technical and commercial inquiries regarding the production and application of 1-N-ethyl perillomycin. These insights are derived directly from the patent specifications and practical experience in aminoglycoside synthesis, aiming to clarify the advantages of this specific route over traditional methods. Understanding these details helps stakeholders make informed decisions about sourcing and process integration.
Q: Why is the acetic acid-borohydride system preferred over acetaldehyde for ethylation?
A: The acetic acid-borohydride system avoids the formation of unstable imine intermediates and significantly reduces the generation of 1,1-N-diethyl byproducts, leading to higher purity and easier purification compared to traditional acetaldehyde methods.
Q: What is the role of zinc acetate in this synthesis?
A: Zinc acetate acts as a chelating agent that selectively complexes with the 1 and 3'' amino groups, allowing for the specific protection of the 3, 2', and 6' positions without affecting the target 1-position intended for subsequent ethylation.
Q: How does this process impact commercial scalability?
A: By eliminating volatile acetaldehyde and toxic hydrogen sulfide steps, the process offers safer handling, simplified workup procedures, and consistent high yields, which are critical factors for robust commercial scale-up and supply chain reliability.
Partnering with NINGBO INNO PHARMCHEM: Your Reliable 1-N-Ethyl Perillomycin Supplier
At NINGBO INNO PHARMCHEM, we leverage advanced synthetic methodologies like the one described in CN1129223A to deliver superior quality pharmaceutical intermediates to the global market. Our technical team possesses extensive experience scaling diverse pathways from 100 kgs to 100 MT/annual commercial production, ensuring that we can meet the volume requirements of major pharmaceutical companies without compromising on quality. We operate stringent purity specifications and maintain rigorous QC labs to guarantee that every batch of 1-N-ethyl perillomycin meets the highest international standards. Our commitment to process innovation allows us to offer products with superior impurity profiles, supporting our partners in their regulatory filings and drug development programs.
We invite you to collaborate with us to optimize your supply chain for aminoglycoside antibiotics. Contact our technical procurement team today to request a Customized Cost-Saving Analysis tailored to your specific volume needs. We are ready to provide specific COA data and route feasibility assessments to demonstrate how our manufacturing capabilities can enhance your production efficiency and reduce your overall procurement costs.
