Advanced Synthesis of Six-Membered Ring Nucleoside Analogs for Antiviral Drug Development
Introduction to Novel Antiviral Intermediate Technologies
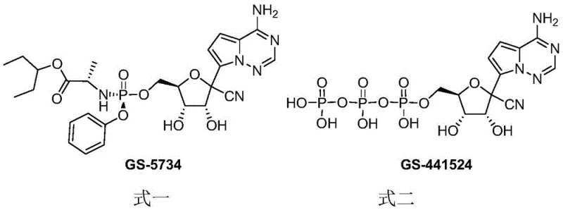
The global pharmaceutical landscape is continuously evolving to address emerging viral threats, driving an urgent demand for next-generation antiviral therapeutics. Patent CN111454270A, published in July 2020, introduces a groundbreaking class of nucleoside compounds containing a six-membered ring structure, specifically designed to overcome the limitations of existing antiviral agents. This technology represents a significant leap forward in medicinal chemistry, targeting the synthesis of analogs related to potent antiviral candidates like GS-5734 and GS-441524. Unlike traditional nucleosides that predominantly feature five-membered furanose rings, these novel compounds utilize a pyranose-like six-membered scaffold.
This structural modification is not merely academic; it addresses critical physicochemical properties such as solubility and metabolic stability. For R&D directors and procurement specialists in the antiviral sector, understanding this patent is crucial as it outlines a viable pathway for producing high-purity intermediates that could serve as the backbone for future pandemic response medications. The disclosed methodology emphasizes operational simplicity and the use of common reagents, signaling a robust potential for industrial scalability.
The Limitations of Conventional Methods vs. The Novel Approach
The Limitations of Conventional Methods
Historically, the development of nucleoside antiviral drugs has been heavily reliant on five-membered sugar rings, a structural motif found in natural RNA and DNA. However, this conventional architecture presents significant challenges in drug development and manufacturing. A primary drawback identified in recent literature and clinical observations is the poor solubility profile of many five-membered nucleoside analogs. These compounds often exhibit limited solubility in neutral water and most standard organic solvents, frequently requiring harsh polar aprotic solvents like dimethyl sulfoxide (DMSO) or N,N-dimethylformamide (DMF) for dissolution. This solubility bottleneck creates substantial hurdles during the purification of clinical chemical drugs and complicates the formulation of injection dosage forms, which are critical for acute viral treatments. Furthermore, the synthesis of complex five-membered ring nucleosides often involves intricate protecting group strategies and sensitive reaction conditions that can hinder yield and increase production costs.
The Novel Approach
The technology disclosed in CN111454270A offers a transformative solution by shifting the structural paradigm to a six-membered ring system. This novel approach leverages the unique conformational properties of the six-membered ring, which can adopt a stable chair conformation potentially exhibiting different and superior pharmacological activities in vivo compared to their five-membered counterparts.
The patent details a streamlined synthetic route that converts readily available D-ribose into these advanced six-membered scaffolds. By utilizing a sequence of benzylation, oxidation, and coupling reactions, the method achieves the construction of the core structure with high efficiency. Crucially, the resulting nucleoside compounds demonstrate markedly improved solubility characteristics, resolving the formulation issues plaguing earlier generations of antivirals. For a reliable nucleoside analog intermediates supplier, adopting this six-membered ring strategy provides a competitive edge by offering clients molecules that are easier to process, purify, and formulate into final drug products, thereby accelerating the overall drug development timeline.
Mechanistic Insights into the Multi-Step Synthesis
The synthetic pathway described in the patent is a sophisticated yet practical orchestration of organic transformations, beginning with the modification of D-ribose. The process initiates with the per-benzylation of D-ribose using benzyl bromide and a strong base like sodium hydride, generating a fully protected sugar intermediate. This is followed by a critical oxidation step where reagents such as pyridinium chlorochromate (PCC) or Dess-Martin periodinane (DMP) are employed to convert specific hydroxyl groups into carbonyl functionalities, setting the stage for ring expansion or modification. The subsequent coupling of this sugar derivative with the heterocyclic base, 7-iodopyrrolo[2,1-f][1,2,4]triazin-4-amine, is achieved through a metal-mediated reaction involving Grignard reagents and Lewis acids. This step is pivotal for establishing the glycosidic bond between the sugar and the nucleobase.
The final stages involve the introduction of a nitrile group via cyanation using trimethylsilyl cyanide and a Lewis acid catalyst, followed by a global debenzylation to reveal the free hydroxyl groups. This mechanistic sequence ensures high stereocontrol and purity, which are paramount for pharmaceutical applications. The use of common Lewis acids and cyanating agents allows for precise control over the reaction kinetics, minimizing the formation of unwanted byproducts and simplifying the downstream purification process. This level of mechanistic clarity provides confidence to technical teams regarding the reproducibility and robustness of the synthesis.
How to Synthesize Six-Membered Ring Nucleoside Compound 7 Efficiently
The preparation of Compound 7 involves a logical progression of four main stages, transforming simple starting materials into a complex bioactive scaffold. The process is designed to be operationally simple, avoiding the need for exotic catalysts or extreme conditions that often complicate scale-up. The initial steps focus on preparing the sugar moiety, followed by the coupling with the nitrogenous base, and finally, the installation of the nitrile group and removal of protecting groups. This structured approach allows for the isolation and characterization of key intermediates, ensuring quality control at every stage of the manufacturing process. For laboratories aiming to replicate this synthesis, the patent provides detailed parameters regarding reaction times, temperatures, and stoichiometry, facilitating a smooth transfer from benchtop to pilot plant. The detailed standardized synthesis steps are outlined in the guide below.
- Benzylation and Oxidation: Convert D-ribose to per-benzylated intermediate, then oxidize to form the lactone or hemiacetal precursor.
- Heterocycle Coupling: React the sugar intermediate with 7-iodopyrrolo[2,1-f][1,2,4]triazin-4-amine using Grignard reagents and Lewis acids.
- Cyanation and Deprotection: Introduce the nitrile group using trimethylsilyl cyanide and remove benzyl protecting groups to yield the final nucleoside.
Commercial Advantages for Procurement and Supply Chain Teams
From a commercial perspective, the synthetic route disclosed in CN111454270A offers compelling advantages for procurement managers and supply chain heads focused on cost reduction in antiviral pharmaceutical manufacturing. The reliance on D-ribose as the starting material is a strategic benefit, as it is a commodity chemical available in bulk quantities from multiple global suppliers, ensuring supply chain continuity and price stability. Furthermore, the reagents utilized throughout the synthesis, such as benzyl bromide, sodium hydride, and common oxidants, are standard inventory items in most fine chemical facilities, eliminating the need for specialized sourcing or long lead times for rare catalysts. This accessibility translates directly into reduced raw material costs and lower logistical overheads. The robustness of the reaction conditions, which tolerate standard laboratory temperatures and pressures, further enhances the economic viability of the process by reducing energy consumption and equipment wear.
- Cost Reduction in Manufacturing: The elimination of complex, multi-step protecting group manipulations often required for five-membered rings significantly streamlines the production workflow. By utilizing a direct oxidation and coupling strategy, the process reduces the total number of unit operations, which in turn lowers labor costs and solvent usage. The high yields reported for key steps, such as the oxidation and cyanation reactions, minimize material waste and maximize the output per batch. Additionally, the avoidance of expensive transition metal catalysts for the glycosylation step removes the necessity for costly metal scavenging processes, further driving down the cost of goods sold (COGS) for the final intermediate.
- Enhanced Supply Chain Reliability: The use of chemically stable intermediates and common reagents mitigates the risk of supply disruptions. Unlike routes dependent on unstable or highly regulated precursors, this methodology relies on a supply chain that is well-established and resilient. The ability to synthesize the target compound in 10-100g batches in a laboratory setting serves as a strong proof of concept for scalability, suggesting that the process can be reliably expanded to meet commercial demand without encountering unforeseen chemical bottlenecks. This reliability is crucial for maintaining consistent inventory levels for downstream API manufacturers.
- Scalability and Environmental Compliance: The synthetic route is inherently scalable due to its reliance on homogeneous reaction conditions and standard workup procedures like extraction and crystallization. The process avoids the generation of hazardous heavy metal waste associated with certain catalytic couplings, aligning with modern green chemistry principles and simplifying environmental compliance. The straightforward purification methods, primarily involving column chromatography and washing, are easily adaptable to industrial-scale separation techniques, ensuring that the commercial scale-up of complex pharmaceutical intermediates can be achieved with minimal environmental impact.
Frequently Asked Questions (FAQ)
The following questions address common technical and commercial inquiries regarding the synthesis and application of these six-membered ring nucleoside compounds. These insights are derived directly from the technical specifications and experimental data provided in the patent documentation, offering clarity on the feasibility and advantages of this technology. Understanding these details is essential for stakeholders evaluating the potential integration of this route into their existing manufacturing portfolios. The answers reflect the practical realities of scaling this chemistry for industrial production.
Q: What is the primary advantage of the six-membered ring structure over traditional five-membered nucleosides?
A: The six-membered ring structure offers significantly improved solubility in neutral water and common organic solvents compared to traditional five-membered furanose nucleosides, which often require DMSO or DMF for dissolution. This facilitates easier purification and formulation for injection dosage forms.
Q: Is the synthetic route described in CN111454270A suitable for large-scale manufacturing?
A: Yes, the patent explicitly states that the route uses common reagents and simple operations suitable for large-scale preparation. It has been demonstrated to conveniently realize 10-100g grade preparation in a laboratory setting, indicating strong potential for kilogram to ton-scale production.
Q: What are the key starting materials for this synthesis?
A: The synthesis begins with D-ribose, a commercially available and cost-effective sugar. Other key reagents include benzyl bromide, common oxidants like PCC or DMP, and the heterocyclic base 7-iodopyrrolo[2,1-f][1,2,4]triazin-4-amine.
Partnering with NINGBO INNO PHARMCHEM: Your Reliable Nucleoside Compound 7 Supplier
As the demand for advanced antiviral therapeutics continues to rise, partnering with an experienced chemical manufacturer is essential for bringing these innovative molecules to market. NINGBO INNO PHARMCHEM stands at the forefront of fine chemical synthesis, possessing extensive experience scaling diverse pathways from 100 kgs to 100 MT/annual commercial production. Our state-of-the-art facilities are equipped to handle the specific requirements of nucleoside chemistry, including stringent purity specifications and rigorous QC labs that ensure every batch meets the highest international standards. We understand the critical nature of antiviral supply chains and are committed to delivering high-purity six-membered ring nucleosides with the consistency and reliability required for clinical and commercial success.
We invite pharmaceutical companies and research institutions to collaborate with us to leverage this cutting-edge technology. Our technical team is ready to provide a Customized Cost-Saving Analysis tailored to your specific production volumes and quality requirements. We encourage you to contact our technical procurement team today to request specific COA data and route feasibility assessments, ensuring that your project moves forward with the strongest possible foundation for success.
