Advanced Synthesis of Cyclohexene Carboxylate Derivatives for Neuraminidase Inhibitors
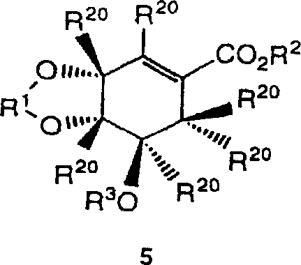
The pharmaceutical industry continuously seeks robust synthetic pathways for antiviral agents, particularly neuraminidase inhibitors which are critical for treating influenza. Patent CN1230946A discloses a sophisticated methodology for the preparation of cyclohexene carboxylate derivatives, serving as pivotal intermediates in this therapeutic class. The invention provides novel synthetic methods and compositions, specifically targeting intermediates represented by structural formulae (I) to (IV). These compounds are essential building blocks that enable the efficient construction of complex antiviral molecules. By leveraging specific protecting group strategies and controlled dehydration techniques, this technology addresses key challenges in stereochemical control and yield optimization. The ability to synthesize these highly functionalized cyclohexene rings with precision is a significant advancement for process chemistry teams aiming to secure reliable supply chains for next-generation antiviral drugs.

For R&D directors evaluating process feasibility, the structural integrity and purity of these intermediates are paramount. The patent outlines a versatile framework where R1 represents a ring-type hydroxyl protecting group, R2 is a carboxylic acid protecting group, and R3 is a hydroxyl protecting group. This modularity allows chemists to tailor the synthesis based on downstream requirements. The core innovation lies in the manipulation of the cyclohexene ring system, where specific substituents (R20) can be hydrogen or alkyl groups ranging from 1 to 12 carbon atoms. This flexibility ensures that the synthetic route can be adapted for various analogues without compromising the core reaction efficiency. Understanding these structural nuances is crucial for designing a scalable process that meets stringent regulatory standards for impurity profiles.
The Limitations of Conventional Methods vs. The Novel Approach
The Limitations of Conventional Methods
Traditional synthetic routes for generating similar cyclohexene carboxylate scaffolds often suffer from harsh reaction conditions that can lead to unwanted racemization or decomposition of sensitive functional groups. Conventional dehydration methods might utilize strong mineral acids or high temperatures, which pose significant risks to the stereochemical integrity of chiral centers adjacent to the double bond. Furthermore, older methodologies frequently rely on chromatographic purification to separate isomers, a technique that is notoriously difficult to translate from the laboratory to industrial manufacturing due to cost and throughput limitations. The reliance on unstable intermediates or toxic reagents in legacy processes also creates substantial environmental and safety burdens, complicating waste management and increasing the overall cost of goods. These factors collectively hinder the ability to produce high-purity intermediates consistently at a commercial scale.
The Novel Approach
The methodology described in CN1230946A introduces a refined approach that mitigates these risks through the use of mild dehydrating agents and specific Lewis acid catalysts. Instead of brute-force dehydration, the process employs reagents like sulfuryl chloride in the presence of bases such as pyridine at controlled low temperatures, typically between -100°C and 0°C. This precision allows for the selective formation of the desired alkene geometry while preserving sensitive protecting groups. Additionally, the integration of Lewis acid-mediated transformations enables the efficient construction of complex ring systems without the need for excessive reaction steps. By prioritizing crystallization-based purification over chromatography, this novel approach drastically simplifies the isolation of the final product. This shift not only enhances the purity of the intermediate but also aligns perfectly with the principles of green chemistry and cost-effective manufacturing.
Mechanistic Insights into Lewis Acid-Catalyzed Transformations
A deeper mechanistic understanding reveals the elegance of the Lewis acid-catalyzed steps utilized in this synthesis. The transformation of compound 10 to compound 11, as illustrated in the patent, involves the activation of a ketal or acetal moiety using a Lewis acid reagent. Common catalysts include boron trifluoride etherate, trimethylsilyl triflate, or various metal halides like zinc chloride and titanium tetrachloride. The Lewis acid coordinates with the oxygen atoms of the protecting group, increasing the electrophilicity of the adjacent carbon center. This activation facilitates nucleophilic attack or rearrangement, leading to the formation of the desired cyclic structure with high fidelity. The choice of solvent is also critical; aprotic solvents such as dichloromethane are preferred to maintain the stability of the reactive intermediates. This mechanistic pathway ensures that the reaction proceeds with minimal side products, thereby reducing the burden on downstream purification processes.

Impurity control is another critical aspect addressed by this mechanistic design. The patent highlights the potential formation of halogenated by-products or double bond isomers during the dehydration phase. To counter this, the process incorporates a purification step using precious metal mixtures, such as palladium or platinum catalysts, to selectively remove halogenated impurities. This scavenging step is vital for ensuring that the final intermediate meets the strict purity specifications required for pharmaceutical applications. Furthermore, the use of specific protecting groups like cyclic acetals helps to lock the conformation of the molecule, preventing unwanted epimerization during subsequent reaction steps. By controlling the electronic and steric environment around the reactive centers, the synthesis achieves a level of selectivity that is difficult to replicate with conventional methods. This rigorous control over the reaction landscape is what makes this technology particularly attractive for the production of high-value antiviral intermediates.
How to Synthesize Cyclohexene Carboxylate Derivatives Efficiently
The synthesis of these valuable intermediates begins with the preparation of a protected quinic acid derivative, which serves as the chiral pool starting material. The process involves a series of protection, dehydration, and functionalization steps that are carefully orchestrated to maintain stereochemical integrity. Detailed operational parameters, including specific temperature ranges and reagent stoichiometry, are provided in the patent examples to guide process development. For instance, the dehydration step is typically conducted at temperatures as low as -78°C to ensure selectivity. Following the formation of the alkene, subsequent transformations may involve reduction with borane complexes or oxidation to introduce ketone functionalities. The entire sequence is designed to be telescoped where possible, minimizing the number of isolation steps and maximizing overall yield. For a comprehensive guide on the standardized synthetic steps and specific workup procedures, please refer to the detailed protocol below.
- Prepare the precursor compound containing cyclic hydroxyl protecting groups and react with a dehydrating agent such as sulfuryl chloride in the presence of a base like pyridine at low temperatures.
- Subject the resulting alkene intermediate to Lewis acid catalysis using reagents like trimethylsilyl triflate or boron trifluoride etherate to facilitate ketal formation or rearrangement.
- Purify the final cyclohexene carboxylate derivative through crystallization or standard extraction techniques to ensure high purity suitable for downstream antiviral drug synthesis.
Commercial Advantages for Procurement and Supply Chain Teams
From a procurement and supply chain perspective, the adoption of this synthetic route offers tangible benefits that extend beyond mere chemical efficiency. The primary advantage lies in the significant reduction of manufacturing complexity, which directly translates to lower production costs and improved supply reliability. By eliminating the need for extensive chromatographic purification, the process becomes much more amenable to large-scale batch processing. This scalability is crucial for meeting the fluctuating demands of the global pharmaceutical market, especially during pandemic scenarios where the need for antiviral medications spikes unexpectedly. Moreover, the use of commercially available reagents and standard equipment reduces the barrier to entry for contract manufacturing organizations, fostering a more competitive and resilient supply base. These factors combined create a robust framework for securing a steady supply of high-quality intermediates.
- Cost Reduction in Manufacturing: The elimination of chromatography and the use of crystallization for purification represent a major cost-saving opportunity. Chromatography is expensive due to the high cost of silica gel and solvents, as well as the low throughput associated with column loading and elution. By shifting to crystallization, the process leverages the physical properties of the compounds to achieve purity, which is far more economical at scale. Additionally, the mild reaction conditions reduce energy consumption and minimize the degradation of expensive chiral starting materials. The ability to recycle solvents and reagents further contributes to the overall economic viability of the process. These efficiencies allow for a substantial reduction in the cost of goods sold, making the final drug product more accessible.
- Enhanced Supply Chain Reliability: The robustness of this synthetic route ensures consistent quality and timely delivery. The reliance on stable intermediates and well-defined reaction parameters minimizes the risk of batch failures, which can cause significant delays in the supply chain. The modular nature of the synthesis allows for flexibility in sourcing raw materials, as various protecting groups and substituents can be interchanged without altering the core process flow. This adaptability is essential for mitigating risks associated with raw material shortages or geopolitical disruptions. Furthermore, the high yield and purity of the intermediates reduce the need for reprocessing, streamlining the logistics of moving materials between manufacturing sites. This reliability is a key differentiator for suppliers aiming to establish long-term partnerships with major pharmaceutical companies.
- Scalability and Environmental Compliance: Scaling this process from the laboratory to commercial production is straightforward due to the use of standard unit operations. The reaction conditions are compatible with existing stainless steel reactors, and the workup procedures involve simple phase separations and filtrations. From an environmental standpoint, the process generates less hazardous waste compared to traditional methods that rely on heavy metal oxidants or toxic solvents. The reduced solvent usage and the potential for solvent recovery align with modern sustainability goals and regulatory requirements. This environmental compliance not only reduces disposal costs but also enhances the corporate social responsibility profile of the manufacturing entity. Consequently, this technology supports the sustainable growth of the pharmaceutical supply chain.
Frequently Asked Questions (FAQ)
The following questions address common technical and commercial inquiries regarding the implementation of this synthesis technology. These answers are derived directly from the technical specifications and experimental data provided in the patent documentation. They serve to clarify the operational boundaries and potential advantages of the described methods. Understanding these details is essential for project managers and technical leads who are evaluating the feasibility of adopting this route for their specific production needs. The insights provided here reflect the current state of the art in cyclohexene carboxylate synthesis and offer a realistic view of the process capabilities.
Q: What are the critical reaction conditions for the dehydration step in this synthesis?
A: The dehydration step typically requires low temperature control, often between -100°C and 0°C, using sulfuryl chloride and pyridine in dichloromethane to prevent side reactions and ensure high stereoselectivity.
Q: How does this method improve upon conventional routes for neuraminidase inhibitors?
A: This method utilizes robust protecting group strategies and mild Lewis acid conditions that minimize racemization and simplify purification, offering a more reliable pathway compared to harsher traditional oxidation methods.
Q: Is this process suitable for large-scale commercial production?
A: Yes, the process relies on crystallization-based purification rather than complex chromatography, which significantly enhances scalability and reduces production costs for commercial manufacturing.
Partnering with NINGBO INNO PHARMCHEM: Your Reliable Cyclohexene Carboxylate Derivative Supplier
At NINGBO INNO PHARMCHEM, we recognize the critical role that high-quality intermediates play in the development of life-saving antiviral therapies. Our team possesses extensive experience scaling diverse pathways from 100 kgs to 100 MT/annual commercial production, ensuring that your project needs are met with precision and efficiency. We are committed to delivering products that meet stringent purity specifications through our rigorous QC labs and advanced analytical capabilities. Our facility is equipped to handle complex organic syntheses, including the moisture-sensitive and low-temperature reactions required for this specific chemistry. By partnering with us, you gain access to a supply chain that is both resilient and responsive to the dynamic needs of the pharmaceutical industry.
We invite you to contact our technical procurement team to discuss how we can support your specific requirements. We are prepared to provide a Customized Cost-Saving Analysis tailored to your volume needs and timeline. Whether you require specific COA data to validate our quality standards or route feasibility assessments to optimize your supply strategy, our experts are ready to assist. Let us collaborate to bring your antiviral projects to fruition with a reliable and cost-effective supply of cyclohexene carboxylate derivatives.
