Strategic Manufacturing of 4,5-Diamino Shikimic Acid Derivatives for Neuraminidase Inhibitors
Strategic Manufacturing of 4,5-Diamino Shikimic Acid Derivatives for Neuraminidase Inhibitors
The pharmaceutical industry's relentless pursuit of potent antiviral agents has placed significant demand on the supply chain for complex chiral intermediates, specifically 4,5-diamino shikimic acid derivatives which serve as critical precursors for viral neuraminidase inhibitors. Patent CN1317481A introduces a groundbreaking multistep synthesis that fundamentally shifts the production paradigm from reliance on scarce natural products to a robust, fully synthetic route starting from isophthalic acid derivatives. This technological leap addresses the historical bottleneck of sourcing (-)-shikimic acid or (-)-quinic acid, which are notoriously expensive and difficult to procure in industrial quantities. By establishing a reliable pathway from commodity aromatic chemicals to high-value chiral aliphatic structures, this innovation offers a strategic advantage for manufacturers seeking to secure long-term supply continuity for antiviral drug production.

The Limitations of Conventional Methods vs. The Novel Approach
The Limitations of Conventional Methods
Historically, the synthesis of shikimic acid derivatives has been heavily dependent on the extraction of (-)-shikimic acid from the seeds of Illicium verum (star anise) or through complex fermentation processes. These conventional methods suffer from severe inherent limitations that jeopardize supply chain stability and cost efficiency. The availability of star anise is subject to agricultural volatility, seasonal fluctuations, and geopolitical factors, leading to unpredictable pricing and potential shortages. Furthermore, the isolation of (-)-shikimic acid from natural sources involves labor-intensive purification steps that result in low overall yields and high waste generation. For large-scale pharmaceutical manufacturing, relying on such a fragile biological supply chain poses an unacceptable risk, especially when facing global pandemic scenarios where demand for neuraminidase inhibitors spikes dramatically.
The Novel Approach
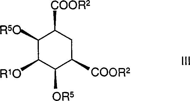
The novel approach detailed in the patent circumvents these biological constraints by utilizing isophthalic acid derivatives as the starting material, which are readily available petrochemical commodities. The process begins with the catalytic hydrogenation of these aromatic precursors to form all-cis-cyclohexanedicarboxylates, effectively converting a planar aromatic system into a three-dimensional aliphatic scaffold. This synthetic strategy decouples production from agricultural cycles, ensuring a consistent and scalable feedstock supply. Moreover, the route incorporates sophisticated enzymatic resolution steps early in the synthesis to establish the necessary chiral centers with high precision. This combination of classical organic synthesis and biocatalysis creates a hybrid manufacturing platform that is both economically viable and technically robust, capable of meeting the rigorous quality standards required for active pharmaceutical ingredient (API) intermediates.
Mechanistic Insights into Enzymatic Resolution and Functionalization
The core of this synthetic methodology lies in its ability to induce chirality into an achiral starting material through selective enzymatic hydrolysis. Following the initial hydrogenation step which yields a meso-compound, the process employs specific enzymes such as Pig Liver Esterase (PLE) or lipases from sources like Humicola lanuginosa to differentiate between the two ester groups. This biocatalytic step is performed under mild aqueous conditions, typically at temperatures between 20°C and 35°C, preserving the integrity of the sensitive molecular framework while achieving high enantiomeric excess. The enzyme selectively cleaves one ester bond to generate a chiral mono-acid, setting the stereochemical foundation for the subsequent transformations. This precision is critical, as the biological activity of the final neuraminidase inhibitor is strictly dependent on the specific (3R, 4R, 5S) configuration of the shikimic acid core.

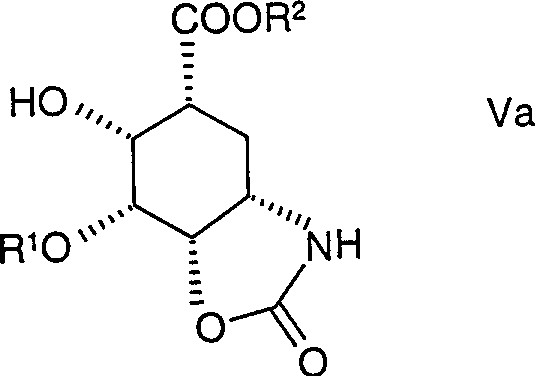
Following the establishment of chirality, the synthesis proceeds through a series of functional group interconversions designed to install the requisite amino groups at the 4 and 5 positions. A key mechanistic feature is the application of the Curtius or Hofmann degradation principles to convert the carboxylic acid functionality into an amine precursor. Specifically, the Yamada-Curtius degradation using diphenyl phosphoryl azide (DPPA) allows for the formation of an isocyanate intermediate which cyclizes to an oxazolidinone, effectively protecting the nascent amine while maintaining stereochemical integrity. Subsequent steps involve the conversion of a hydroxyl group to a leaving group, such as a triflate, followed by nucleophilic displacement with azide. This inversion of configuration is meticulously controlled to ensure the final diamino product possesses the correct spatial arrangement required for binding to the viral enzyme active site.
How to Synthesize 4,5-Diamino Shikimic Acid Derivatives Efficiently
The synthesis of these high-value intermediates requires a seamless integration of chemical catalysis and biocatalysis to achieve both efficiency and stereocontrol. The process initiates with the high-pressure hydrogenation of substituted isophthalic acid esters using noble metal catalysts like rhodium or ruthenium supported on carbon or alumina. This step must be carefully monitored to ensure complete saturation of the aromatic ring without over-reduction or isomerization. Once the all-cis-cyclohexane scaffold is established, the critical enzymatic resolution step is executed in a buffered aqueous system, where pH control is paramount to maintain enzyme activity and drive the reaction to completion. The resulting chiral mono-acid is then subjected to dehydration and rearrangement reactions to introduce nitrogen functionality, culminating in the reduction of azide intermediates and final acylation to yield the stable diamino derivative.
- Hydrogenate isophthalic acid derivatives using Rh or Ru catalysts to form all-cis-cyclohexanedicarboxylates.
- Perform selective enzymatic hydrolysis using Pig Liver Esterase (PLE) or lipases to resolve chiral mono-acids.
- Convert mono-acids to amines via Curtius degradation, followed by azide reduction and acylation to yield the final diamino derivative.
Commercial Advantages for Procurement and Supply Chain Teams
For procurement managers and supply chain directors, the transition to this synthetic route represents a significant de-risking of the raw material supply base. By shifting away from natural extraction, manufacturers can eliminate the volatility associated with crop yields and seasonal harvesting, thereby stabilizing long-term pricing models. The use of isophthalic acid derivatives as a starting point leverages the existing infrastructure of the petrochemical industry, ensuring that feedstock availability is not a bottleneck even during periods of surging global demand. Furthermore, the synthetic nature of the process allows for better inventory management and forecasting, as production can be ramped up or down based on market signals rather than being constrained by biological growth cycles.
- Cost Reduction in Manufacturing: The economic benefits of this process are driven primarily by the substitution of expensive natural extracts with low-cost commodity chemicals. The elimination of the need to source (-)-shikimic acid removes a major cost driver from the bill of materials. Additionally, the enzymatic steps operate under mild conditions that reduce energy consumption compared to traditional high-temperature chemical resolutions. The high selectivity of the enzymes also minimizes the formation of diastereomeric impurities, reducing the burden on downstream purification and increasing the overall yield of the usable product, which directly translates to lower cost per kilogram of the final intermediate.
- Enhanced Supply Chain Reliability: Supply chain resilience is significantly improved by diversifying the source of raw materials from agriculture to synthetic chemistry. This route ensures that production is not susceptible to weather events, pests, or trade restrictions affecting agricultural exports. The ability to synthesize the core scaffold from widely available aromatic precursors means that multiple suppliers can potentially qualify for the starting materials, fostering a competitive sourcing environment. This redundancy is crucial for maintaining continuous manufacturing operations for critical antiviral medications, ensuring that patient supply is never compromised by upstream disruptions.
- Scalability and Environmental Compliance: From an operational perspective, the process is designed for scalability, utilizing unit operations such as hydrogenation and crystallization that are standard in fine chemical manufacturing facilities. The enzymatic steps, being aqueous-based, often generate less hazardous waste compared to purely synthetic chiral resolution methods that might require heavy metals or toxic solvents. This alignment with greener chemistry principles simplifies environmental compliance and waste disposal logistics. The robust nature of the intermediates allows for isolation and storage at various stages, providing flexibility in production scheduling and facilitating the distribution of semi-finished goods if necessary for global supply networks.
Frequently Asked Questions (FAQ)
The following questions address common technical and commercial inquiries regarding the implementation of this synthetic technology. Understanding the nuances of the enzymatic resolution and the safety profile of the azide intermediates is essential for technical teams evaluating this route for technology transfer. The answers provided are derived directly from the experimental data and process descriptions within the patent documentation, ensuring accuracy and relevance for decision-makers assessing the feasibility of adopting this manufacturing strategy for their own portfolios.
Q: What is the primary advantage of this synthetic route over natural extraction?
A: The primary advantage is the avoidance of expensive and scarce natural starting materials like (-)-shikimic acid or (-)-quinic acid. By starting from readily available isophthalic acid derivatives, the process ensures industrial scalability and significantly reduces raw material costs compared to extraction from plant sources.
Q: How is stereochemical control achieved in this process?
A: Stereochemical control is achieved through a highly selective enzymatic hydrolysis step. Using enzymes such as Pig Liver Esterase (PLE) or specific lipases (e.g., from Humicola lanuginosa), the process selectively hydrolyzes one ester group of the all-cis-cyclohexanedicarboxylate, generating the desired (S)- or (R)-mono-acid with high optical purity.
Q: Is this process suitable for large-scale commercial production?
A: Yes, the process is designed for industrial output. It utilizes standard chemical operations such as catalytic hydrogenation, enzymatic conversion in aqueous or biphasic systems, and conventional purification techniques like crystallization and extraction, all of which are well-established for scaling from kilogram to multi-ton production.
Partnering with NINGBO INNO PHARMCHEM: Your Reliable 4,5-Diamino Shikimic Acid Derivative Supplier
At NINGBO INNO PHARMCHEM, we recognize the critical importance of securing a stable supply of high-purity antiviral intermediates for the global pharmaceutical market. Our team possesses extensive experience scaling diverse pathways from 100 kgs to 100 MT/annual commercial production, ensuring that we can meet the rigorous demands of multinational drug developers. We are equipped with state-of-the-art facilities capable of handling complex chemistries, including high-pressure hydrogenation and sensitive biocatalytic processes, all underpinned by our stringent purity specifications and rigorous QC labs. Our commitment to quality ensures that every batch of 4,5-diamino shikimic acid derivative meets the exacting standards required for subsequent API synthesis.
We invite you to collaborate with us to optimize your supply chain for neuraminidase inhibitor production. Our technical procurement team is ready to provide a Customized Cost-Saving Analysis tailored to your specific volume requirements and quality targets. We encourage you to contact us to request specific COA data and route feasibility assessments, allowing you to validate our capabilities and secure a partnership that drives both innovation and efficiency in your manufacturing operations.
