Advanced Peramivir Manufacturing: Technical Breakthroughs for Commercial Scale-up of complex Pharmaceutical Intermediates
Introduction to Advanced Peramivir Synthesis Technology
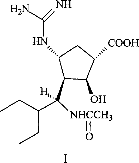
The pharmaceutical industry continuously seeks robust manufacturing pathways for critical antiviral agents, and patent CN101538228A presents a transformative approach to synthesizing Peramivir, a potent neuraminidase inhibitor effective against influenza and avian influenza viruses. This technical disclosure outlines a refined synthetic route that addresses the longstanding challenges of low yield and hazardous reagent usage associated with earlier methodologies. By leveraging a strategic sequence of ring-opening, protection, cycloaddition, and reduction steps, the process ensures a high-purity final product suitable for stringent medical applications. The structural integrity of the target molecule, as depicted below, relies on precise stereochemical control throughout the synthesis to maintain biological efficacy.
For R&D Directors and technical decision-makers, understanding the foundational chemistry is crucial for evaluating the feasibility of technology transfer. The patent emphasizes the use of (+/-) 2-azabicyclo[2.2.1]hept-5-alkene-3-ketone as a key starting material, which undergoes a series of carefully optimized transformations. This approach not only streamlines the number of reaction steps but also significantly enhances the overall process safety profile. As a reliable pharmaceutical intermediates supplier, recognizing these technical nuances allows for better assessment of supply chain risks and production scalability. The following analysis delves into the specific mechanistic advantages and commercial implications of this improved synthesis method.
The Limitations of Conventional Methods vs. The Novel Approach
The Limitations of Conventional Methods
Historical synthetic routes for Peramivir, such as those disclosed in prior patents like CN1282316 and CN1367776A, have been plagued by significant operational inefficiencies and safety hazards that hinder large-scale industrial adoption. Traditional methods often rely on the use of highly toxic reagents such as methyl sulfate and benzene, which necessitate elaborate safety precautions and expensive waste treatment systems to comply with environmental regulations. Furthermore, the conventional ring-opening steps frequently suffer from inconsistent reaction control, leading to variable yields and the formation of difficult-to-remove impurities that compromise the quality of the final active pharmaceutical ingredient. The reliance on gaseous hydrogen chloride in some prior art methods introduces additional complexity regarding equipment corrosion and precise dosing control, making the process difficult to amplify from laboratory to production scale without substantial yield losses.
The Novel Approach
In stark contrast, the novel approach detailed in CN101538228A introduces a series of strategic modifications that collectively resolve the bottlenecks of previous generations of synthesis technology. By utilizing a specific concentration of hydrochloric acid methanol and optimizing the molar ratio of reactants, the new method achieves a highly consistent ring-opening reaction that completes in a fraction of the time required by older techniques. The substitution of hazardous reducing agents with lithium aluminum hydride in the reductive ring-opening step eliminates the need for toxic nickel catalysts and simplifies the post-reaction workup significantly. This streamlined workflow not only reduces the total number of operational steps but also enhances the overall safety profile, making it an ideal candidate for cost reduction in API manufacturing where regulatory compliance and operator safety are paramount concerns for modern facilities.
Mechanistic Insights into Optimized Diels-Alder and Reduction
A critical component of this synthesis is the Diels-Alder cycloaddition step, which constructs the core cyclopentane framework with high stereochemical fidelity. The patent specifies the use of a chloroxime derivative prepared from 2-ethyl butyraldehyde, which reacts with the protected cyclopentene intermediate under controlled thermal conditions. The precise control of the dropping rate and the molar ratio of the chloroxime reagent is essential to suppress side reactions and ensure the formation of the desired isoxazole intermediate. As illustrated in the structure below, the specific configuration of the oxime group dictates the subsequent stereochemistry of the ring system, which is vital for the biological activity of the final Peramivir molecule.
Following the cycloaddition, the reductive ring-opening of the isoxazole ring represents another pivotal mechanistic transformation where the new method offers distinct advantages over prior art. Instead of using catalytic hydrogenation with expensive platinum dioxide or complex nickel boride systems that require strict pH monitoring, the improved process employs lithium aluminum hydride as a stoichiometric reducing agent. This chemical choice allows for a more vigorous and complete reduction under milder conditions, effectively cleaving the N-O bond without affecting other sensitive functional groups such as the Boc-protecting group. The resulting amino alcohol intermediate is obtained in high yield and purity, demonstrating how mechanistic optimization directly translates to improved process robustness and reduced impurity profiles in the final drug substance.
How to Synthesize Peramivir Efficiently
Implementing this improved synthetic route requires a disciplined approach to reaction parameter control, particularly regarding the concentration of reagents and the management of exothermic events during key transformation steps. The process begins with the preparation of the chiral amino ester intermediate, where the precise addition of hydrochloric acid methanol is critical to achieving the optimal yield of 84.9% as demonstrated in the patent examples. Subsequent steps involve careful temperature regulation during the Diels-Alder reaction and the use of specific workup procedures to isolate intermediates without the need for chromatographic purification. The detailed standardized synthesis steps see the guide below, which outlines the critical control points for ensuring batch-to-batch consistency.
- Perform ring-opening of 2-azabicyclo[2.2.1]hept-5-alkene-3-ketone using optimized hydrochloric acid methanol concentration and molar ratios.
- Execute Diels-Alder addition with 2-ethyl butyraldehyde chloroxime followed by controlled esterification and pH adjustment.
- Conduct reductive ring-opening using lithium aluminum hydride and finalize with acetylation and guanidinylation to obtain Peramivir.
Commercial Advantages for Procurement and Supply Chain Teams
For procurement managers and supply chain heads, the technical improvements in this synthesis method translate directly into tangible operational benefits that enhance the reliability of the supply chain. By eliminating the need for highly toxic and regulated solvents like benzene and methyl sulfate, the process significantly reduces the regulatory burden and the associated costs of hazardous waste disposal and environmental compliance monitoring. The simplification of the reaction sequence also means fewer unit operations are required, which lowers the consumption of utilities and reduces the overall manufacturing cycle time, thereby enhancing the responsiveness of the production facility to market demand fluctuations. These factors collectively contribute to a more resilient supply chain capable of sustaining continuous production without the interruptions often caused by safety incidents or regulatory audits.
- Cost Reduction in Manufacturing: The elimination of expensive transition metal catalysts such as platinum dioxide and the replacement with more economical reagents like lithium aluminum hydride leads to substantial cost savings in raw material procurement. Additionally, the higher overall yield of 37.7% compared to the 17.7% of prior art means that less starting material is required to produce the same amount of final product, effectively lowering the cost of goods sold. The reduction in purification steps further decreases the consumption of chromatography media and solvents, driving down the variable costs associated with each production batch.
- Enhanced Supply Chain Reliability: The use of readily available and stable reagents ensures that the production process is not vulnerable to supply disruptions of exotic or highly specialized chemicals. The robustness of the reaction conditions, which do not require extremely sensitive pH control or specialized high-pressure equipment, allows for manufacturing in a wider range of facilities, thereby diversifying the potential supply base. This flexibility is crucial for maintaining high-purity pharmaceutical intermediates supply continuity, especially in times of global logistical constraints or raw material shortages.
- Scalability and Environmental Compliance: The process is designed with industrial scalability in mind, featuring reaction steps that generate minimal hazardous byproducts and utilize solvents that are easier to recover and recycle. The avoidance of gaseous hydrogen chloride in favor of hydrochloric acid methanol solutions simplifies the equipment requirements and reduces the risk of corrosion-related downtime. These environmental and operational advantages facilitate a smoother scale-up from pilot plant to commercial production, ensuring that the manufacturing process remains compliant with increasingly stringent global environmental standards.
Frequently Asked Questions (FAQ)
The following questions address common technical and commercial inquiries regarding the implementation of this improved Peramivir synthesis method. These answers are derived directly from the experimental data and technical disclosures within the patent documentation to provide accurate guidance for potential partners. Understanding these details is essential for evaluating the feasibility of integrating this technology into existing manufacturing portfolios.
Q: How does the new method improve total yield compared to prior art?
A: The improved synthetic route achieves a total yield of 37.7%, significantly higher than the 17.7% yield typical of conventional methods, by optimizing reaction conditions and reducing side products.
Q: What safety advantages does this process offer for industrial production?
A: The process eliminates the use of highly toxic reagents such as methyl sulfate and benzene, replacing them with safer alternatives and reducing the need for complex waste treatment infrastructure.
Q: Is this synthesis method suitable for large-scale commercial manufacturing?
A: Yes, the method features milder reaction conditions, simplified post-processing operations, and robust impurity control, making it highly suitable for scaling from pilot to commercial production volumes.
Partnering with NINGBO INNO PHARMCHEM: Your Reliable Peramivir Supplier
The technical advancements detailed in patent CN101538228A represent a significant opportunity for pharmaceutical companies to secure a more efficient and sustainable source of this critical antiviral intermediate. NINGBO INNO PHARMCHEM possesses extensive experience scaling diverse pathways from 100 kgs to 100 MT/annual commercial production, ensuring that the theoretical benefits of this improved synthesis can be fully realized in a practical manufacturing setting. Our stringent purity specifications and rigorous QC labs guarantee that every batch of Peramivir intermediate meets the highest quality standards required for downstream drug formulation, providing peace of mind to R&D and quality assurance teams.
We invite you to engage with our technical procurement team to discuss how this optimized route can be tailored to your specific production needs. By requesting a Customized Cost-Saving Analysis, you can gain deeper insights into the potential economic benefits of adopting this technology. We encourage you to contact us to obtain specific COA data and route feasibility assessments, allowing you to make informed decisions that enhance your supply chain efficiency and product competitiveness in the global market.
