Advanced Manufacturing of S-Flubutyramid: A Cost-Effective Chiral Inversion Strategy for Global Herbicide Markets
The agrochemical industry is currently witnessing a paradigm shift towards single-enantiomer herbicides, driven by the need for higher efficacy and reduced environmental load. Patent CN116332785A introduces a groundbreaking preparation method for S-flubutyramid (Beflubutamid-M), the biologically active S-isomer of the phenoxyamide herbicide flubutyramid. Unlike the commercially available racemic mixture, the S-isomer exhibits herbicidal activity at least 1000 times greater than its R-counterpart, representing a massive leap in potency. This technical disclosure outlines a robust synthetic pathway that bypasses the economic and safety bottlenecks of previous methods, such as expensive chiral resolution or hazardous diazotization. By leveraging naturally occurring chiral building blocks produced via microbial fermentation, this invention offers a sustainable, cost-efficient, and high-yielding route to high-purity agrochemical intermediates, positioning it as a critical technology for modern herbicide manufacturing.
The Limitations of Conventional Methods vs. The Novel Approach
The Limitations of Conventional Methods
Historically, the synthesis of chiral phenoxyamide herbicides has been plagued by significant technical and economic hurdles that hinder widespread adoption of the pure active isomer. Traditional resolution methods require the use of costly chiral resolving agents or specialized biological enzymes to separate the desired S-enantiomer from the racemic mixture, inherently limiting the maximum theoretical yield to 50% and driving up raw material costs substantially. Alternatively, chiral source methods relying on R-2-aminobutyric acid necessitate dangerous diazotization reactions involving alkali metal nitrites and hydrobromic acid, which generate large volumes of toxic wastewater and pose severe safety risks due to the instability of diazonium intermediates. Furthermore, asymmetric hydrogenation approaches, while elegant, depend on precious metal chiral catalysts that are not only expensive to procure but also difficult to recover and recycle, leading to potential heavy metal contamination issues and inflated production expenses that make the final product less competitive in the global market.
The Novel Approach
The methodology disclosed in CN116332785A fundamentally reengineers the synthesis logic by utilizing (S)-2-hydroxybutyric acid, a natural product accessible through large-scale microbial fermentation, as the primary chiral source. This strategy eliminates the need for external chiral catalysts or resolution agents, drastically reducing the cost of goods sold. The core innovation lies in a stereospecific halogenation step where the hydroxyl group is replaced by a halogen with complete inversion of configuration, facilitated by a pyridine-based catalyst system. This allows for the precise construction of the chiral center without the safety hazards associated with diazo chemistry. The subsequent etherification and amidation steps proceed under mild, scalable conditions using common industrial solvents like acetone and toluene. This streamlined approach not only shortens the synthetic route but also ensures high optical purity and excellent yields, making it an ideal candidate for reliable agrochemical intermediate supplier networks seeking to optimize their supply chains.

Mechanistic Insights into Pyridine-Catalyzed Stereospecific Halogenation
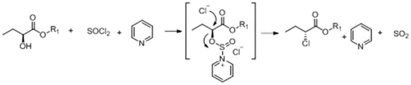
The cornerstone of this synthesis is the stereochemical control exerted during the conversion of the hydroxy ester to the halo ester intermediate. The patent details a mechanism where compound R-2, an (S)-2-hydroxybutyrate ester, reacts with a halogenating agent such as thionyl chloride in the presence of a catalytic amount of pyridine or pyridine derivatives. This reaction proceeds via an SN2 nucleophilic substitution pathway. The pyridine catalyst plays a dual role: it acts as a base to scavenge the generated hydrogen chloride and facilitates the formation of a reactive chlorosulfite intermediate. Crucially, the nucleophilic attack by the chloride ion occurs from the backside relative to the leaving group, resulting in a Walden inversion of the chiral center. This transforms the (S)-configuration of the starting hydroxy acid into the (R)-configuration of the chloro intermediate, which is the necessary precursor for the subsequent etherification step that restores the S-configuration in the final product.

Controlling impurities in this step is vital for maintaining the high optical purity required for the final herbicide. The use of specific pyridine derivatives, such as 2-methylpyridine or 2-chloropyridine, allows for fine-tuning the reaction kinetics to minimize side reactions like elimination or racemization. The patent specifies that the catalyst loading can be as low as 0.1% to 5% molar ratio, indicating a highly efficient catalytic cycle. By maintaining the reaction temperature between 30°C and 90°C, the process avoids thermal degradation while ensuring complete conversion. This precise control over the halogenation step ensures that the downstream etherification with 4-fluoro-3-(trifluoromethyl)phenol proceeds with high fidelity, preserving the enantiomeric excess (ee) throughout the synthesis and delivering a final product with superior herbicidal activity compared to racemic mixtures.
How to Synthesize S-Flubutyramid Efficiently
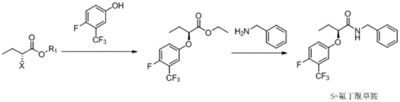
The synthesis of S-flubutyramid described in this patent offers a practical and scalable protocol for manufacturing facilities. The process begins with the esterification of fermentation-derived (S)-2-hydroxybutyric acid, followed by the critical stereoinversion step to generate the key chloro-intermediate. This intermediate is then coupled with the fluorinated phenol moiety and finally amidated with benzylamine. The detailed standardized synthesis steps below outline the specific reaction conditions, reagent ratios, and workup procedures optimized for high yield and purity, serving as a foundational guide for process chemists aiming to implement this technology.
- Esterify natural (S)-2-hydroxybutyric acid with ethanol and acid catalyst to form (S)-2-hydroxybutyrate ester.
- Perform halogenation using thionyl chloride and pyridine catalyst to invert configuration, yielding (R)-2-chlorobutyrate ester.
- React the chloro-ester with 4-fluoro-3-(trifluoromethyl)phenol under basic conditions to form the ether linkage, restoring S-configuration.
- Conduct amidation with benzylamine using alkoxide base to finalize the S-flubutyramid structure.
Commercial Advantages for Procurement and Supply Chain Teams
For procurement managers and supply chain directors, the adoption of this patented synthesis route presents compelling strategic advantages centered around cost stability and supply security. By shifting away from precious metal catalysts and complex resolution processes, the manufacturing cost structure becomes significantly more predictable and resilient to market fluctuations in rare earth or noble metal prices. The reliance on fermentation-derived starting materials ensures a steady, renewable supply of the chiral backbone, decoupling production from the volatility of petrochemical-based chiral pools. Furthermore, the elimination of hazardous diazotization steps reduces the regulatory burden and waste disposal costs associated with toxic effluent treatment, contributing to substantial cost savings in environmental compliance and operational overhead.
- Cost Reduction in Manufacturing: The replacement of expensive chiral resolving agents and precious metal hydrogenation catalysts with abundant, fermentation-based raw materials leads to a drastic reduction in direct material costs. The catalytic nature of the pyridine-mediated inversion step means that expensive reagents are not consumed in stoichiometric quantities, further optimizing the cost per kilogram. Additionally, the simplified workup procedures, which avoid complex chromatographic separations typically required for chiral resolution, reduce solvent consumption and energy usage, resulting in comprehensive cost reduction in agrochemical intermediate manufacturing.
- Enhanced Supply Chain Reliability: Utilizing (S)-2-hydroxybutyric acid produced via microbial fermentation provides a robust and scalable foundation for the supply chain. Unlike synthetic chiral sources that may face production bottlenecks, fermentation processes can be ramped up relatively quickly to meet surging demand. The use of common industrial reagents like thionyl chloride, benzylamine, and potassium carbonate ensures that sourcing is not dependent on single-source suppliers of exotic chemicals. This diversification of the supply base enhances continuity and reduces the risk of production stoppages due to raw material shortages, ensuring reducing lead time for high-purity agrochemical intermediates.
- Scalability and Environmental Compliance: The reaction conditions described, such as reflux in acetone or toluene at moderate temperatures, are fully compatible with standard stainless steel reactor infrastructure found in most fine chemical plants. This compatibility facilitates the commercial scale-up of complex agrochemical intermediates without requiring specialized equipment for high-pressure hydrogenation or cryogenic conditions. Moreover, the avoidance of heavy metal catalysts and toxic diazo byproducts simplifies the waste stream, making it easier to meet stringent environmental regulations and sustainability goals, thereby future-proofing the manufacturing asset against tightening ecological standards.
Frequently Asked Questions (FAQ)
The following questions address common technical and commercial inquiries regarding the implementation of this synthesis technology. These insights are derived directly from the experimental data and beneficial effects reported in the patent documentation, providing clarity on process feasibility and product quality.
Q: How does this patent ensure high optical purity without expensive chiral catalysts?
A: The process utilizes naturally fermented (S)-2-hydroxybutyric acid as a chiral pool starter. Through a controlled SN2 substitution mechanism catalyzed by pyridine, the configuration is inverted predictably from S to R and back to S during etherification, avoiding the need for costly asymmetric hydrogenation or resolution agents.
Q: What are the safety advantages over traditional diazotization methods?
A: Traditional routes often involve hazardous diazotization reactions using nitrites and strong acids, generating significant toxic wastewater. This patented method replaces those steps with standard esterification and halogenation using thionyl chloride, significantly reducing hazardous waste generation and improving operational safety profiles.
Q: Is this synthesis route suitable for large-scale commercial production?
A: Yes, the route is designed for scalability. It relies on bulk fermentation products and common industrial reagents like thionyl chloride and benzylamine. The reaction conditions (reflux in acetone or toluene) are easily manageable in standard stainless steel reactors, facilitating commercial scale-up from kilograms to metric tons.
Partnering with NINGBO INNO PHARMCHEM: Your Reliable S-Flubutyramid Supplier
At NINGBO INNO PHARMCHEM, we recognize the transformative potential of the synthesis route detailed in CN116332785A for the global herbicide market. As a premier CDMO partner, we possess extensive experience scaling diverse pathways from 100 kgs to 100 MT/annual commercial production, ensuring that innovative laboratory processes are seamlessly translated into robust industrial operations. Our state-of-the-art facilities are equipped to handle the specific requirements of chiral synthesis, including strict temperature control and inert atmosphere processing, guaranteeing stringent purity specifications and consistent optical activity for every batch of S-flubutyramid we produce. Our rigorous QC labs employ advanced chiral HPLC methods to verify enantiomeric excess, ensuring that our clients receive only the highest quality active ingredients.
We invite procurement leaders and R&D directors to collaborate with us to leverage this cost-effective technology for your herbicide portfolios. By partnering with our technical procurement team, you can access a Customized Cost-Saving Analysis tailored to your specific volume requirements. We encourage you to contact us today to request specific COA data and route feasibility assessments, allowing us to demonstrate how our manufacturing expertise can drive efficiency and reliability in your supply chain for high-purity agrochemical intermediates.
