Next-Generation Sulfonium Compounds for High-Resolution Semiconductor Photoresist Manufacturing
The semiconductor industry continuously demands higher precision in microfabrication, driving the need for advanced chemically amplified photoresist compositions. Patent CN101845008A introduces a novel class of sulfonium compounds specifically designed to function as high-performance acid generators within these critical formulations. These compounds feature a unique structural architecture where the anion moiety incorporates a beta-ketoester structure linked to bulky organic groups such as adamantyl derivatives. This specific molecular design addresses longstanding challenges in resolution and sensitivity that have plagued conventional photoresist systems. By integrating these specialized sulfonium salts, manufacturers can achieve superior pattern fidelity during the lithography process, which is essential for producing next-generation integrated circuits. The technical breakthrough lies in the precise balance of acid strength and diffusion control provided by the new anion structure, enabling finer feature sizes without compromising the integrity of the resist film.
Furthermore, the versatility of these sulfonium compounds allows them to be compatible with various resin systems commonly used in the industry, including those based on acrylic and methacrylic esters. The patent highlights that the inclusion of these acid generators significantly improves the solubility switch mechanism upon exposure to radiation such as ArF excimer lasers. This improvement is not merely incremental but represents a substantial leap in capability, allowing for the reliable production of features at the 75nm scale and potentially below. For procurement and supply chain leaders, understanding the underlying chemistry of these materials is crucial for securing a stable supply of high-purity electronic chemicals that meet the rigorous standards of modern semiconductor fabrication plants.
The Limitations of Conventional Methods vs. The Novel Approach
The Limitations of Conventional Methods
Traditional acid generators used in chemically amplified photoresists often suffer from limitations regarding thermal stability and acid diffusion control, which directly impact the resolution of the final printed patterns. Conventional sulfonium salts may generate acids that diffuse too readily within the resist film during post-exposure baking, leading to blurred line edges and a loss of critical dimension control. Additionally, many existing compounds lack the necessary solubility parameters to ensure complete development in alkaline solutions, resulting in residue formation or incomplete pattern transfer. These deficiencies become increasingly pronounced as feature sizes shrink, making older generations of acid generators unsuitable for advanced nodes. The reliance on simpler anion structures in legacy products often fails to provide the nuanced interaction required with high-molecular-weight resin components, leading to inconsistent performance across different wafer batches.
The Novel Approach
The innovative approach detailed in the patent overcomes these hurdles by introducing a sophisticated anion structure containing a beta-ketoester moiety linked to bulky cyclic groups like adamantane. This structural modification significantly retards unwanted acid diffusion while maintaining high acid generation efficiency upon irradiation. The bulky groups provide steric hindrance that stabilizes the generated acid and prevents excessive migration, thereby sharpening the latent image formed in the resist. Moreover, the ester linkage enhances the overall solubility profile of the resist composition, ensuring clean development and high contrast between exposed and unexposed regions. This novel design effectively decouples the trade-off between sensitivity and resolution, allowing manufacturers to optimize both parameters simultaneously. The result is a photoresist system capable of delivering exceptional exposure margins and pattern fidelity, which is critical for high-yield semiconductor manufacturing.
Mechanistic Insights into Sulfonium-Based Acid Generation
The core mechanism of action for these sulfonium compounds involves the photolytic cleavage of the carbon-sulfur bond upon exposure to high-energy radiation, releasing a strong sulfonic acid. In the specific compounds described in CN101845008A, the anion is engineered to stabilize the transition state and control the release kinetics of the proton. The presence of fluorine atoms on the alpha-carbon adjacent to the sulfonate group increases the acidity of the generated species, which is vital for efficiently catalyzing the deprotection of acid-labile groups in the resin matrix. This deprotection reaction changes the solubility of the resin from insoluble to soluble in alkaline developers, forming the positive tone image. The beta-ketoester structure further modulates this process by interacting with the resin backbone, potentially through hydrogen bonding or dipole interactions, which helps to localize the acid effect and prevent blurring. This precise mechanistic control is what enables the achievement of sub-100nm resolution.
Impurity control is another critical aspect of the mechanism, as trace metal ions or organic byproducts can act as poisoners for the acid generation process or cause defects in the final chip. The synthesis method described utilizes high-purity starting materials and employs purification steps such as aqueous washing and crystallization to remove inorganic salts and unreacted precursors. The use of titanium alkoxide catalysts in the esterification step is carefully managed to ensure complete removal of titanium residues, which could otherwise degrade the electrical performance of the semiconductor device. By rigorously controlling the chemical purity of the acid generator, the photoresist formulation maintains consistent sensitivity and shelf-life stability. This level of purity is non-negotiable for high-volume manufacturing environments where defect density must be kept to absolute minimums to ensure yield.
How to Synthesize Sulfonium Photoresist Acid Generators Efficiently
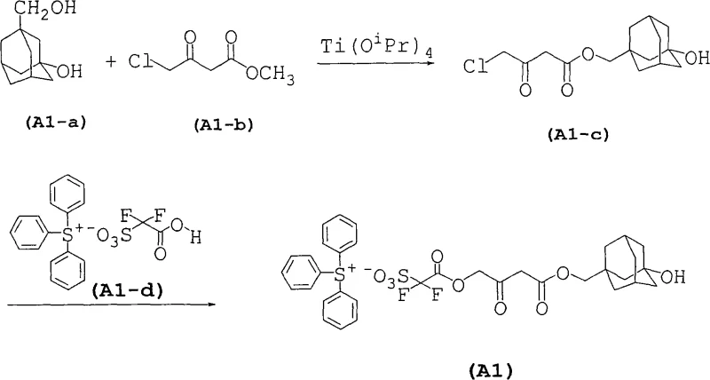
The synthesis of these high-value sulfonium compounds involves a multi-step organic process that requires precise control over reaction conditions to ensure high yield and purity. The general procedure begins with the esterification of a hydroxy-functionalized adamantane derivative with a halo-substituted ketoester, typically catalyzed by a titanium alkoxide species under reflux conditions. This step forms the key intermediate that carries the bulky solubility-controlling group. Subsequently, this intermediate is reacted with a sulfonium carboxylate salt in a polar aprotic solvent such as dimethylformamide, using a mild inorganic base to facilitate the nucleophilic substitution. The detailed standardized synthesis steps see the guide below.
- Prepare the intermediate ester by reacting a hydroxy-adamantane derivative with a halo-ketoester using a titanium alkoxide catalyst under reflux conditions.
- React the resulting halo-ester intermediate with a sulfonium salt containing a carboxylic acid group in the presence of a base like potassium carbonate.
- Purify the final sulfonium compound through aqueous workup, organic extraction, and concentration under reduced pressure to achieve high purity.
Commercial Advantages for Procurement and Supply Chain Teams
For procurement managers and supply chain heads, the adoption of this novel sulfonium chemistry offers distinct strategic advantages beyond mere technical performance. The synthesis route relies on robust and scalable organic reactions that do not require exotic or highly regulated reagents, which simplifies the sourcing of raw materials. This accessibility translates into a more resilient supply chain, reducing the risk of disruptions caused by geopolitical factors or single-source dependencies often associated with specialized electronic chemicals. Furthermore, the high efficiency of the reaction steps minimizes waste generation and solvent consumption, aligning with increasingly stringent environmental regulations and sustainability goals within the electronics manufacturing sector. These factors collectively contribute to a more stable and predictable supply of critical photoresist components.
- Cost Reduction in Manufacturing: The streamlined synthesis pathway eliminates the need for complex purification techniques or expensive transition metal catalysts that are difficult to remove to ppb levels. By utilizing common organic bases and readily available solvents, the overall cost of goods sold for the acid generator is significantly optimized. This cost efficiency can be passed down the value chain, allowing photoresist formulators to offer competitive pricing without sacrificing quality. Additionally, the high yield of the reaction reduces the amount of raw material required per unit of product, further driving down manufacturing costs and improving margin potential for suppliers.
- Enhanced Supply Chain Reliability: The raw materials required for this synthesis, such as adamantane derivatives and sulfonium salts, are produced by multiple established chemical manufacturers globally. This diversification of the supply base ensures that procurement teams are not locked into a single vendor, mitigating the risk of supply shortages. The robustness of the chemical process also means that production can be easily scaled up from pilot plant to commercial tonnage without significant re-engineering. This scalability ensures that as demand for advanced semiconductors grows, the supply of critical photoresist ingredients can expand in tandem, preventing bottlenecks in the fabrication pipeline.
- Scalability and Environmental Compliance: The process generates minimal hazardous byproducts, and the solvents used are standard industrial grades that can be efficiently recovered and recycled. This reduces the environmental footprint of the manufacturing process and lowers the costs associated with waste disposal and regulatory compliance. The ability to produce these compounds in large batches with consistent quality supports the high-volume requirements of the semiconductor industry. Moreover, the stability of the final product ensures a long shelf life, reducing inventory write-offs and allowing for strategic stockpiling to buffer against market volatility.
Frequently Asked Questions (FAQ)
The following questions address common technical and commercial inquiries regarding the implementation of these sulfonium compounds in photoresist formulations. The answers are derived directly from the experimental data and specifications provided in the patent documentation, ensuring accuracy and relevance for industry professionals. Understanding these details is essential for evaluating the feasibility of integrating this technology into existing manufacturing workflows.
Q: What is the primary advantage of the beta-ketoester structure in these sulfonium compounds?
A: The beta-ketoester structure enhances the solubility characteristics of the photoresist composition in alkaline developers after exposure, allowing for sharper pattern definition and improved resolution down to 75nm scales.
Q: How does this technology improve supply chain reliability for semiconductor materials?
A: The synthesis route utilizes readily available starting materials such as adamantane derivatives and common sulfonium salts, avoiding rare or restricted precursors, which ensures consistent production scalability and reduces lead time risks.
Q: Can these acid generators be used in ArF excimer laser lithography?
A: Yes, the patent data demonstrates successful application in ArF excimer laser lithography processes, showing excellent exposure margins and resolution performance suitable for advanced semiconductor microfabrication.
Partnering with NINGBO INNO PHARMCHEM: Your Reliable Sulfonium Compound Supplier
NINGBO INNO PHARMCHEM stands at the forefront of fine chemical manufacturing, possessing extensive experience scaling diverse pathways from 100 kgs to 100 MT/annual commercial production. Our technical team is adept at adapting complex synthetic routes like the one described in CN101845008A to meet the stringent purity specifications required by the semiconductor industry. We operate rigorous QC labs equipped with state-of-the-art analytical instrumentation to verify the identity and purity of every batch, ensuring that our sulfonium compounds perform consistently in your photoresist formulations. Our commitment to quality assurance makes us a trusted partner for global electronics material companies seeking reliable sources of advanced acid generators.
We invite you to contact our technical procurement team to discuss how we can support your specific project requirements. We are prepared to provide a Customized Cost-Saving Analysis tailored to your volume needs and process constraints. Please reach out to request specific COA data and route feasibility assessments to evaluate the potential of integrating our high-purity sulfonium compounds into your supply chain. Let us collaborate to drive innovation and efficiency in your semiconductor manufacturing operations.
