Advanced Synthesis of Spiro[2.5]decane-Based Photoresist Resin Monomers for High-Resolution Lithography
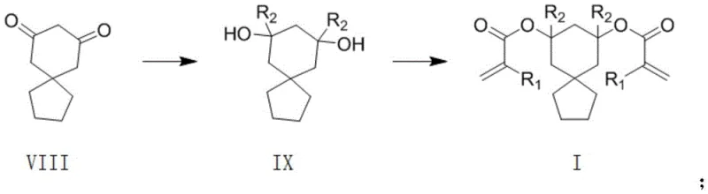
The semiconductor industry's relentless drive towards smaller node sizes demands photoresist materials with unprecedented resolution and etching resistance. Patent CN111072482A introduces a breakthrough class of photoresist resin monomers synthesized from spiro[2.5]decane-6,8-dione, addressing the critical limitations of traditional linear polymer systems. This innovation leverages a unique spiro-cyclic backbone that facilitates main-chain degradation upon exposure, fundamentally altering the dissolution kinetics in developing solutions. As a reliable photoresist resin monomer supplier, understanding this structural advantage is key to delivering next-generation electronic chemicals. The general structure, defined by Formula I, incorporates versatile R groups that allow for fine-tuning of physical properties while maintaining the core degradable functionality essential for high-performance lithography.
![General structural formula of the spiro[2.5]decane-based photoresist resin monomer showing variable R1 and R2 groups](/insights/img/spiro-decane-photoresist-monomer-supplier-20260307003433-01.png)
Traditional photoresist resins often rely on linear polymer chains where solubility changes are driven solely by the deprotection of acid-sensitive groups. This mechanism frequently results in insufficient contrast between exposed and unexposed regions, limiting the resolution of the final etched pattern. In contrast, the novel approach detailed in the patent utilizes a spiro[2.5]decane scaffold that introduces two unsaturated carbon-carbon double bonds capable of cross-linking. Upon exposure to light and subsequent acid generation, the ester linkages on the main chain are cleaved, causing the polymer backbone to break apart into smaller molecular weight fragments. This degradation mechanism drastically enhances the solubility difference, thereby improving edge roughness and overall pattern fidelity in advanced semiconductor manufacturing processes.
![General synthetic route showing the conversion of spiro[2.5]decane-6,8-dione to the final resin monomer via a diol intermediate](/insights/img/spiro-decane-photoresist-monomer-supplier-20260307003433-04.webp)
The Limitations of Conventional Methods vs. The Novel Approach
The Limitations of Conventional Methods
Conventional photoresist technologies typically employ linear polymers that lack the ability to undergo significant backbone fragmentation during the development process. In these systems, the solubility switch is entirely dependent on the polarity change of pendant groups, which often yields a modest contrast ratio insufficient for sub-micron patterning. Furthermore, the synthesis of complex linear copolymers often requires stringent control over molecular weight distribution and can involve costly purification steps to remove residual catalysts. The inability of the main chain to break limits the dissolution rate acceleration in the exposed areas, leading to broader line widths and potential bridging defects. For procurement managers seeking cost reduction in electronic chemical manufacturing, these inefficiencies translate into lower yields and higher material consumption per wafer.
The Novel Approach
The patented synthesis method overcomes these barriers by constructing a three-dimensional network structure through the copolymerization of the spiro-based monomer. The presence of the spiro[2.5]decane core provides rigidity and thermal stability, while the dual acrylate/methacrylate functionalities enable robust cross-linking. Crucially, the acid-labile ester bonds positioned on the main chain ensure that upon exposure, the polymer degrades rather than just changing polarity. This results in a massive increase in dissolution speed in the developer, creating a sharp threshold effect that defines the pattern boundaries with extreme precision. This structural innovation not only improves resolution but also enhances the etching resistance of the cured resin, making it ideal for demanding plasma etching environments in chip fabrication.
Mechanistic Insights into Grignard Addition and Esterification
The synthesis begins with a highly controlled Grignard reaction where spiro[2.5]decane-6,8-dione reacts with an alkyl or cycloalkyl Grignard reagent. This nucleophilic addition occurs at the carbonyl carbons of the dione, converting them into tertiary alcohol groups to form the diol intermediate (Formula IX). The reaction is exothermic and requires precise temperature maintenance between 0°C and 30°C in anhydrous ether to prevent Wurtz-type coupling side reactions or Grignard reagent decomposition. The steric environment of the spiro center influences the reactivity, necessitating careful addition rates to ensure complete conversion to the diol without forming mono-addition byproducts. This step is critical as the purity of the diol intermediate directly dictates the final monomer's performance in the photoresist formulation.
Following the isolation of the diol, the second stage involves an esterification reaction with acryloyl chloride or methacryloyl chloride. This acylation transforms the hydroxyl groups into polymerizable acrylate or methacrylate esters. The reaction is facilitated by a base such as triethylamine or pyridine, which acts as an acid scavenger to neutralize the generated HCl. Conducted in solvents like anhydrous tetrahydrofuran, toluene, or chloroform at temperatures ranging from 0°C to 70°C, this step must be monitored to prevent premature polymerization of the sensitive vinyl groups. The choice of R1 (hydrogen or methyl) determines whether the final monomer is an acrylate or methacrylate, offering flexibility in tuning the glass transition temperature and reactivity of the final resist resin.
How to Synthesize Spiro[2.5]decane Photoresist Monomer Efficiently
The synthesis protocol outlined in the patent provides a robust, two-step pathway suitable for both laboratory optimization and industrial scale-up. The process relies on readily available starting materials and avoids the use of precious metal catalysts, simplifying the supply chain logistics. Operators must maintain strict anhydrous conditions throughout the Grignard step to ensure high yields, typically exceeding 80% in optimized examples. The subsequent esterification is straightforward, utilizing standard workup procedures involving aqueous washes and column chromatography for purification. For a detailed breakdown of the specific operational parameters and stoichiometry required for successful execution, please refer to the standardized guide below.
- Perform a Grignard reaction between spiro[2.5]decane-6,8-dione and an alkyl or cycloalkyl Grignard reagent in anhydrous ether at 0-30°C to form the diol intermediate.
- Conduct an esterification reaction by reacting the purified diol intermediate with acryloyl chloride or methacryloyl chloride in a solvent like THF or toluene with a base such as triethylamine.
Commercial Advantages for Procurement and Supply Chain Teams
From a supply chain perspective, this synthetic route offers significant advantages due to its reliance on commodity chemicals and mild reaction conditions. The elimination of complex transition metal catalysis removes the need for expensive metal scavengers and rigorous heavy metal testing, streamlining the quality control workflow. Additionally, the solvents used, such as ether, THF, and toluene, are standard industrial solvents with well-established recovery and recycling protocols, contributing to a more sustainable manufacturing footprint. For supply chain heads concerned with continuity, the robustness of the Grignard and esterification steps ensures consistent batch-to-batch quality, reducing the risk of production delays caused by off-spec material.
- Cost Reduction in Manufacturing: The process avoids the use of noble metal catalysts like palladium or platinum, which are subject to volatile market pricing and supply constraints. By utilizing magnesium-based Grignard reagents and simple acid chlorides, the raw material costs are significantly lowered. Furthermore, the high yields reported in the examples, often surpassing 80%, minimize waste generation and maximize the output per unit of input, driving down the overall cost of goods sold for the final photoresist resin.
- Enhanced Supply Chain Reliability: The starting material, spiro[2.5]decane-6,8-dione, and the acylating agents are commercially available in bulk quantities, ensuring a stable supply base. The synthesis does not require specialized high-pressure equipment or cryogenic conditions beyond standard ice-water cooling, allowing production to be easily distributed across multiple manufacturing sites. This flexibility mitigates the risk of single-point failures in the supply chain and ensures reliable delivery of high-purity photoresist monomers to downstream customers.
- Scalability and Environmental Compliance: The reaction temperatures, ranging from 0°C to 70°C, are easily manageable in large-scale reactors without requiring extreme energy inputs for heating or cooling. The workup procedures involve standard liquid-liquid extractions and crystallization or chromatography, which are well-understood unit operations in the fine chemical industry. This ease of scale-up facilitates the transition from pilot plant to commercial production, while the absence of toxic heavy metals simplifies wastewater treatment and regulatory compliance.
Frequently Asked Questions (FAQ)
The following questions address common technical and commercial inquiries regarding the synthesis and application of these spiro-based monomers. The answers are derived directly from the experimental data and technical specifications provided in the patent documentation. Understanding these details is crucial for R&D teams evaluating the material for new resist formulations and for procurement specialists assessing vendor capabilities.
Q: How does this monomer improve photoresist resolution compared to linear polymers?
A: Unlike conventional linear polymers that only undergo deprotection, this spiro-based monomer allows for main chain scission upon acid exposure. This degradation significantly increases the solubility difference between exposed and unexposed areas, leading to sharper pattern edges and higher resolution.
Q: What are the critical reaction conditions for the Grignard step?
A: The Grignard reaction must be conducted under inert gas protection using anhydrous ether as the solvent. The temperature is strictly controlled between 0°C and 30°C to ensure high yield and prevent side reactions during the formation of the diol intermediate.
Q: Is this synthesis route suitable for large-scale commercial production?
A: Yes, the process utilizes standard industrial reagents like acryloyl chloride and common solvents such as THF and toluene. The mild temperature ranges (0-70°C) and absence of expensive transition metal catalysts make it highly scalable and cost-effective for mass manufacturing.
Partnering with NINGBO INNO PHARMCHEM: Your Reliable Spiro[2.5]decane Photoresist Monomer Supplier
NINGBO INNO PHARMCHEM stands at the forefront of custom synthesis for the electronics sector, possessing extensive experience scaling diverse pathways from 100 kgs to 100 MT/annual commercial production. Our technical team is adept at optimizing the Grignard and esterification steps described in CN111072482A to meet stringent purity specifications required for semiconductor applications. With our rigorous QC labs and state-of-the-art manufacturing facilities, we ensure that every batch of photoresist monomer delivers the consistent performance necessary for high-resolution lithography processes.
We invite you to collaborate with us to leverage this advanced technology for your next-generation photoresist formulations. Contact our technical procurement team today to request a Customized Cost-Saving Analysis tailored to your volume requirements. We are ready to provide specific COA data and route feasibility assessments to demonstrate how our manufacturing capabilities can support your supply chain goals and accelerate your time to market.
