Industrial Synthesis of Fluorinated Polyimide Precursors: A Breakthrough in Cost-Effective Manufacturing
The landscape of high-performance polymer manufacturing is constantly evolving, driven by the demand for materials with superior thermal stability and dielectric properties. Patent CN101235009A introduces a pivotal advancement in the synthesis of 2,2-bis[3-(4-chlorophthalimido)-4-hydroxyphenyl]hexafluoropropane, a critical monomer for next-generation polyimide resins. This specific fluorinated compound serves as a foundational building block for creating polymers that exhibit exceptional heat resistance and mechanical strength, making it indispensable for aerospace, microelectronics, and advanced composite applications. The patented methodology represents a significant departure from conventional synthetic routes, offering a streamlined, one-pot approach that maximizes efficiency while minimizing environmental impact. For R&D directors and procurement specialists alike, understanding the nuances of this process is essential for securing a reliable polyimide intermediate supplier capable of meeting rigorous quality standards. By leveraging a novel azeotropic dehydration technique, this invention not only enhances product purity but also establishes a robust framework for cost reduction in advanced polymer manufacturing, addressing key pain points in the global supply chain for specialty chemicals.
The Limitations of Conventional Methods vs. The Novel Approach
The Limitations of Conventional Methods
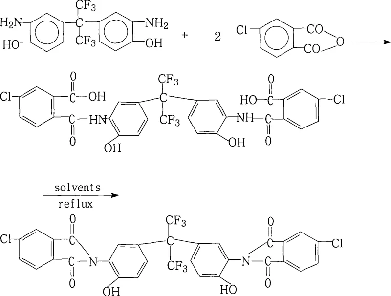
Traditionally, the synthesis of phthalimide-based monomers has been plagued by inefficiencies inherent in multi-step processes that often rely on the isolation of unstable polyamic acid intermediates. Conventional methods frequently necessitate the use of aggressive chemical dehydrating agents or high-temperature thermal imidization in the solid state, which can lead to incomplete cyclization and the formation of structural defects within the polymer backbone. These defects compromise the thermal and mechanical integrity of the final resin, rendering it unsuitable for high-end applications. Furthermore, traditional routes often suffer from poor atom economy and generate substantial amounts of hazardous waste, complicating disposal and increasing the overall environmental footprint of the manufacturing process. The reliance on stoichiometric amounts of expensive reagents and the difficulty in purifying the final product from residual impurities further exacerbate production costs. For supply chain managers, these inefficiencies translate into longer lead times, higher volatility in pricing, and inconsistent batch-to-batch quality, creating significant risks for downstream manufacturers who depend on a steady supply of high-purity fluorinated monomers for their production lines.
The Novel Approach
In stark contrast, the methodology outlined in patent CN101235009A employs a sophisticated yet operationally simple strategy that utilizes azeotropic dehydration to drive the imidization reaction to completion. By conducting the reaction in a strong polar aprotic organic solvent, such as N-methyl-2-pyrrolidone (NMP) or N,N-dimethylformamide (DMF), the reactants are maintained in a homogeneous phase, ensuring optimal molecular interaction and reaction kinetics. The introduction of an azeotropic dehydrating agent, like xylene or toluene, allows for the continuous removal of water generated during the cyclization process, effectively shifting the chemical equilibrium towards the desired product without the need for harsh chemical dehydrators. This approach not only simplifies the reaction setup to a single vessel but also significantly enhances the yield and purity of the final 2,2-bis[3-(4-chlorophthalimido)-4-hydroxyphenyl]hexafluoropropane. The ability to operate under atmospheric pressure and moderate reflux temperatures further underscores the safety and scalability of this novel approach, making it an ideal candidate for commercial scale-up of complex polymer additives where consistency and reliability are paramount.
Mechanistic Insights into Azeotropic Dehydration Imidization
The core of this synthetic breakthrough lies in the precise orchestration of nucleophilic attack and subsequent cyclodehydration, facilitated by the unique solvent system. Initially, the amino groups of the 2,2-bis(3-amino-4-hydroxyphenyl)hexafluoropropane act as nucleophiles, attacking the carbonyl carbons of the 4-chlorophthalic anhydride to form an amic acid intermediate. In conventional systems, the conversion of this amic acid to the imide ring is often the rate-limiting step, requiring high energy input. However, in this patented process, the presence of the azeotropic agent creates a thermodynamic sink for the water byproduct. As the reaction mixture is heated to reflux, the water forms a low-boiling azeotrope with the dehydrating agent and is distilled off, preventing the reverse hydrolysis reaction. This continuous removal of water ensures that the equilibrium is relentlessly pushed towards the formation of the stable five-membered imide ring. The polar aprotic solvent plays a dual role: it solvates the polar transition states effectively, lowering the activation energy, and it stabilizes the intermediate species, preventing premature precipitation that could halt the reaction. This mechanistic elegance results in a highly efficient transformation that minimizes side reactions and maximizes the structural integrity of the fluorinated backbone.
![Reaction scheme showing the synthesis of 2,2-bis[3-(4-chlorophthalimido)-4-hydroxyphenyl]hexafluoropropane via azeotropic dehydration](/insights/img/fluorinated-polyimide-intermediate-supplier-manufacturing-process-20260307024008-01.webp)
Furthermore, the control of impurities is intrinsically built into the reaction design through the careful selection of molar ratios and solvent recovery protocols. The patent specifies a molar ratio of diamine to dianhydride between 1.0:2.0 and 1.0:2.2, ensuring a slight excess of the anhydride to drive the reaction to full conversion of the amine groups, thereby eliminating unreacted amine impurities which are notoriously difficult to remove. The subsequent workup procedure, involving the addition of water to precipitate the product, exploits the differential solubility of the product versus the unreacted anhydride and solvent residues. The product, being less soluble in the water-solvent mixture, crashes out as a high-purity solid, while remaining impurities stay in the mother liquor. This crystallization-like precipitation acts as a primary purification step, significantly reducing the burden on downstream recrystallization or chromatography. For quality assurance teams, this mechanism guarantees a consistent impurity profile, which is critical for maintaining the performance characteristics of the final polyimide resin, particularly in sensitive electronic applications where ionic contaminants can lead to device failure.
How to Synthesize 2,2-Bis[3-(4-Chlorophthalimido)-4-Hydroxyphenyl]Hexafluoropropane Efficiently
Implementing this synthesis route in a production environment requires strict adherence to the optimized parameters defined in the patent to ensure reproducibility and safety. The process begins with the precise weighing of the fluorinated diamine and the chlorinated anhydride, followed by their dissolution in the selected polar aprotic solvent at ambient temperature to ensure a clear, homogeneous starting solution. Once homogeneity is achieved, the azeotropic agent is introduced, and the system is gradually heated to the reflux temperature, typically ranging between 85°C and 180°C depending on the specific solvent combination used. Monitoring the volume of distillate collected is crucial, as it serves as a direct indicator of reaction progress; the cessation of water collection signals the completion of the imidization. Following the reaction, the recovery of solvents is not merely a cleanup step but a vital economic driver, allowing for the reuse of expensive organic media in subsequent batches. Detailed standardized operating procedures for each stage, from charging the reactor to the final vacuum drying of the cake, are essential for maintaining the high purity specifications required by the market.
- Dissolve 2,2-bis(3-amino-4-hydroxyphenyl)hexafluoropropane and 4-chlorophthalic anhydride (molar ratio 1.0: 2.0-2.2) in a polar aprotic solvent like NMP or DMF at room temperature to form a homogeneous solution.
- Add an azeotropic dehydrating agent such as xylene or toluene, then heat the mixture to reflux (85°C-180°C) for 2 to 12 hours to drive the imidization reaction via water removal.
- Recover solvents, cool the reaction mixture, precipitate the product by adding water, then filter, wash with cold solvent, and vacuum dry to obtain the final high-purity solid.
Commercial Advantages for Procurement and Supply Chain Teams
From a strategic sourcing perspective, this patented process offers compelling advantages that directly address the core concerns of procurement managers and supply chain heads regarding cost, reliability, and sustainability. The elimination of complex multi-step sequences and the avoidance of expensive, hazardous reagents translate into a significantly simplified manufacturing workflow. This simplicity reduces the operational overhead and minimizes the risk of batch failures, ensuring a more predictable supply of critical raw materials. Moreover, the robustness of the reaction conditions means that the process is less sensitive to minor fluctuations in operational parameters, enhancing the overall reliability of the production line. For organizations seeking a reliable polyimide intermediate supplier, the adoption of this technology signifies a partnership grounded in process stability and quality assurance. The ability to produce high-value fluorinated monomers with consistent quality metrics allows downstream manufacturers to optimize their own formulation processes, reducing waste and improving the performance of their final products without incurring additional testing or qualification costs.
- Cost Reduction in Manufacturing: The economic viability of this process is largely driven by the efficient recovery and recycling of solvents, which constitute a major portion of the variable costs in fine chemical synthesis. By implementing a closed-loop solvent recovery system, manufacturers can drastically reduce the consumption of fresh NMP or DMF, leading to substantial cost savings over the lifecycle of the production campaign. Additionally, the absence of expensive metal catalysts or stoichiometric dehydrating agents removes a significant cost center from the bill of materials. The high yield reported in the patent examples further contributes to cost efficiency by maximizing the output per unit of raw material input, effectively lowering the cost per kilogram of the final product. These cumulative savings can be passed down the supply chain, offering competitive pricing structures for buyers without compromising on the quality or purity of the fluorinated intermediate.
- Enhanced Supply Chain Reliability: The reliance on readily available, commodity-grade raw materials such as 4-chlorophthalic anhydride and common industrial solvents mitigates the risk of supply disruptions associated with exotic or specialized reagents. This accessibility ensures that production can be sustained even during periods of market volatility or logistical constraints. Furthermore, the operational simplicity of the process, which does not require specialized high-pressure equipment or corrosive-resistant linings, allows for greater flexibility in manufacturing site selection and capacity expansion. Suppliers utilizing this method can respond more agilely to fluctuations in demand, reducing lead times for high-purity specialty chemicals and ensuring that Just-In-Time delivery schedules are met. This reliability is crucial for maintaining the continuity of operations for clients in the aerospace and electronics sectors, where material shortages can halt entire production lines.
- Scalability and Environmental Compliance: The design of this synthesis route is inherently scalable, moving seamlessly from laboratory benchtop to multi-ton industrial reactors without the need for fundamental process re-engineering. The reaction proceeds under atmospheric pressure, eliminating the safety hazards and regulatory burdens associated with high-pressure operations. From an environmental standpoint, the minimization of waste generation through solvent recycling and the absence of toxic byproducts align with increasingly stringent global environmental regulations. This compliance reduces the administrative and financial burden of waste disposal and permits, facilitating smoother operations across different geographic regions. For supply chain leaders focused on sustainability goals, partnering with a manufacturer employing this green chemistry approach demonstrates a commitment to responsible sourcing and environmental stewardship, enhancing the corporate social responsibility profile of the entire value chain.
Frequently Asked Questions (FAQ)
The following questions address common technical and commercial inquiries regarding the production and application of this fluorinated polyimide precursor, based on the detailed specifications provided in the patent documentation. Understanding these aspects is vital for technical teams evaluating the feasibility of integrating this material into their existing formulations or processes. The answers provided reflect the specific advantages of the azeotropic dehydration method, highlighting its superiority over traditional synthetic routes in terms of efficiency, purity, and environmental impact. These insights are intended to facilitate informed decision-making for stakeholders involved in the sourcing and development of advanced polymer materials.
Q: What are the primary advantages of this azeotropic dehydration method over traditional imidization?
A: This method eliminates the need for harsh chemical cyclization agents or multi-step isolation of polyamic acid intermediates. By utilizing azeotropic distillation, the reaction equilibrium is driven towards completion, resulting in significantly higher yields (over 90%) and purity (over 98%) directly from the reactor, simplifying downstream purification.
Q: Is the solvent system designed for industrial recycling and cost efficiency?
A: Yes, the process is explicitly engineered for sustainability and cost reduction. The polar aprotic solvents (like NMP or DMF) and the azeotropic agents (like xylene) can be recovered and reused multiple times. This closed-loop solvent management drastically reduces raw material consumption and waste disposal costs, making it highly attractive for large-scale production.
Q: Can this synthesis route be easily scaled up for commercial manufacturing?
A: Absolutely. The reaction operates under atmospheric pressure and utilizes standard stainless steel reactors without requiring specialized corrosion-resistant linings, as no corrosive byproducts are generated. The simple operational steps—dissolution, reflux, and precipitation—allow for straightforward scale-up from pilot plants to multi-ton annual production capacities with minimal capital investment.
Partnering with NINGBO INNO PHARMCHEM: Your Reliable 2,2-Bis[3-(4-Chlorophthalimido)-4-Hydroxyphenyl]Hexafluoropropane Supplier
At NINGBO INNO PHARMCHEM, we recognize the critical role that high-performance monomers play in the development of next-generation materials, and we are committed to delivering excellence in every batch. Our expertise extends beyond simple manufacturing; we possess extensive experience scaling diverse pathways from 100 kgs to 100 MT/annual commercial production, ensuring that your supply needs are met with precision and consistency. Our state-of-the-art facilities are equipped with rigorous QC labs that enforce stringent purity specifications, guaranteeing that every gram of 2,2-bis[3-(4-chlorophthalimido)-4-hydroxyphenyl]hexafluoropropane meets the exacting standards required for aerospace and electronic applications. We understand that in the fast-paced world of advanced materials, time is of the essence, and our optimized processes are designed to minimize turnaround times without sacrificing quality. By choosing us as your partner, you gain access to a team of dedicated chemists and engineers who are passionate about solving complex synthesis challenges and driving innovation in the polymer industry.
We invite you to engage with our technical procurement team to discuss how our capabilities can align with your specific project requirements. Whether you are looking to optimize an existing formulation or develop a new high-temperature resin, we are ready to provide a Customized Cost-Saving Analysis that demonstrates the tangible economic benefits of switching to our supply chain. We encourage potential partners to request specific COA data and route feasibility assessments to verify our claims and assess the fit for your application. Let us collaborate to unlock the full potential of fluorinated polyimides in your products, ensuring a competitive edge in the global market through superior material performance and supply chain resilience.
