Scalable Production of Tunable Phenylazo Calix[4]arene Derivatives via Green Azo Coupling
The field of supramolecular chemistry has long recognized the immense potential of calixarenes, cyclic oligomers formed by phenol units linked by methylene bridges, due to their unique basket-like structure and adjustable cavities. These macrocycles serve as exceptional host molecules capable of recognizing organic substrates and transporting cations, properties that are significantly enhanced when functional groups are introduced to their upper or lower rims. Specifically, the introduction of azo groups onto the upper rim of calix[4]arenes has garnered substantial attention because the azo moiety imparts desirable fluorescence, ultraviolet absorption, and cis-trans isomerism characteristics. Patent CN101348445A discloses a breakthrough preparation method for phenylazo calix[4]arene derivatives that addresses critical limitations in prior art, specifically focusing on the synthesis of 5-azophenyl-25,26,27,28-tetrahydroxycalix[4]arene and its multi-substituted analogs. This innovation is particularly relevant for manufacturers seeking a reliable specialty chemical supplier for advanced sensor materials, as it offers a greener, more controllable synthetic route.
![Chemical structure of 5-azophenyl-25,26,27,28-tetrahydroxycalix[4]arene showing the mono-substituted derivative](/insights/img/phenylazo-calixarene-synthesis-supplier-20260305145250-02.png)
The structural versatility of these compounds allows them to act as sophisticated molecular receptors. By modifying the upper rim through electrophilic substitution at the para-position of the phenolic hydroxyl groups, chemists can expand the cavity depth or introduce specific binding sites for metal ions. The patent highlights four distinct products ranging from mono-substituted to tetra-substituted derivatives, each exhibiting unique UV absorption profiles suitable for detecting specific metal ions or acting as pH indicators. For R&D directors evaluating new intermediates, the ability to access these specific isomers with high purity is paramount, and the disclosed method provides a robust framework for achieving this without the drawbacks associated with historical synthesis protocols.
The Limitations of Conventional Methods vs. The Novel Approach
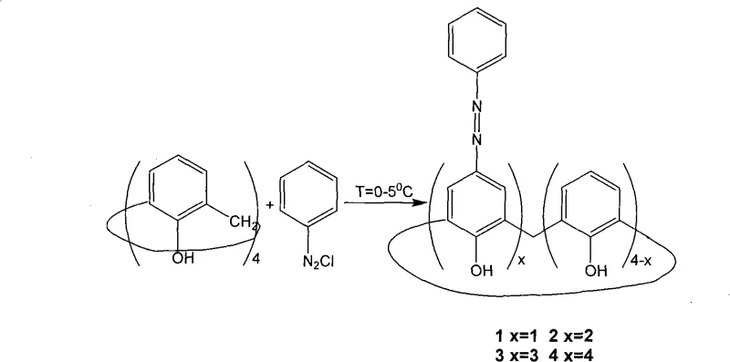
The Limitations of Conventional Methods
Prior to this invention, the standard protocol for synthesizing phenylazo calix[4]arenes, such as the method reported by Seiji Shinkai et al., relied heavily on the use of azobenzene tetrafluoroborate as the diazonium source and pyridine as the initiator or base. While effective in producing the target molecules, this conventional approach presents significant operational and environmental challenges that hinder large-scale commercial adoption. Pyridine is well-known for its intense, unpleasant odor and inherent toxicity, creating severe workplace safety hazards and complicating waste management procedures in industrial settings. Furthermore, the reliance on tetrafluoroborate salts introduces stability issues, as these reagents can be sensitive to moisture and handling conditions, potentially leading to inconsistent reaction outcomes. The rigidity of the prior art method also limits the ability to selectively tune the degree of substitution without altering complex reactant ratios, often resulting in a dominant formation of the tetra-substituted product regardless of the desired outcome.
The Novel Approach
The methodology described in CN101348445A fundamentally shifts the paradigm by replacing the problematic pyridine initiator with sodium acetate, a benign, inexpensive, and odorless solid reagent. This substitution not only eliminates the health risks associated with volatile organic bases but also simplifies the downstream purification process by removing the need to recover or neutralize toxic amines. Instead of using tetrafluoroborate salts, the new process utilizes azobenzene chloride (generated in situ from aniline and sodium nitrite), which is more cost-effective and easier to handle. Crucially, this novel approach introduces a time-dependent selectivity mechanism, allowing operators to dictate the product distribution—whether favoring the mono-substituted derivative or the fully substituted tetra-derivative—simply by controlling the reaction duration. This flexibility transforms the synthesis from a fixed-output process into a tunable manufacturing platform, offering substantial value for cost reduction in specialty chemical manufacturing.
Mechanistic Insights into Sodium Acetate-Promoted Azo Coupling
The core of this synthetic advancement lies in the electrophilic aromatic substitution mechanism facilitated by the mild basicity of sodium acetate. In this reaction system, the phenolic hydroxyl groups of the calix[4]arene activate the aromatic ring towards electrophilic attack, specifically at the para-position relative to the hydroxyl group. The sodium acetate acts as a proton scavenger, neutralizing the hydrochloric acid generated during the coupling of the diazonium salt with the electron-rich calixarene ring, thereby driving the equilibrium forward without the aggressive nucleophilicity of pyridine. This milder environment preserves the integrity of the calixarene skeleton while ensuring efficient coupling. The reaction proceeds through the formation of an azo linkage (-N=N-) connecting the phenyl ring of the diazonium species to the upper rim of the calixarene macrocycle.
![General reaction scheme showing calix[4]arene reacting with diazonium chloride using sodium acetate to form substituted derivatives](/insights/img/phenylazo-calixarene-synthesis-supplier-20260305145250-05.webp)
A distinctive feature of this mechanism is the kinetic control exerted by reaction time over the degree of substitution. As the reaction progresses, the steric hindrance around the calixarene rim increases with each added azo group, naturally slowing down subsequent substitutions. However, by extending the reaction time from 2 hours to over 6 hours, the system overcomes these steric barriers, allowing for the sequential formation of mono-, di-, tri-, and finally tetra-substituted products. This temporal control is critical for impurity management; shorter reaction times naturally suppress the formation of higher-order substituted byproducts when the mono-derivative is the target, while extended times ensure complete conversion for the tetra-derivative. This mechanistic understanding allows process chemists to optimize the impurity profile strictly through time management rather than complex stoichiometric adjustments, ensuring high-purity phenylazo calix[4]arene outputs suitable for sensitive analytical applications.
How to Synthesize Phenylazo Calix[4]arene Efficiently
The synthesis protocol outlined in the patent provides a clear, scalable pathway for producing these valuable intermediates using standard laboratory equipment and readily available reagents. The process begins with the in situ generation of the diazonium salt under strictly controlled low-temperature conditions to prevent decomposition, followed by its addition to the calixarene solution containing the sodium acetate promoter. The reaction mixture is maintained at 0-5°C to ensure selectivity and safety, with the final product distribution determined by the stirring duration. Following the reaction, a straightforward workup involving acidification, filtration, and washing removes inorganic salts and unreacted starting materials. The final purification is achieved through silica gel column chromatography followed by recrystallization, yielding analytically pure crystals suitable for X-ray diffraction and application testing.
- Prepare the diazonium salt solution by reacting sodium nitrite with freshly distilled aniline in concentrated hydrochloric acid at 0-5°C.
- Dissolve calix[4]arene and sodium acetate in a mixed solvent of N,N'-dimethylformamide and methanol, maintaining the temperature at 0-5°C.
- Add the diazonium salt solution dropwise to the calixarene mixture and stir for a specific duration (2-7 hours) to control the degree of substitution.
Commercial Advantages for Procurement and Supply Chain Teams
For procurement managers and supply chain heads, the transition from the pyridine-based legacy method to this sodium acetate-promoted protocol represents a significant strategic advantage in terms of operational efficiency and regulatory compliance. The elimination of pyridine removes a major bottleneck in waste disposal and worker safety protocols, directly translating to reduced overhead costs associated with hazardous material handling and ventilation requirements. Furthermore, the use of commodity chemicals like sodium acetate and aniline ensures a stable and resilient supply chain, mitigating the risks associated with sourcing specialized or unstable reagents like tetrafluoroborate salts. The ability to tune product output via reaction time also enhances inventory flexibility, allowing a single production line to manufacture different SKUs (mono- vs. tetra-substituted) based on market demand without retooling.
- Cost Reduction in Manufacturing: The replacement of expensive and hazardous pyridine with inexpensive sodium acetate drastically lowers the raw material cost per kilogram of the final product. Additionally, the simplified workup procedure, which avoids complex amine recovery steps, reduces solvent consumption and energy usage during distillation. The high total yield reported (over 80% across all derivatives) minimizes material loss, further enhancing the economic viability of the process for commercial scale-up of complex supramolecular intermediates.
- Enhanced Supply Chain Reliability: By utilizing stable chloride salts and common organic solvents like DMF and methanol, the process reduces dependency on niche reagent suppliers who may face availability fluctuations. The robustness of the reaction conditions (0-5°C) is easily maintainable in standard industrial reactors equipped with glycol cooling systems, ensuring consistent batch-to-batch quality and reducing the lead time for high-purity phenylazo calix[4]arenes.
- Scalability and Environmental Compliance: The absence of toxic pyridine vapors significantly improves the environmental footprint of the manufacturing process, facilitating easier permitting and compliance with increasingly stringent global environmental regulations. The solid nature of the sodium acetate initiator simplifies dosing and automation in large-scale reactors, supporting seamless scale-up from pilot plant to multi-ton production capacities without compromising safety or product integrity.
Frequently Asked Questions (FAQ)
The following questions address common technical inquiries regarding the synthesis and application of these derivatives, based on the specific embodiments and data provided in the patent documentation. Understanding these nuances is essential for integrating this technology into existing R&D pipelines or procurement strategies. These insights underscore the practical viability of the method for industrial adoption.
Q: How does the new method improve upon the traditional Shinkai synthesis?
A: The traditional method utilizes pyridine, which is toxic and has a noxious odor, along with unstable azobenzene tetrafluoroborate. The patented method replaces pyridine with sodium acetate, significantly improving workplace safety and environmental compliance while using more stable chloride salts.
Q: Can the degree of azo substitution be controlled in this process?
A: Yes, the process allows for precise tuning of the product distribution (mono-, di-, tri-, or tetra-substituted) simply by adjusting the reaction time, ranging from 2 hours for lower substitution to over 6 hours for the fully substituted tetra-derivative.
Q: What are the primary applications of these phenylazo calixarene derivatives?
A: These derivatives function as highly effective host molecules for recognizing alkali and alkaline earth metal ions. Additionally, their distinct color changes in response to pH variations make them valuable candidates for developing novel acid-base indicators and optical sensors.
Partnering with NINGBO INNO PHARMCHEM: Your Reliable Phenylazo Calix[4]arene Supplier
At NINGBO INNO PHARMCHEM, we recognize the critical role that high-performance supramolecular intermediates play in the development of next-generation sensors and analytical reagents. Our team possesses extensive experience scaling diverse pathways from 100 kgs to 100 MT/annual commercial production, ensuring that the transition from laboratory discovery to industrial reality is seamless and efficient. We adhere to stringent purity specifications and operate rigorous QC labs to guarantee that every batch of phenylazo calix[4]arene derivative meets the exacting standards required for metal ion recognition and optical sensing applications. Our commitment to green chemistry aligns perfectly with the innovations described in CN101348445A, allowing us to offer a sustainable and cost-effective supply solution.
We invite global partners to collaborate with us to leverage this advanced synthetic technology for their specific project needs. Please contact our technical procurement team to request a Customized Cost-Saving Analysis tailored to your volume requirements. We are ready to provide specific COA data and route feasibility assessments to demonstrate how our manufacturing capabilities can support your supply chain goals and accelerate your time to market.
