Advanced Synthesis of 3-Hydroxymethylbenzo[b]thiophene Derivatives for Pharmaceutical Applications
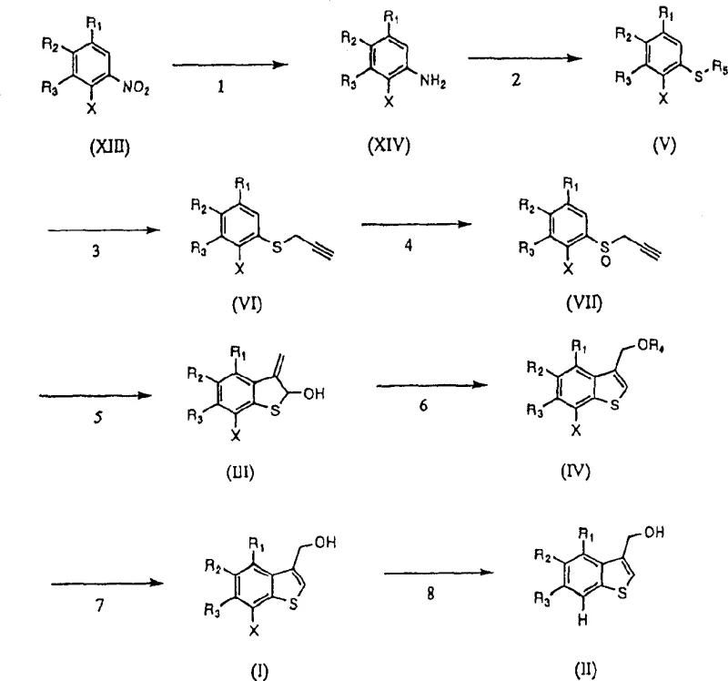
The pharmaceutical industry constantly demands high-purity intermediates with precise structural integrity, particularly for complex heterocyclic scaffolds like benzothiophenes. Patent CN1205204C introduces a groundbreaking methodology for the preparation of 3-hydroxymethylbenzo[b]thiophene derivatives, addressing long-standing challenges in regioselective synthesis. These compounds serve as critical building blocks for pharmacologically active agents, including benzimidazole derivatives used in various therapeutic areas. The core innovation lies in a multi-step sequence that avoids the formation of isomeric byproducts, a common pitfall in traditional electrophilic aromatic substitution methods. By leveraging a thermal transfer reaction of a specifically designed sulfoxide precursor, this technology ensures that the hydroxymethyl group is installed exclusively at the 3-position of the benzothiophene ring.
This level of precision is paramount for R&D directors seeking to minimize impurity profiles in early-stage drug development, as it eliminates the need for cumbersome chromatographic separations that often plague conventional routes.
The Limitations of Conventional Methods vs. The Novel Approach
The Limitations of Conventional Methods
Historically, the synthesis of 3-substituted benzothiophenes has relied heavily on classical reactions such as the Vilsmeier-Haack formylation or Friedel-Crafts acylation followed by reduction. However, these traditional approaches suffer from significant drawbacks regarding positional selectivity. When applied to substituted benzothiophene substrates, electrophilic reagents often attack multiple positions on the ring system, typically yielding mixtures of 2-substituted and 3-substituted isomers, or even polysubstituted products depending on the electronic nature of existing substituents. Separating these closely related isomers is notoriously difficult and costly, often requiring repeated recrystallizations or preparative HPLC, which drastically reduces the overall process efficiency. Furthermore, harsh reaction conditions involving strong acids or Lewis acids can lead to decomposition of sensitive functional groups, limiting the scope of substrates that can be utilized. For procurement managers, these inefficiencies translate into higher raw material costs and unpredictable supply timelines due to low yields and complex purification workflows.
The Novel Approach
In stark contrast, the methodology disclosed in CN1205204C circumvents these issues by constructing the benzothiophene ring through an intramolecular cyclization of a linear precursor. The process begins with readily available substituted nitrobenzenes or anilines, which are converted into benzenethiol derivatives and subsequently alkylated with a propargyl group. The key transformation involves the oxidation of the sulfide to a sulfoxide, followed by a thermal transfer reaction. This sigmatropic-like rearrangement drives the cyclization with inherent regiocontrol, ensuring that the ring closes to form the desired 3-hydroxymethyl architecture without generating positional isomers.
This strategic shift from late-stage functionalization to constructive cyclization represents a paradigm change in process chemistry, offering a robust pathway that is far more amenable to industrial optimization and cost reduction in pharmaceutical intermediates manufacturing.
Mechanistic Insights into Thermal Transfer Cyclization
The heart of this synthetic strategy is the thermal transfer reaction of the propargyl sulfoxide intermediate. Mechanistically, this transformation is believed to proceed via a [2,3]-sigmatropic rearrangement or a similar concerted pericyclic process, where the oxygen atom of the sulfoxide migrates while the carbon-sulfur bond reorganizes to close the five-membered thiophene ring. This intramolecular nature is what grants the reaction its exceptional selectivity; unlike intermolecular electrophilic substitutions that depend on the relative electron density of the aromatic ring, this cyclization is driven by the geometry and orbital alignment of the tethered propargyl chain. Consequently, the position of substituents on the benzene ring (R1, R2, R3) has minimal impact on the regiochemistry of the ring closure, allowing for a wide variety of substitution patterns to be tolerated. This mechanistic robustness is crucial for supply chain heads who require flexible manufacturing capabilities to produce diverse analogues without re-validating entirely new synthetic routes for each derivative.
Following the ring construction, the process employs a highly selective hydrogenation step to remove the halogen or other leaving group (X) at the 7-position, converting compound (I) to the final product (II). The patent specifies the use of specialized reducing agents such as sodium bis(2-methoxyethoxy)aluminum hydride or catalytic hydrogenation with palladium carbon in the presence of bases like triethylamine. These conditions are carefully tuned to reduce the carbon-halogen bond while leaving the benzylic hydroxymethyl group and the sensitive thiophene sulfur intact. This chemoselectivity prevents the over-reduction of the aromatic system or the cleavage of the C-O bond, which would lead to undesired methyl-benzothiophene byproducts. For quality control teams, this specificity ensures a cleaner crude product profile, significantly reducing the burden on downstream purification units and enhancing the overall purity specifications of the final API intermediate.
How to Synthesize 3-Hydroxymethylbenzo[b]thiophene Efficiently
The synthesis protocol outlined in the patent provides a clear roadmap for laboratory and pilot-scale production, emphasizing the importance of controlling reaction parameters such as temperature and stoichiometry during the oxidation and cyclization steps. The procedure starts with the reduction of a substituted nitrobenzene to the corresponding aniline, followed by diazotization and conversion to a xanthate, which is then alkylated with propargyl bromide. Oxidation of the resulting sulfide to the sulfoxide is performed using mild oxidants like Oxone or sodium metaperiodate to prevent over-oxidation to the sulfone, which would be inert to the subsequent cyclization. The thermal rearrangement is typically conducted in solvents like ethyl acetate or dioxane at reflux temperatures, where the solvent volume plays a critical role in suppressing side reactions. Detailed standardized synthesis steps see the guide below.
- Preparation of Sulfoxide Precursor: Convert substituted nitrobenzene to benzenethiol derivative, introduce propargyl group, and oxidize to sulfoxide.
- Thermal Cyclization: Subject the sulfoxide derivative to thermal transfer reaction to form the benzothiophene ring system with high regioselectivity.
- Functional Group Modification: Protect the hydroxymethyl group, selectively hydrogenate the halogen substituent, and deprotect to yield the final product.
Commercial Advantages for Procurement and Supply Chain Teams
From a commercial perspective, the adoption of this synthetic route offers substantial benefits for organizations looking to optimize their supply chains for heterocyclic intermediates. The reliance on commodity chemicals such as nitrotoluenes, propargyl bromide, and common oxidants means that the raw material base is broad and resilient against market fluctuations. This accessibility is a key factor in ensuring supply continuity, as it reduces dependence on exotic or single-source reagents that often create bottlenecks in global procurement networks. Furthermore, the high selectivity of the cyclization step means that the process generates significantly less waste compared to non-selective methods, aligning with modern environmental compliance standards and reducing the costs associated with waste disposal and solvent recovery.
- Cost Reduction in Manufacturing: The elimination of isomeric byproducts fundamentally changes the economics of production by removing the need for expensive and yield-loss-inducing separation processes. In traditional methods, a significant portion of the batch might be discarded as the wrong isomer, effectively doubling the cost of goods for the desired product. By achieving near-exclusive formation of the target regioisomer, this process maximizes atom economy and throughput. Additionally, the ability to perform the cyclization in one pot following oxidation without isolating unstable intermediates further streamlines operations, reducing labor hours and equipment occupancy time, which translates directly into lower manufacturing overheads.
- Enhanced Supply Chain Reliability: The modular nature of this synthesis allows for the easy adjustment of substituents on the benzene ring by simply changing the starting nitrobenzene or aniline. This flexibility is invaluable for supply chain managers who need to pivot quickly between different grades or analogues of the intermediate based on downstream demand. Since the core cyclization chemistry remains constant regardless of the R-groups, validation efforts are minimized, and inventory management becomes more predictable. The use of stable intermediates that can potentially be stocked adds another layer of security to the supply chain, buffering against unexpected disruptions in the availability of final starting materials.
- Scalability and Environmental Compliance: The reaction conditions described, such as the use of ethyl acetate and aqueous workups, are inherently safer and more scalable than processes requiring cryogenic temperatures or pyrophoric reagents. The thermal cyclization step, while requiring heat, does not demand extreme pressures, making it compatible with standard glass-lined steel reactors found in most multipurpose chemical plants. Moreover, the avoidance of heavy metal catalysts in the initial ring-forming steps (relying instead on organic oxidants) simplifies the removal of metal impurities, a critical requirement for pharmaceutical grade materials. This ease of purification supports a greener manufacturing profile, helping companies meet increasingly stringent regulatory guidelines regarding residual solvents and metals in drug substances.
Frequently Asked Questions (FAQ)
The following questions address common technical and commercial inquiries regarding the implementation of this technology, derived from the specific advantages and operational details found within the patent documentation. Understanding these nuances is essential for technical teams evaluating the feasibility of integrating this route into their existing manufacturing portfolios. The answers reflect the practical realities of scaling this chemistry from gram to kilogram quantities.
Q: What is the primary advantage of the sulfoxide cyclization method over Vilsmeier reactions?
A: The sulfoxide cyclization method described in CN1205204C offers superior regioselectivity, avoiding the formation of isomeric mixtures common in Vilsmeier or Friedel-Crafts reactions, which simplifies purification and increases overall yield.
Q: Can this process be scaled for commercial production of API intermediates?
A: Yes, the process utilizes commercially available starting materials like substituted nitrobenzenes and operates under relatively mild conditions, making it highly suitable for commercial scale-up of complex pharmaceutical intermediates.
Q: How is the halogen substituent selectively removed without affecting the hydroxymethyl group?
A: The patent describes using specific hydrogenating agents such as sodium bis(2-methoxyethoxy)aluminum hydride or catalytic hydrogenation with palladium carbon under controlled conditions to selectively replace the halogen with hydrogen.
Partnering with NINGBO INNO PHARMCHEM: Your Reliable 3-Hydroxymethylbenzo[b]thiophene Supplier
At NINGBO INNO PHARMCHEM, we recognize the critical role that high-quality intermediates play in the success of your drug development programs. Our technical team has extensively analyzed the pathway described in CN1205204C and possesses the expertise to execute this complex multi-step synthesis with precision. We bring extensive experience scaling diverse pathways from 100 kgs to 100 MT/annual commercial production, ensuring that your project can transition smoothly from clinical trials to market launch without supply interruptions. Our facility is equipped with rigorous QC labs capable of meeting stringent purity specifications, guaranteeing that every batch of 3-hydroxymethylbenzo[b]thiophene derivatives meets the exacting standards required for pharmaceutical applications.
We invite you to collaborate with us to leverage this advanced synthetic technology for your next project. Contact our technical procurement team today to request a Customized Cost-Saving Analysis tailored to your specific volume requirements. We are ready to provide specific COA data and route feasibility assessments to demonstrate how our optimized manufacturing processes can enhance your supply chain efficiency and reduce your overall cost of goods. Let us be your partner in delivering reliable, high-purity chemical solutions.
