Industrial Scale-Up of High-Performance Bismaleimide Intermediates for Advanced Aerospace and Electronic Applications
Industrial Scale-Up of High-Performance Bismaleimide Intermediates for Advanced Aerospace and Electronic Applications
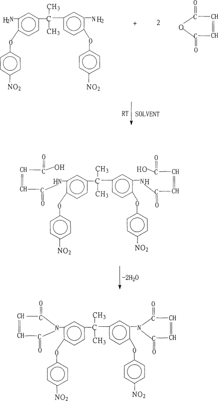
The development of high-performance thermosetting resins is a cornerstone of modern materials science, particularly for applications demanding exceptional thermal stability and mechanical strength. Patent CN101250151A introduces a robust and highly efficient preparation method for 2,2-bis[3-maleimido-4-(4-nitrophenoxy)phenyl]propane, a specialized bismaleimide compound that serves as a critical building block for next-generation composite materials. This patent addresses a significant gap in the prior art, where the synthesis of such complex, nitro-functionalized bismaleimides was previously undocumented or lacked scalable protocols. By leveraging a two-step synthetic route that prioritizes yield optimization and solvent recovery, this technology offers a compelling value proposition for manufacturers of aerospace composites, printed circuit boards (PCBs), and high-temperature adhesives. The strategic importance of this intermediate lies in its unique molecular architecture, which combines the rigidity of a bisphenol-A derivative with the reactivity of maleimide double bonds and the polarity of nitro groups, enabling superior cross-linking density in cured resin systems.
The Limitations of Conventional Methods vs. The Novel Approach
The Limitations of Conventional Methods
Historically, the synthesis of bismaleimide resins has been plagued by several persistent technical challenges that hinder large-scale commercial adoption. Traditional methods often rely on harsh reaction conditions, such as elevated temperatures and pressures, which necessitate expensive high-pressure reactor vessels and increase energy consumption significantly. Furthermore, conventional cyclodehydration steps frequently utilize stoichiometric amounts of dehydrating agents that are difficult to remove, leading to product contamination and requiring extensive purification workflows that drive up production costs. Many existing processes also suffer from poor atom economy, generating substantial quantities of acidic waste streams that complicate environmental compliance and wastewater treatment. In the context of producing nitro-substituted bismaleimides, the sensitivity of the nitro group to reduction or side reactions under aggressive conditions further limits the choice of reagents, often resulting in low yields and inconsistent impurity profiles that are unacceptable for high-reliability electronic applications.
The Novel Approach
The methodology disclosed in CN101250151A represents a paradigm shift towards greener and more economical manufacturing of these high-value intermediates. The novel approach utilizes a mild, two-stage process that begins with the formation of a stable amic acid intermediate at room temperature, effectively minimizing thermal stress on the sensitive nitro-functionalized diamine precursor. Crucially, the patent provides flexibility in the cyclization step, offering both azeotropic dehydration and chemical dehydration pathways. The azeotropic method employs common solvents like toluene or xylene to remove water efficiently while allowing for the recovery and recycling of the primary reaction solvent, thereby drastically reducing raw material costs. Alternatively, the chemical dehydration route operates at moderate temperatures between 50°C and 100°C using acetic anhydride and a tertiary amine catalyst, avoiding the need for high-boiling solvent removal. This dual-pathway strategy ensures that manufacturers can select the optimal process parameters based on their specific equipment capabilities and cost structures, facilitating a smoother transition from laboratory scale to industrial production.
Mechanistic Insights into Bismaleimide Cyclodehydration
The chemical transformation described in this patent involves a precise sequence of nucleophilic addition followed by intramolecular cyclodehydration. Initially, the primary amine groups of 2,2-bis[3-amino-4-(4-nitrophenoxy)phenyl]propane act as nucleophiles, attacking the carbonyl carbons of maleic anhydride. This exothermic reaction occurs readily in polar aprotic solvents such as N,N-dimethylacetamide (DMAc) or N-methyl-2-pyrrolidone (NMP) at room temperature, forming the corresponding bismaleamic acid intermediate. The stability of this intermediate is crucial, as it prevents premature polymerization or degradation of the nitro groups. The subsequent cyclization step is the rate-determining phase where the bismaleamic acid undergoes dehydration to form the five-membered imide rings. In the azeotropic pathway, the removal of water shifts the equilibrium towards the product according to Le Chatelier's principle, driving the reaction to completion over a period of 2 to 18 hours. In the chemical pathway, acetic anhydride acts as a potent dehydrating agent, activating the carboxylic acid moieties to facilitate ring closure in the presence of a tertiary amine base which scavenges the generated protons.
![Reaction scheme showing the two-step synthesis of 2,2-bis[3-maleimido-4-(4-nitrophenoxy)phenyl]propane from diamine and maleic anhydride](/insights/img/bismaleimide-synthesis-polymer-intermediate-supplier-20260307065618-01.webp)
Controlling the impurity profile during this cyclization is paramount for ensuring the performance of the final polymer. The patent specifies strict molar ratios, typically maintaining the diamine to maleic anhydride ratio between 1.0:2.0 and 1.0:2.2. This slight excess of maleic anhydride ensures complete conversion of the amine groups, preventing the presence of unreacted amines which could act as chain terminators or cause discoloration in the final resin. Furthermore, the choice of solvent plays a critical role in solubilizing the intermediate amic acid while allowing the final bismaleimide product to precipitate upon cooling, which serves as an inherent purification step. The washing protocols, utilizing cold solvents or acetone, are designed to remove residual maleic anhydride and acetic acid byproducts, resulting in a product with high purity suitable for sensitive electronic applications without the need for recrystallization.
How to Synthesize 2,2-Bis[3-Maleimido-4-(4-Nitrophenoxy)Phenyl]Propane Efficiently
To achieve the high yields reported in the patent data, ranging from 91.5% to 98.7%, precise control over reaction stoichiometry and temperature profiles is essential. The process begins by dissolving the diamine precursor in a polar aprotic solvent, followed by the controlled addition of maleic anhydride to manage the exotherm. Once the amic acid intermediate is formed, the system is transitioned to the cyclization phase either by adding an azeotropic agent and heating to reflux or by introducing the acetic anhydride-amine catalyst system. Detailed standard operating procedures regarding specific solvent volumes, stirring rates, and drying conditions are critical for reproducibility.
- React 2,2-bis[3-amino-4-(4-nitrophenoxy)phenyl]propane with maleic anhydride in a polar aprotic solvent at room temperature to form the amic acid intermediate.
- Perform cyclodehydration either via azeotropic distillation with toluene/xylene or chemically using acetic anhydride and a tertiary amine catalyst at 50-100°C.
- Isolate the final product through cooling, filtration, washing with cold solvent or acetone, and vacuum drying to achieve yields exceeding 90%.
Commercial Advantages for Procurement and Supply Chain Teams
For procurement managers and supply chain directors, the adoption of the synthesis route outlined in CN101250151A offers tangible benefits that extend beyond mere technical feasibility. The primary advantage lies in the significant cost reduction in electronic chemical manufacturing driven by the efficient recovery and recycling of expensive organic solvents. Unlike traditional processes where solvents are often discarded as waste, this method allows for the concentration and reuse of solvents like NMP and DMAc, which represent a major portion of the variable production costs. Additionally, the ability to operate at atmospheric pressure eliminates the capital expenditure associated with high-pressure reactors and the rigorous safety inspections they require, thereby lowering the barrier to entry for production facilities. The high yields achieved, consistently above 90%, directly translate to improved material efficiency, meaning less raw material is required per kilogram of finished product, further enhancing the overall cost competitiveness of the supply chain.
- Cost Reduction in Manufacturing: The elimination of high-pressure equipment requirements and the implementation of solvent recovery loops significantly lower both CAPEX and OPEX. By avoiding the use of exotic catalysts and relying on commodity chemicals like acetic anhydride and toluene, the process ensures a stable and predictable cost structure that is resilient to market fluctuations in specialty reagent pricing.
- Enhanced Supply Chain Reliability: The starting materials, specifically the nitro-functionalized diamine and maleic anhydride, are derived from established industrial supply chains, reducing the risk of raw material shortages. The robustness of the reaction conditions, which tolerate a range of temperatures and times without significant degradation of yield, provides operational flexibility that ensures consistent delivery schedules even during periods of high demand or utility constraints.
- Scalability and Environmental Compliance: The process is inherently scalable, having been demonstrated effectively from gram to multi-kilogram scales in the patent examples. The emphasis on solvent recycling and the absence of heavy metal catalysts simplify wastewater treatment and align with increasingly stringent global environmental regulations, reducing the risk of regulatory shutdowns and enhancing the sustainability profile of the final product for eco-conscious end-users.
Frequently Asked Questions (FAQ)
The following questions address common technical and commercial inquiries regarding the production and application of this bismaleimide intermediate. These insights are derived directly from the experimental data and claims presented in the patent documentation, providing a reliable foundation for decision-making.
Q: What are the primary advantages of the dehydration method described in CN101250151A?
A: The patent offers two distinct pathways: azeotropic dehydration which allows for solvent recovery and recycling, and chemical dehydration using acetic anhydride which operates at lower temperatures (50-100°C), both ensuring high purity and yield suitable for industrial scaling.
Q: Why is this specific bismaleimide intermediate critical for electronic materials?
A: The presence of the nitrophenoxy group and the rigid bisphenol-A-like backbone provides exceptional thermal stability and dielectric properties, making it ideal for high-temperature resistant epoxy modifiers and interlayer insulation in FPC and PCB manufacturing.
Q: How does this process address environmental compliance in chemical manufacturing?
A: The process emphasizes the recovery and循环利用 (recycling) of organic solvents like NMP and DMF, significantly reducing waste discharge. Additionally, the reaction proceeds at atmospheric pressure, eliminating the need for high-pressure equipment and enhancing operational safety.
Partnering with NINGBO INNO PHARMCHEM: Your Reliable 2,2-Bis[3-Maleimido-4-(4-Nitrophenoxy)Phenyl]Propane Supplier
At NINGBO INNO PHARMCHEM, we understand that the transition from patent concept to commercial reality requires a partner with deep technical expertise and robust manufacturing capabilities. Our team possesses extensive experience scaling diverse pathways from 100 kgs to 100 MT/annual commercial production, ensuring that the intricate balance of reaction parameters required for this bismaleimide synthesis is maintained at every scale. We are committed to delivering products that meet stringent purity specifications, supported by our rigorous QC labs equipped with advanced analytical instrumentation to verify impurity profiles and thermal properties. Whether you require this intermediate for aerospace-grade composites or high-frequency electronic substrates, our dedicated process engineers can optimize the synthesis route to match your specific quality and volume requirements.
We invite you to collaborate with us to unlock the full potential of this high-performance material in your product portfolio. Please contact our technical procurement team to request a Customized Cost-Saving Analysis tailored to your current supply chain needs. We are ready to provide specific COA data and comprehensive route feasibility assessments to demonstrate how our manufacturing excellence can drive value and innovation in your operations.
