Advanced Synthesis of 2,2-Bis[3-(4-Chlorophthalimido)-4-Hydroxyphenyl]Propane for Industrial Polyimide Applications
The chemical landscape for high-performance polymer additives is constantly evolving, driven by the need for materials that offer superior thermal stability and mechanical strength. Patent CN101230032A introduces a groundbreaking preparation method for 2,2-bis[3-(4-chlorophthalimido)-4-hydroxyphenyl]propane, a critical intermediate used in the synthesis of polyimide resins and as a heat-resistant modifier for epoxy systems. This technology represents a significant leap forward in fine chemical manufacturing, addressing long-standing challenges related to yield optimization and environmental compliance. By leveraging a novel azeotropic dehydration strategy, this process ensures that manufacturers can achieve exceptional purity levels while maintaining operational simplicity. For R&D directors and procurement specialists seeking a reliable polymer synthesis additives supplier, understanding the nuances of this patented route is essential for securing a competitive edge in the production of advanced engineering plastics.
The Limitations of Conventional Methods vs. The Novel Approach
The Limitations of Conventional Methods
Historically, the synthesis of complex bis-imide structures has been plagued by inefficient reaction kinetics and difficult purification protocols. Traditional imidization processes often require harsh conditions, such as extremely high temperatures or the use of corrosive catalysts, which can degrade sensitive functional groups like phenolic hydroxyls. Furthermore, conventional methods frequently struggle with incomplete cyclization, leading to a mixture of amic acid intermediates and the desired imide product, thereby complicating downstream isolation. The removal of water, a byproduct of imide formation, is often thermodynamically unfavorable without specialized equipment, resulting in lower overall yields and increased waste generation. These inefficiencies not only drive up the cost of goods sold but also pose significant safety risks due to the handling of aggressive reagents and the generation of hazardous waste streams that require costly disposal.
The Novel Approach
In stark contrast, the methodology outlined in CN101230032A employs a sophisticated yet operationally simple two-stage solvent system that elegantly overcomes these thermodynamic barriers. The process initiates at room temperature in a strong polar aprotic solvent, ensuring complete dissolution of the diamine and anhydride reactants to form a homogeneous solution before any thermal stress is applied. Subsequently, the introduction of an azeotropic dehydrating agent allows for the continuous removal of water at moderate reflux temperatures ranging from 85°C to 180°C. This strategic shift drives the equilibrium decisively towards the formation of the imide ring without necessitating extreme conditions.
This approach not only maximizes conversion rates, achieving yields upwards of 90%, but also preserves the integrity of the molecular structure, resulting in a product with purity levels consistently exceeding 98%. The ability to recycle solvents further enhances the economic viability of this route, making it an ideal candidate for cost reduction in polymer additive manufacturing.
Mechanistic Insights into Azeotropic Dehydration Imidization
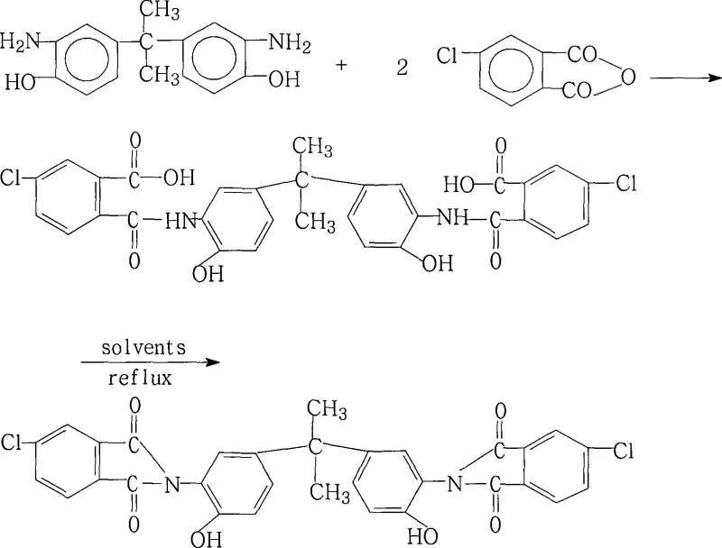
The core of this synthetic breakthrough lies in the precise manipulation of reaction equilibria through azeotropic distillation. Mechanistically, the reaction begins with a nucleophilic attack by the amino group of 2,2-bis(3-amino-4-hydroxyphenyl)propane on the carbonyl carbon of 4-chlorophthalic anhydride. This initial step forms an amic acid intermediate, which is reversible and typically stable in polar media. However, the addition of a hydrophobic azeotropic agent, such as xylene or toluene, creates a biphasic or pseudo-biphasic environment upon heating. As the mixture refluxes, water generated during the cyclization of the amic acid to the imide is co-distilled with the azeotropic agent. This continuous physical removal of water prevents the reverse hydrolysis reaction, effectively locking the product in its cyclic imide form. The choice of solvent ratio is critical; the patent specifies a volume ratio of polar solvent to dehydrating agent between 1.0:0.1 and 1.0:10, allowing fine-tuning of the reaction rate and temperature profile to suit specific reactor configurations.
From an impurity control perspective, this mechanism offers distinct advantages over single-solvent systems. The initial room temperature dissolution phase minimizes the formation of oligomeric byproducts that often arise from rapid, uncontrolled exotherms. Furthermore, the use of polar aprotic solvents like N-methyl-2-pyrrolidone (NMP) or N,N-dimethylacetamide (DMAc) ensures that the reactants remain in solution until the imidization is nearly complete, preventing premature precipitation of intermediates which could trap impurities. The final workup involves simply adding water to the cooled reaction mass, causing the highly pure product to precipitate while soluble impurities and residual solvents remain in the aqueous-organic phase. This crystallization-like precipitation acts as a primary purification step, significantly reducing the burden on subsequent washing and drying operations and ensuring a clean impurity profile suitable for high-end electronic or aerospace applications.
How to Synthesize 2,2-Bis[3-(4-Chlorophthalimido)-4-Hydroxyphenyl]Propane Efficiently
Executing this synthesis requires careful attention to stoichiometry and solvent management to replicate the high yields reported in the patent literature. The process is designed to be scalable, moving seamlessly from laboratory glassware to industrial stainless steel reactors without significant modification. Operators must first ensure that the molar ratio of the diamine to the anhydride is maintained between 1.0:2.0 and 1.0:2.2 to guarantee complete consumption of the amine functionality. The detailed standardized synthesis steps below outline the precise sequence of addition, heating, and workup required to achieve optimal results. Adhering to these parameters is crucial for maintaining the structural integrity of the final bis-imide and ensuring batch-to-batch consistency.
- Dissolve 2,2-bis(3-amino-4-hydroxyphenyl)propane and 4-chlorophthalic anhydride in a polar aprotic solvent like NMP or DMF at room temperature.
- Add an azeotropic dehydrating agent such as xylene or toluene and heat the mixture to reflux between 85°C and 180°C for 2 to 12 hours.
- Recover solvents, cool the reaction, precipitate the product with water, and purify via filtration and vacuum drying.
Commercial Advantages for Procurement and Supply Chain Teams
For procurement managers and supply chain heads, the adoption of this patented synthesis route offers transformative benefits that extend far beyond simple chemical yield. The process is engineered for industrial robustness, eliminating the need for exotic catalysts or high-pressure equipment that often bottleneck production schedules. By operating at atmospheric pressure and utilizing common organic solvents that can be recovered and reused, the method drastically simplifies the capital expenditure requirements for new production lines. This simplicity translates directly into enhanced supply chain reliability, as the risk of equipment failure or unplanned downtime due to corrosive process conditions is significantly mitigated. Furthermore, the high purity of the crude product reduces the need for extensive recrystallization or chromatographic purification, shortening the overall cycle time from raw material intake to finished goods shipment.
- Cost Reduction in Manufacturing: The economic model of this process is heavily favored by its solvent recovery capabilities. Since the polar aprotic solvents and azeotropic agents constitute a major portion of the input costs, the ability to distill and recycle them repeatedly leads to substantial cost savings over the lifecycle of the product. Additionally, the elimination of expensive transition metal catalysts removes the need for costly heavy metal scavenging steps, further lowering the variable cost per kilogram. The high atom economy of the reaction, combined with minimal waste generation, ensures that the cost reduction in polymer additive manufacturing is both significant and sustainable, providing a buffer against fluctuating raw material prices.
- Enhanced Supply Chain Reliability: Supply continuity is paramount for downstream resin manufacturers, and this method supports that need through its reliance on widely available commodity chemicals. Unlike processes dependent on specialized reagents with long lead times, the inputs for this synthesis—such as 4-chlorophthalic anhydride and standard solvents—are sourced from a mature global market. The operational simplicity also means that production can be easily ramped up or scaled down in response to market demand without complex requalification of the process. This flexibility reduces lead time for high-purity polymer intermediates, allowing suppliers to respond agilely to urgent orders and maintain healthy inventory levels without the risk of product degradation during storage.
- Scalability and Environmental Compliance: As regulatory pressures regarding industrial emissions intensify, the environmental profile of a chemical process becomes a key differentiator. This synthesis generates minimal three-waste (wastewater, waste gas, solid waste) due to the closed-loop solvent recovery system and the absence of corrosive byproducts. The lack of acidic or basic effluents simplifies wastewater treatment protocols, ensuring compliance with stringent environmental standards. Moreover, the scalability of the reaction is proven by its ability to proceed efficiently in large vessels without heat transfer limitations, facilitating the commercial scale-up of complex polymer additives from pilot batches to multi-ton annual production capacities with consistent quality.
Frequently Asked Questions (FAQ)
The following questions address common technical and commercial inquiries regarding the production and application of this specialized bis-imide intermediate. These insights are derived directly from the experimental data and claims within the patent documentation, providing a transparent view of the technology's capabilities. Understanding these details helps stakeholders make informed decisions about integrating this material into their supply chains and product formulations.
Q: What solvents are optimal for this imidization reaction?
A: The patent specifies strong polar aprotic solvents such as N,N-dimethylformamide (DMF), N,N-dimethylacetamide (DMAc), N-methyl-2-pyrrolidone (NMP), or dimethyl sulfoxide (DMSO) to ensure homogeneity before dehydration.
Q: How is water removed during the synthesis process?
A: Water is removed via azeotropic distillation using agents like benzene, toluene, xylene, or chlorobenzene, which drives the equilibrium towards the imide product.
Q: What purity levels can be achieved with this method?
A: Experimental data indicates that this method consistently yields products with purity exceeding 98%, often reaching up to 99.3% after simple washing and drying.
Partnering with NINGBO INNO PHARMCHEM: Your Reliable 2,2-Bis[3-(4-Chlorophthalimido)-4-Hydroxyphenyl]Propane Supplier
At NINGBO INNO PHARMCHEM, we recognize that the successful commercialization of advanced polymers depends on the availability of high-quality intermediates produced via robust and scalable pathways. Our team possesses extensive experience scaling diverse pathways from 100 kgs to 100 MT/annual commercial production, ensuring that we can meet the volumetric demands of global resin manufacturers. We are committed to delivering materials that meet stringent purity specifications, supported by our rigorous QC labs which utilize state-of-the-art analytical instrumentation to verify every batch. By adopting the efficient synthesis methods described in patents like CN101230032A, we ensure that our supply of 2,2-bis[3-(4-chlorophthalimido)-4-hydroxyphenyl]propane is not only consistent but also competitively priced.
We invite potential partners to engage with our technical procurement team to discuss how our manufacturing capabilities align with your specific project requirements. Whether you are developing next-generation polyimide films or high-performance epoxy curing agents, we can provide a Customized Cost-Saving Analysis tailored to your volume needs. Please contact us today to request specific COA data and route feasibility assessments, and let us demonstrate how our commitment to technical excellence can drive value for your organization.
