Scalable Synthesis of 2,6-Bis[4-(4-Carboxyphthalimido)phenoxy]benzonitrile for High-Performance Polyimide Resins
The development of high-performance thermosetting resins, particularly polyamide-imides and polyester-imides, relies heavily on the availability of specialized monomers with precise structural integrity. Patent CN101121689A introduces a robust and industrially viable preparation method for 2,6-bis[4-(4-carboxyphthalimido)phenoxy]benzonitrile, a critical building block for next-generation heat-resistant materials. This specific aromatic compound serves as a vital intermediate for synthesizing advanced polymer matrices that demand exceptional thermal stability and mechanical strength. The patented process distinguishes itself by utilizing a solution imidization technique coupled with azeotropic dehydration, which effectively overcomes the solubility and reactivity challenges often associated with bulky bis-anhydride and bis-amine systems. By operating under atmospheric pressure and employing recoverable solvents, this methodology not only ensures high chemical conversion but also aligns with modern green chemistry principles, making it an attractive option for large-scale manufacturing.
For R&D directors and process engineers, the significance of this patent lies in its ability to produce a monomer with a complex ether-nitrile-imide backbone without compromising purity. The presence of the nitrile group and the ether linkages provides a unique balance of rigidity and flexibility to the final polymer, while the carboxyl groups on the phthalimide rings offer sites for further crosslinking or chain extension. The synthesis described in CN101121689A avoids the use of hazardous catalysts or extreme conditions that could lead to side reactions or structural defects. Instead, it leverages the nucleophilic properties of the diamine and the electrophilic nature of the anhydride in a controlled solvent environment. This level of control is paramount for applications in aerospace composites, electronic encapsulation, and high-temperature coatings where material consistency is non-negotiable.
![Reaction scheme showing the two-step synthesis of 2,6-bis[4-(4-carboxyphthalimido)phenoxy]benzonitrile from 26B4APBN and TMA via amic acid intermediate](/insights/img/2-6-bis-carboxyphthalimido-phenoxy-benzonitrile-synthesis-supplier-20260307130754-01.webp)
The Limitations of Conventional Methods vs. The Novel Approach
The Limitations of Conventional Methods
Traditionally, the synthesis of bis-imide monomers containing carboxylic acid functionalities has been fraught with significant technical hurdles that impede commercial scalability. Conventional solid-state thermal imidization often requires excessively high temperatures, typically exceeding 200°C, to drive off water and close the imide ring. Such harsh thermal conditions can induce unwanted side reactions, including the decarboxylation of sensitive acid groups or the degradation of the ether linkages, leading to discoloration and reduced molecular weight in the final polymer. Furthermore, many traditional methods rely on stoichiometric amounts of chemical dehydrating agents like acetic anhydride and tertiary amines, which introduce difficult-to-remove impurities and generate substantial acidic waste streams. The removal of these residual chemicals often necessitates complex purification steps, such as repeated recrystallization or column chromatography, which drastically lower the overall yield and increase the cost of goods sold. Additionally, the poor solubility of intermediate amic acids in common organic solvents often leads to heterogeneous reaction mixtures, resulting in incomplete conversion and broad molecular weight distributions in the subsequent polymerization.
The Novel Approach
The method disclosed in patent CN101121689A represents a paradigm shift by employing a solution-phase imidization strategy facilitated by azeotropic dehydration. This approach allows the reaction to proceed at much milder temperatures, specifically through refluxing with a dehydrating agent like xylene or toluene, which continuously removes the water byproduct as an azeotrope. This continuous removal of water drives the equilibrium towards the formation of the imide ring without subjecting the sensitive nitrile and carboxyl functionalities to thermal stress. The use of strong polar aprotic solvents such as N-methyl-2-pyrrolidone (NMP) or N,N-dimethylacetamide (DMAc) ensures that both the reactants and the intermediate amic acid remain in a homogeneous solution throughout the process. This homogeneity is crucial for achieving uniform reaction kinetics and preventing the precipitation of oligomers that could act as defects in the final material. Moreover, the process operates at atmospheric pressure, eliminating the need for expensive high-pressure autoclaves and enhancing operational safety. The ability to recover and reuse the solvent system further underscores the economic and environmental superiority of this novel approach over legacy techniques.
Mechanistic Insights into Solution Imidization with Azeotropic Dehydration
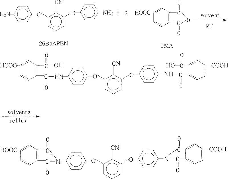
The chemical transformation described in this patent follows a classic two-step mechanism inherent to imide formation, yet optimized for high efficiency and purity. Initially, the nucleophilic amino groups of 2,6-bis(4-aminophenoxy)benzonitrile (26B4APBN) attack the electrophilic carbonyl carbons of the trimellitic anhydride (TMA) rings. This ring-opening reaction occurs rapidly at room temperature in the polar aprotic solvent, forming the corresponding poly(amic acid) intermediate. This step is exothermic and must be controlled to prevent localized overheating, although the high heat capacity of solvents like NMP helps mitigate this risk. The resulting amic acid contains both amide and carboxylic acid groups on adjacent carbons, setting the stage for cyclization. Unlike thermal imidization which relies solely on heat energy to overcome the activation barrier for water elimination, this patented process introduces an azeotropic agent. Upon heating to reflux, the azeotropic agent forms a low-boiling mixture with the water generated during cyclization. As this vapor condenses and separates, the water is physically removed from the reaction zone, shifting the chemical equilibrium decisively towards the closed imide ring structure according to Le Chatelier's principle.
From an impurity control perspective, this mechanism offers distinct advantages for maintaining the integrity of the final product. The mild conditions prevent the hydrolysis of the nitrile group, which is susceptible to conversion into amides or carboxylic acids under strongly acidic or basic conditions often found in other synthetic routes. Furthermore, the use of a molar ratio of TMA slightly in excess (1.00:2.00 to 2.22) ensures that the diamine is fully consumed, minimizing the presence of unreacted amine end-groups that could act as instability points in the final polymer matrix. The subsequent workup involves cooling the reaction mixture and adding water, which acts as a non-solvent to precipitate the product. Since the imide product is insoluble in water while the residual solvents and salts are soluble, this step serves as a highly effective purification stage. The washing with cold solvent further removes any adsorbed oligomers or unreacted anhydride, resulting in a product with purity levels consistently above 99%, as evidenced by the patent's experimental data. This high level of purity is essential for ensuring that the downstream polymerization yields resins with predictable viscosity and curing profiles.
How to Synthesize 2,6-Bis[4-(4-Carboxyphthalimido)phenoxy]benzonitrile Efficiently
The synthesis protocol outlined in the patent provides a clear roadmap for transitioning from laboratory benchtop to pilot plant production. The process begins with the careful dissolution of the diamine and anhydride in a polar solvent, followed by the addition of the azeotropic agent and a controlled reflux period. The flexibility in reaction time, ranging from 2 to 18 hours depending on the specific solvent combination and temperature, allows process engineers to optimize throughput based on their specific equipment constraints. Detailed standardized synthesis steps are provided below to ensure reproducibility and safety during scale-up operations.
- Dissolve 2,6-bis(4-aminophenoxy)benzonitrile (26B4APBN) and trimellitic anhydride (TMA) in a polar aprotic solvent like NMP at room temperature to form a homogeneous amic acid solution.
- Add an azeotropic dehydrating agent such as xylene or toluene and heat the mixture to reflux to drive the cyclodehydration reaction for 2 to 18 hours.
- Recover solvents, cool the reaction mixture, precipitate the product with water, and purify via filtration and washing to obtain the final high-purity monomer.
Commercial Advantages for Procurement and Supply Chain Teams
For procurement managers and supply chain leaders, the adoption of the synthesis method described in CN101121689A offers tangible strategic benefits that extend beyond mere technical feasibility. The primary advantage lies in the significant reduction of raw material costs driven by the efficient recovery and recycling of solvents. In traditional batch processes, solvents often constitute a major portion of the variable cost, but this method allows for the distillation and reuse of both the high-boiling polar solvent and the azeotropic agent. This closed-loop solvent management not only lowers the direct cost of manufacturing but also simplifies waste disposal logistics, reducing the environmental compliance burden. Furthermore, the reaction proceeds under atmospheric pressure, which means it can be conducted in standard glass-lined or stainless steel reactors without the need for specialized high-pressure vessels. This compatibility with existing infrastructure reduces capital expenditure requirements for new production lines and minimizes the downtime associated with equipment retrofitting.
- Cost Reduction in Manufacturing: The elimination of expensive chemical dehydrating agents and the ability to recycle solvents drastically reduce the variable costs associated with production. By avoiding the use of stoichiometric reagents that become waste, the process mass intensity is improved, leading to substantial cost savings per kilogram of finished product. Additionally, the high yield reported in the patent examples minimizes the loss of valuable starting materials, ensuring that the maximum amount of input is converted into saleable output. The simplicity of the workup procedure, involving simple precipitation and filtration rather than complex chromatographic separations, further reduces labor and utility costs, making the overall manufacturing process highly economical.
- Enhanced Supply Chain Reliability: The starting materials, 26B4APBN and trimellitic anhydride, are commercially available commodity chemicals with stable supply chains, reducing the risk of raw material shortages. The robustness of the reaction conditions, which tolerate slight variations in temperature and time without significant loss of quality, ensures consistent batch-to-batch production. This reliability is critical for maintaining uninterrupted supply to downstream polymer manufacturers who operate on tight just-in-time schedules. The ability to scale the reaction from small batches to multi-ton production without changing the fundamental chemistry provides supply chain heads with the confidence to commit to long-term contracts, knowing that capacity can be ramped up quickly to meet surging market demand.
- Scalability and Environmental Compliance: The process generates minimal hazardous waste, primarily consisting of aqueous filtrates that can be treated using standard wastewater management protocols. The absence of heavy metal catalysts or corrosive reagents simplifies the handling and storage requirements, enhancing workplace safety and reducing insurance premiums. The high purity of the final product reduces the need for energy-intensive purification steps, lowering the carbon footprint of the manufacturing facility. This alignment with green chemistry principles not only meets current regulatory standards but also future-proofs the supply chain against increasingly stringent environmental regulations, ensuring long-term operational continuity.
Frequently Asked Questions (FAQ)
The following questions address common technical and commercial inquiries regarding the production and application of this specialized monomer. These answers are derived directly from the experimental data and claims presented in the patent documentation, providing a reliable basis for decision-making.
Q: What are the key advantages of the azeotropic dehydration method for this monomer?
A: The azeotropic dehydration method allows for imidization to occur in solution at moderate temperatures, avoiding the high thermal stress of solid-state imidization which can degrade sensitive functional groups. This results in higher purity and better color stability for the final polyimide resin.
Q: Can the solvents used in this process be recycled?
A: Yes, the patent explicitly describes a process where both the polar aprotic solvent (e.g., NMP) and the azeotropic agent (e.g., xylene) are recovered and reused. This significantly reduces raw material costs and environmental waste.
Q: What is the typical purity achievable with this synthesis route?
A: Experimental data from the patent indicates that this method consistently yields products with purity exceeding 99%, which is critical for ensuring the mechanical and thermal performance of the resulting high-performance polymers.
Partnering with NINGBO INNO PHARMCHEM: Your Reliable 2,6-Bis[4-(4-Carboxyphthalimido)phenoxy]benzonitrile Supplier
At NINGBO INNO PHARMCHEM, we understand that the performance of your final high-performance polymer is only as good as the purity of its monomeric building blocks. Our team of expert chemists has extensively analyzed the pathway described in CN101121689A and possesses the extensive experience scaling diverse pathways from 100 kgs to 100 MT/annual commercial production required to bring this sophisticated molecule to the global market. We are committed to delivering this critical intermediate with stringent purity specifications, ensuring that every batch meets the rigorous demands of the aerospace and electronics industries. Our state-of-the-art rigorous QC labs employ advanced analytical techniques to verify the structural integrity and impurity profile of every shipment, guaranteeing consistency that you can trust for your most demanding applications.
We invite you to collaborate with us to optimize your supply chain for high-performance resin manufacturing. By leveraging our technical expertise, we can provide a Customized Cost-Saving Analysis tailored to your specific volume requirements and logistical needs. We encourage potential partners to contact our technical procurement team to request specific COA data and route feasibility assessments. Whether you require custom synthesis modifications or bulk supply agreements, NINGBO INNO PHARMCHEM is positioned to be your strategic partner in driving innovation through superior chemical intermediates.
