Advanced Glycosylation Technology for High-Purity Water-Soluble Artemisinin Derivatives
Introduction to Next-Generation Artemisinin Modification
The global pharmaceutical landscape continuously demands improvements in the bioavailability and safety profiles of established therapeutic agents, particularly in the realm of antimalarial treatments where artemisinin remains the gold standard. Patent CN101293889B introduces a groundbreaking approach to overcoming the inherent limitations of artemisinin, specifically its poor water solubility and thermal instability, through a novel glycosylation strategy. This technology focuses on the synthesis of water-soluble artemisinin derivatives, such as D-mannose-artemisinin, by chemically linking the sesquiterpene lactone core with sugar moieties. By leveraging the natural hydrophilicity of carbohydrates, this method creates a new class of compounds that maintain the critical peroxide bridge responsible for biological activity while drastically enhancing dissolution characteristics. For research and development teams seeking to optimize drug delivery systems, this patent provides a robust framework for creating next-generation pharmaceutical intermediates that address the chronic issues of recurrence rates and low oral bioavailability associated with traditional artemisinin therapies.
The Limitations of Conventional Methods vs. The Novel Approach
The Limitations of Conventional Methods
Traditional strategies for improving the solubility of artemisinin have largely relied on esterification or the creation of simple small-molecule substitutes, which often introduce significant stability challenges during storage and administration. For instance, clinically used derivatives like artesunate are chemically unstable in aqueous environments and must be dissolved in sodium bicarbonate immediately prior to use, creating logistical hurdles for emergency medical applications and complicating large-scale formulation processes. Furthermore, many existing derivatives suffer from high recrudescence rates and short half-lives, necessitating frequent dosing regimens that can impact patient compliance. The chemical modification of the 12-position carbon atom has been explored extensively, yet many resulting compounds fail to balance the trade-off between increased solubility and the preservation of the delicate 1,2,4-trioxane structural unit. Consequently, there is a persistent industry need for a modification technique that enhances physicochemical properties without introducing toxicological risks or requiring complex, multi-step deprotection sequences that drive up manufacturing costs.
The Novel Approach
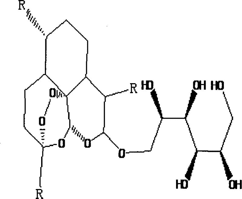
The innovative methodology outlined in the patent circumvents these historical bottlenecks by employing a glycosylation reaction that attaches a D-mannose group directly to the dihydroartemisinin core via an ether linkage. This approach is distinct because it utilizes the intrinsic pharmacological benefits of sugars, which are known for their low toxicity and ability to interact with cell surface receptors, potentially offering targeted delivery mechanisms that simple esters cannot achieve. The synthesis pathway is designed to be operationally simple, utilizing mild reaction conditions that protect the thermally sensitive peroxide bridge from decomposition. Crucially, the process incorporates an acetyl protection strategy for the sugar component that allows for hydrolysis under gentle conditions, effectively eliminating the need for aggressive deprotection steps that often degrade sensitive pharmaceutical intermediates. This results in a final product with demonstrated high water solubility across a range of pH levels, particularly in alkaline environments, making it an ideal candidate for developing stable, high-efficacy injectable or oral formulations.
Mechanistic Insights into Glycosylation and Phase Transfer Catalysis
The core of this synthetic breakthrough lies in the precise control of regioselectivity and stereoselectivity during the coupling of the sugar and the artemisinin scaffold. The process begins with the reduction of artemisinin to dihydroartemisinin using sodium borohydride, which converts the lactone carbonyl into a hemiacetal, providing the necessary hydroxyl group for subsequent etherification. Simultaneously, the D-mannose sugar undergoes a protection sequence where hydroxyl groups are acetylated using acetic anhydride and iodine, followed by bromination to create a reactive peracetylpyranobromomannose intermediate. This activated sugar donor is then reacted with the dihydroartemisinin acceptor in a biphasic water-organic system. The selection of the phase transfer catalyst is critical; the patent identifies tetrabutylammonium hydrogensulfate as the optimal catalyst, facilitating the transport of reactive species across the phase boundary to ensure high conversion rates without damaging the sensitive endoperoxide bridge.

Following the coupling reaction, the acetyl protecting groups on the sugar moiety are removed through hydrolysis, a step that is remarkably efficient in this specific system as it does not require additional harsh reagents or extreme temperatures. This mechanistic elegance ensures that the final D-mannose-artemisinin product retains the seven chiral centers and the vital peroxide bond intact, which is essential for maintaining antimalarial potency. Structural characterization via NMR and mass spectrometry confirms the successful formation of the glycosidic bond, with spectral data aligning perfectly with the theoretical molecular weight of 446.51. The presence of multiple hydroxyl groups on the attached sugar ring imparts strong hydrophilic characteristics to the entire molecule, explaining the observed solubility improvements. This detailed understanding of the reaction mechanism allows process chemists to replicate the synthesis with high fidelity, ensuring that the impurity profile remains controlled and that the biological activity is preserved throughout the manufacturing scale-up.
How to Synthesize D-Mannose-Artemisinin Efficiently
The synthesis of this high-value pharmaceutical intermediate follows a logical three-stage progression that balances yield optimization with operational safety. The initial stage involves the preparation of the artemisinin precursor, followed by the activation of the sugar component, and concludes with the catalytic coupling and purification. Each step is designed to minimize waste and maximize the stability of the intermediates, reflecting the patent's emphasis on practical industrial application. For technical teams looking to implement this route, strict adherence to the specified molar ratios and temperature controls is essential to prevent the degradation of the peroxide functionality. The detailed standardized synthesis steps for this process are provided in the guide below, offering a clear roadmap for laboratory and pilot-scale production.
- Reduction of artemisinin to dihydroartemisinin using sodium borohydride in anhydrous methanol.
- Preparation of peracetylpyranobromomannose via acetyl protection and bromination of D-mannose.
- Etherification of dihydroartemisinin with the protected sugar using tetrabutylammonium hydrogensulfate as a phase transfer catalyst.
Commercial Advantages for Procurement and Supply Chain Teams
From a procurement and supply chain perspective, the adoption of this glycosylation technology offers substantial strategic benefits that extend beyond mere technical performance. The elimination of complex deprotection steps translates directly into a simplified manufacturing workflow, reducing the number of unit operations required and thereby lowering the overall consumption of solvents and reagents. This streamlining of the process inherently reduces the potential for batch-to-batch variability and minimizes the generation of hazardous waste, aligning with increasingly stringent environmental regulations in the fine chemical sector. Furthermore, the reliance on readily available starting materials such as D-mannose and standard artemisinin ensures a robust and resilient supply chain, mitigating the risks associated with sourcing exotic or highly specialized precursors. These factors collectively contribute to a more cost-effective production model that enhances the commercial viability of water-soluble artemisinin derivatives in the competitive global market.
- Cost Reduction in Manufacturing: The process design significantly lowers production costs by removing the need for additional deprotection reagents and the associated purification stages that typically follow harsh chemical treatments. By utilizing acetyl protection that hydrolyzes under mild conditions, the method avoids the expense of specialized catalysts or extreme reaction environments, leading to reduced energy consumption and lower equipment maintenance requirements. This efficiency gain allows manufacturers to achieve a more favorable cost structure per kilogram of active pharmaceutical ingredient, providing a competitive edge in pricing negotiations with downstream formulators.
- Enhanced Supply Chain Reliability: The synthesis relies on commodity chemicals like D-mannose and acetic anhydride, which are widely produced and available from multiple global suppliers, ensuring continuity of supply even during market fluctuations. The mild reaction conditions also reduce the stress on production equipment, extending asset life and minimizing unplanned downtime due to corrosion or thermal damage. This reliability is crucial for maintaining consistent delivery schedules to pharmaceutical clients who depend on just-in-time inventory models for their drug development pipelines.
- Scalability and Environmental Compliance: The use of a biphasic system with a highly effective phase transfer catalyst facilitates easy scale-up from laboratory benchtops to industrial reactors without significant loss in yield or selectivity. The simplified workup procedure, involving standard extraction and recrystallization techniques, generates less hazardous waste compared to traditional methods that might require heavy metal catalysts or toxic solvents. This environmental compatibility simplifies regulatory approval processes and reduces the long-term liability associated with waste disposal, making it a sustainable choice for large-scale commercial manufacturing.
Frequently Asked Questions (FAQ)
The following questions address common technical and commercial inquiries regarding the production and application of these water-soluble derivatives. The answers are derived directly from the experimental data and structural analysis presented in the patent documentation, ensuring accuracy and relevance for industry professionals. Understanding these details is vital for assessing the feasibility of integrating this technology into existing production lines or new drug development projects.
Q: Why is glycosylation preferred over esterification for artemisinin solubility?
A: Unlike ester derivatives such as artesunate which require conversion to sodium salts and are unstable in aqueous solutions, glycosylated artemisinin derivatives form stable ether linkages. This structural modification significantly enhances water solubility without compromising the critical peroxide bridge required for antimalarial activity, allowing for more flexible formulation options.
Q: Does the glycosylation process affect the biological activity of artemisinin?
A: Preliminary cell experiments indicated that the D-mannose-artemisinin derivative exhibits low toxicity to normal cells, comparable to the parent artemisinin compound. The modification retains the 1,2,4-trioxane structural unit, ensuring that the pharmacological mechanism remains intact while potentially improving bioavailability through enhanced solubility and targeted delivery via sugar receptors.
Q: What are the key advantages of the acetyl protection method described in the patent?
A: The patented method utilizes acetyl groups for sugar protection, which offers a significant processing advantage: the protective groups can be hydrolyzed under mild conditions without requiring harsh or additional deprotection steps. This simplifies the purification workflow, reduces the consumption of reagents, and minimizes the risk of decomposing the thermally sensitive peroxide bridge during synthesis.
Partnering with NINGBO INNO PHARMCHEM: Your Reliable D-Mannose-Artemisinin Supplier
As a leader in the fine chemical industry, NINGBO INNO PHARMCHEM is uniquely positioned to support the commercialization of advanced artemisinin derivatives through our state-of-the-art manufacturing capabilities. We possess extensive experience scaling diverse pathways from 100 kgs to 100 MT/annual commercial production, ensuring that your supply needs are met with unwavering consistency and quality. Our facilities are equipped with rigorous QC labs and adhere to stringent purity specifications, guaranteeing that every batch of pharmaceutical intermediate meets the highest international standards for safety and efficacy. By partnering with us, you gain access to a supply chain that is both resilient and responsive, capable of adapting to the dynamic demands of the global pharmaceutical market.
We invite you to engage with our technical procurement team to discuss how this innovative glycosylation technology can be integrated into your product portfolio. Contact us today to request a Customized Cost-Saving Analysis tailored to your specific volume requirements. Our experts are ready to provide specific COA data and comprehensive route feasibility assessments to help you accelerate your development timeline and bring superior antimalarial therapies to patients worldwide.
