Advanced Synthesis of Fexofenadine Intermediates: A Technical Breakthrough for Commercial Scale-up
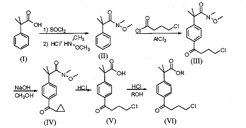
The pharmaceutical industry constantly seeks robust synthetic routes for critical antihistamine precursors, and the methodology disclosed in patent CN101585768B represents a significant leap forward in the production of 2-[4-(4-chlorobutyryl)phenyl]-2-methylpropanoic acid ester. This compound serves as a pivotal intermediate in the synthesis of Fexofenadine Hydrochloride, a second-generation antihistamine widely used for treating allergic rhinitis and chronic idiopathic urticaria. Traditional manufacturing pathways have long been plagued by issues regarding regioselectivity and hazardous reagent usage, creating bottlenecks for reliable pharmaceutical intermediates supplier networks. The technical breakthrough presented in this patent addresses these historical pain points by introducing a streamlined, high-yield protocol that leverages Weinreb amide chemistry to ensure exceptional purity profiles. By shifting the synthetic logic away from direct ester acylation, the process fundamentally alters the impurity landscape, offering a cleaner, more sustainable alternative for global supply chains.
The Limitations of Conventional Methods vs. The Novel Approach
The Limitations of Conventional Methods
Historical approaches to synthesizing this key intermediate, such as those described in U.S. Patent 6,242,606, typically rely on Friedel-Crafts acylation performed directly on methyl or ethyl esters of 2-methyl-2-phenylpropionic acid. While conceptually straightforward, this legacy chemistry suffers from a critical flaw: the generation of substantial quantities of meta-isomer impurities alongside the desired para-product. These meta-isomers possess physical properties remarkably similar to the target molecule, rendering them extremely difficult to separate through standard crystallization or distillation techniques. Consequently, manufacturers face severe yield losses and increased processing costs in their futile attempts to purge these stubborn contaminants. Furthermore, alternative routes documented in literature, such as those utilizing lithium aluminum hydride or diazomethane, introduce unacceptable safety risks and environmental burdens, making them unsuitable for modern, regulated cost reduction in pharmaceutical intermediates manufacturing.
The Novel Approach
The innovative strategy outlined in CN101585768B circumvents these pitfalls by utilizing a Weinreb amide derivative as the central scaffold for the acylation and subsequent transformations. By establishing the carbon skeleton through the amide rather than the ester, the process achieves superior control over the reaction trajectory. The core of this novelty lies in a unique cyclopropanation-ring opening sequence that preserves the integrity of the para-substitution pattern while efficiently installing the requisite chlorobutyryl side chain. This approach not only eliminates the formation of meta-isomers at the source but also operates under mild, scalable conditions using common alkali metal hydroxides and mineral acids. The result is a synthetic pathway that delivers high-purity pharmaceutical intermediates with yields consistently exceeding 90%, drastically simplifying the downstream purification requirements and enhancing overall process economics.
![Reaction scheme showing the synthesis of 2-[4-(4-chlorobutyryl)phenyl]-2-methylpropanoic acid ester via Weinreb amide intermediate](/insights/img/fexofenadine-intermediate-synthesis-supplier-20260308001403-01.png)
Mechanistic Insights into Weinreb Amide Mediated Transformation
The mechanistic elegance of this synthesis rests on the unique reactivity of the N-methyl-N-methoxy amide functionality, commonly known as the Weinreb amide. In the initial stages, the stability of this amide group allows for the successful introduction of the acyl chain without the scrambling often seen with ester substrates. The subsequent treatment with alkali metal hydroxides in an alcoholic solvent triggers an intramolecular nucleophilic substitution, converting the terminal chlorobutyl chain into a cyclopropyl ketone intermediate. This cyclization is highly specific and proceeds with excellent conversion rates, locking the molecular geometry in a state that prevents isomerization. The robustness of the Weinreb amide under these basic conditions is crucial, as it survives the cyclopropanation intact, ready for the final unveiling of the carboxylic acid functionality.
Following the cyclopropanation, the process employs a controlled acid hydrolysis step that serves a dual purpose: it cleaves the strained cyclopropane ring to regenerate the linear chlorobutyryl chain and simultaneously hydrolyzes the Weinreb amide to the free carboxylic acid. This tandem transformation is exceptionally efficient because the acidic conditions selectively target the amide bond and the cyclopropane ring without affecting the aromatic system or the chlorine atom. The final esterification is achieved by saturating an alcohol solvent with dry hydrogen chloride gas, a classic yet highly effective method for converting the acid to its corresponding ester. This sequence ensures that the final product emerges with a pristine impurity profile, free from the meta-isomers that plague conventional Friedel-Crafts routes, thereby validating the commercial scale-up of complex pharmaceutical intermediates.
How to Synthesize 2-[4-(4-chlorobutyryl)phenyl]-2-methylpropanoic Acid Ester Efficiently
The execution of this synthesis requires precise control over stoichiometry and temperature to maximize the benefits of the patented route. The process begins with the preparation of a basic alcoholic solution, followed by the careful addition of the Weinreb amide precursor to induce cyclopropanation. After isolating the cyclopropyl intermediate, the material is subjected to mineral acid reflux to effect ring opening and hydrolysis. Finally, the resulting acid is esterified under anhydrous acidic conditions.
- Perform base-catalyzed cyclopropanation of N-methyl-N-methoxy-2-[4-(4-chlorobutyryl)phenyl]-2-methylpropanamide using alkali metal hydroxide in alcohol solvent.
- Execute acid hydrolysis using mineral acid to open the cyclopropane ring and cleave the Weinreb amide to the corresponding carboxylic acid.
- Conduct final esterification by bubbling dry HCl gas into an alcohol solvent containing the acid intermediate to yield the target ester.
Commercial Advantages for Procurement and Supply Chain Teams
For procurement specialists and supply chain directors, the adoption of this patented methodology translates into tangible operational improvements and risk mitigation. The primary value driver is the elimination of the meta-isomer impurity, which historically necessitated expensive and time-consuming purification steps such as repeated recrystallizations or preparative chromatography. By removing the need for these complex separation units, manufacturers can significantly reduce solvent consumption, energy usage, and labor hours, leading to a leaner and more cost-effective production model. Additionally, the high yields reported in the patent examples indicate a highly atom-economical process that minimizes raw material waste, further driving down the cost of goods sold.
- Cost Reduction in Manufacturing: The avoidance of hazardous reagents like lithium aluminum hydride removes the need for specialized safety infrastructure and expensive quenching protocols. Furthermore, the use of commodity chemicals such as sodium hydroxide, potassium hydroxide, and hydrochloric acid ensures that raw material costs remain low and stable. The streamlined workflow, which combines ring opening and amide hydrolysis into a single pot operation, reduces the total number of unit operations, thereby lowering capital expenditure requirements and increasing throughput capacity for reliable pharmaceutical intermediates supplier networks.
- Enhanced Supply Chain Reliability: The robustness of the reaction conditions, which tolerate moderate temperatures and standard atmospheric pressure, makes the process highly resilient to equipment variations. This flexibility allows for seamless technology transfer between different manufacturing sites, ensuring consistent quality regardless of production location. The high purity of the crude product reduces the dependency on scarce purification resources, mitigating the risk of batch failures and ensuring a steady flow of materials to downstream API synthesis lines, ultimately reducing lead time for high-purity pharmaceutical intermediates.
- Scalability and Environmental Compliance: From an environmental perspective, the substitution of toxic oxidants and reducing agents with benign bases and acids aligns perfectly with modern green chemistry principles. The process generates minimal hazardous waste, simplifying effluent treatment and reducing the environmental footprint of the manufacturing facility. The scalability is evidenced by the use of simple extraction and filtration workups, which are easily adapted from laboratory glassware to industrial reactors, facilitating the rapid commercial scale-up of complex pharmaceutical intermediates to meet global market demand.
Frequently Asked Questions (FAQ)
The following questions address common technical and commercial inquiries regarding the implementation of this synthesis route. Understanding these details is essential for R&D teams evaluating the feasibility of adopting this technology for their own production lines.
Q: How does this synthesis route eliminate meta-isomer impurities?
A: Unlike conventional Friedel-Crafts acylation performed directly on ester substrates which generates difficult-to-remove meta-isomers, this patented method utilizes a Weinreb amide precursor. The specific reaction conditions and the stability of the amide intermediate ensure high regioselectivity, effectively preventing the formation of meta-substituted byproducts.
Q: What are the safety advantages of this method compared to prior art?
A: This process avoids the use of hazardous reagents such as lithium aluminum hydride and diazomethane found in older literature. Instead, it relies on safer, industrially scalable reagents like alkali metal hydroxides and hydrogen chloride gas, significantly reducing operational risks and environmental hazards.
Q: Is this process suitable for large-scale commercial production?
A: Yes, the patent explicitly highlights the method's suitability for industrial production. The reactions proceed under moderate temperatures (20-100°C) and utilize common solvents like methanol and ethanol, facilitating easy scale-up from kilogram to multi-ton quantities without requiring complex cryogenic or high-pressure equipment.
Partnering with NINGBO INNO PHARMCHEM: Your Reliable 2-[4-(4-chlorobutyryl)phenyl]-2-methylpropanoic Acid Ester Supplier
At NINGBO INNO PHARMCHEM, we recognize the critical importance of high-quality intermediates in the production of life-saving antihistamines. Our technical team has thoroughly analyzed the pathway described in CN101585768B and possesses the extensive experience scaling diverse pathways from 100 kgs to 100 MT/annual commercial production required to bring this advanced chemistry to life. We are committed to delivering stringent purity specifications through our rigorous QC labs, ensuring that every batch of Fexofenadine intermediate meets the exacting standards of the global pharmaceutical market. Our facility is equipped to handle the specific reagents and conditions outlined in this patent, guaranteeing a supply of material that is free from the problematic meta-isomers associated with older technologies.
We invite potential partners to engage with our technical procurement team to discuss how this optimized synthesis route can benefit your specific supply chain. By leveraging our expertise, you can access a Customized Cost-Saving Analysis tailored to your volume requirements. We encourage you to contact us directly to request specific COA data and route feasibility assessments, allowing you to make informed decisions that enhance both the quality and efficiency of your API manufacturing operations.
