Advanced Synthesis of Strobilurin Intermediates: Scalable Routes for Global Agrochemical Manufacturing
The global demand for high-efficiency fungicides, particularly the strobilurin class, continues to drive innovation in the synthesis of their critical pharmaceutical and agrochemical intermediates. Patent CN1399628A, filed in early 2003, introduces a transformative suite of methodologies for producing 2-(2-hydroxyphenyl)-2-(alkoxyimino)-N-methylacetamide derivatives. These compounds serve as pivotal building blocks in the value chain of modern crop protection agents. For R&D directors and procurement strategists, this patent represents a significant departure from legacy chemistries that have long been plagued by complex purification steps and reliance on scarce reagents. By leveraging novel intermediates such as 2-(2-hydroxyphenyl)-2-(methylimino)-N-methylacetamide, the disclosed processes offer a pathway to higher purity profiles and more robust supply chains. As a leading entity in fine chemical manufacturing, understanding these mechanistic breakthroughs is essential for optimizing the commercial scale-up of complex agrochemical intermediates and ensuring consistent quality for downstream formulation.
The Limitations of Conventional Methods vs. The Novel Approach
The Limitations of Conventional Methods
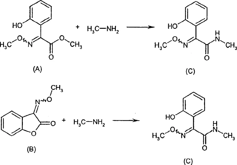
Historically, the synthesis of target compounds like 2-(2-hydroxyphenyl)-2-(methoxyimino)-N-methylacetamide (Compound C) relied heavily on precursors that presented significant logistical and chemical hurdles. As illustrated in the prior art reaction schemes, traditional routes often necessitated the use of 2-(2-hydroxyphenyl)-2-(methoxyimino)acetic acid methyl ester or specific benzofuran-dione oximes as starting materials. These precursors are notoriously difficult to obtain in bulk quantities with consistent quality, creating bottlenecks for any reliable agrochemical intermediate supplier. Furthermore, the chemical transformation of oximes into the desired O-alkylated products traditionally required the use of expensive silver salts to achieve regioselectivity. Without these precious metal catalysts, the reaction would yield uncontrollable mixtures of O- and N-alkylated byproducts, drastically reducing overall yield and complicating the impurity profile. This dependency on silver not only inflated raw material costs but also introduced heavy metal contamination risks that required extensive and costly removal protocols to meet stringent regulatory standards for agricultural chemicals.
The Novel Approach
In stark contrast, the methodology disclosed in CN1399628A circumvents these historical constraints by introducing entirely new, stable intermediates that are far easier to synthesize and handle. The patent highlights the unexpected stability of 2-(2-hydroxyphenyl)-2-(methylimino)-N-methylacetamide (Formula IV), a compound that was previously thought to be too unstable for isolation without rigorous dehydration conditions. This novel intermediate can be prepared directly from readily available alkyl (2-hydroxyphenyl)oxoacetates or 1-benzofuran-2,3-dione using simple methylamine solutions. This shift allows manufacturers to bypass the problematic silver-catalyzed alkylation step entirely. Instead, the process utilizes a selective imino exchange reaction or a direct alkylation of a hydroxyimino precursor under mild, base-catalyzed conditions. This strategic pivot not only simplifies the synthetic route but also fundamentally alters the economic model of production by replacing scarce, expensive reagents with commodity chemicals, thereby facilitating substantial cost reduction in agrochemical intermediate manufacturing.
Mechanistic Insights into Selective O-Alkylation and Imino Exchange
From a mechanistic perspective, the success of this patent lies in the precise control of nucleophilic attacks and the stabilization of transition states that typically lead to side reactions. In Method (a) of the patent, the alkylation of the hydroxyimino group (Formula II) proceeds with surprising selectivity at the oxygen atom rather than the nitrogen atom. Conventionally, ambident nucleophiles like oximes require specific metal coordination to direct alkylation to the oxygen; however, this invention achieves high O-selectivity using standard alkylating agents like dimethyl sulfate or methyl chloride in the presence of common acid acceptors such as potassium carbonate. This suggests that the specific electronic environment of the 2-hydroxyphenyl moiety, potentially through intramolecular hydrogen bonding or steric hindrance, favors the formation of the O-alkylated product without the need for silver promotion. For process chemists, this implies a cleaner reaction profile with fewer isomeric impurities, directly translating to simplified downstream processing and higher final assay values.
Furthermore, the patent details a unique imino exchange mechanism in Method (b) and Method (d), where the methylimino group of Formula IV is swapped for an alkoxyimino or hydroxyimino group. This transimination reaction occurs under remarkably mild conditions, often in buffered alcoholic media at temperatures ranging from 0°C to 80°C. The ability to perform this exchange without degrading the sensitive amide backbone or the phenolic ring is a testament to the robustness of the new intermediates. The reaction kinetics favor the formation of the thermodynamically more stable oxime ether or oxime, driving the equilibrium towards the desired product. This mechanistic elegance ensures that even on a multi-ton scale, the reaction remains controllable and safe, avoiding the exothermic runaways often associated with more aggressive alkylation chemistries. Such control is paramount for maintaining the high-purity agrochemical intermediates required by top-tier fungicide formulators.
How to Synthesize 2-(2-Hydroxyphenyl)-2-(Alkoxyimino)-N-Methylacetamide Efficiently
The practical implementation of these novel routes involves straightforward unit operations that are compatible with existing multipurpose chemical reactors. The synthesis begins with the preparation of the key methylimino intermediate (Formula IV) by reacting an oxoacetate ester with aqueous or alcoholic methylamine. This step is exothermic but manageable, yielding a stable solid or oil that can be isolated or used in situ. Subsequent conversion to the final alkoxyimino derivative involves heating the intermediate with the appropriate alkoxyamine hydrochloride in a solvent system such as methanol or ethanol, often with a buffering agent like sodium acetate to maintain optimal pH. The workup typically involves simple solvent removal and crystallization, avoiding complex chromatographic separations. This operational simplicity is a key factor in reducing lead time for high-purity agrochemical intermediates, allowing for faster batch turnover and more responsive supply chain management.
- Preparation of the novel intermediate 2-(2-hydroxyphenyl)-2-(methylimino)-N-methylacetamide (Formula IV) by reacting alkyl (2-hydroxyphenyl)oxoacetate with methylamine.
- Execution of selective imino exchange by reacting Formula IV with an alkoxyamine (Formula V) in a buffered alcoholic medium to form the target alkoxyimino derivative.
- Alternative direct alkylation of the hydroxyimino precursor (Formula II) using alkylating agents like dimethyl sulfate under phase transfer catalysis for high O-selectivity.
Commercial Advantages for Procurement and Supply Chain Teams
For procurement managers and supply chain heads, the adoption of the technologies described in CN1399628A offers compelling strategic advantages that extend beyond mere technical feasibility. The primary benefit lies in the drastic simplification of the raw material basket. By eliminating the dependency on hard-to-source esters and expensive silver catalysts, manufacturers can secure a more resilient supply chain that is less susceptible to market volatility in precious metals. The use of commodity reagents like methylamine, dimethyl sulfate, and common organic solvents ensures that production can be scaled up rapidly without encountering supply bottlenecks. This accessibility of inputs directly correlates to a more stable pricing structure for the final intermediate, providing long-term cost predictability for downstream partners. Moreover, the robustness of the new intermediates reduces the risk of batch failures due to reagent degradation, further enhancing supply reliability.
- Cost Reduction in Manufacturing: The elimination of silver salts and the use of simpler starting materials fundamentally lower the variable cost of goods sold. Without the need for expensive heavy metal catalysts and the subsequent purification steps to remove trace metals, the overall processing cost is significantly reduced. The high yields reported in the patent examples indicate efficient atom economy, meaning less waste is generated per kilogram of product. This efficiency translates into tangible savings on raw material consumption and waste disposal fees. Additionally, the milder reaction conditions reduce energy consumption for heating and cooling, contributing to a leaner and more cost-effective manufacturing process that enhances competitiveness in the global market.
- Enhanced Supply Chain Reliability: The stability of the novel intermediates, particularly the methylimino compound (Formula IV), allows for safer storage and transportation compared to traditional unstable imines. This stability reduces the risk of spoilage during logistics and enables the maintenance of strategic inventory buffers without significant degradation. Since the starting materials are widely available commodity chemicals, the risk of supply disruption due to single-source vendor issues is minimized. This diversification of the supply base ensures continuous production capability, which is critical for meeting the just-in-time delivery requirements of large-scale agrochemical campaigns. The ability to produce these intermediates reliably supports a more agile and responsive supply chain network.
- Scalability and Environmental Compliance: The processes described operate under atmospheric pressure and moderate temperatures, making them inherently safer and easier to scale from pilot plant to commercial production. The avoidance of heavy metals aligns with increasingly stringent environmental regulations regarding effluent discharge and product residue limits. By generating a cleaner impurity profile and avoiding toxic catalysts, the environmental footprint of the manufacturing process is substantially lowered. This compliance advantage reduces the regulatory burden and potential liability associated with hazardous waste management. Consequently, facilities can achieve higher throughput with fewer environmental constraints, supporting sustainable growth and long-term operational viability in a regulated industry.
Frequently Asked Questions (FAQ)
The following questions address common technical and commercial inquiries regarding the implementation of these synthesis routes. They are derived from the specific experimental data and advantageous effects detailed in the patent documentation. Understanding these nuances is vital for technical teams evaluating the feasibility of technology transfer. The answers reflect the practical realities of scaling these reactions and the specific benefits they offer over legacy methods. This information serves as a foundational guide for initial project scoping and risk assessment.
Q: What are the primary advantages of the new synthesis route over conventional methods?
A: The novel process eliminates the need for difficult-to-obtain starting materials and expensive silver salts typically required for selective O-alkylation, significantly simplifying purification and reducing raw material costs.
Q: How does this patent address the stability issues of imine intermediates?
A: The invention demonstrates that specific 2-(2-hydroxyphenyl)-2-(methylimino)-N-methylacetamide derivatives can be formed spontaneously and isolated as stable products without traditional dehydrating agents, solving a major handling challenge.
Q: Is this process suitable for large-scale commercial production?
A: Yes, the reactions operate under mild temperatures (0°C to 80°C) and atmospheric pressure using commercially available solvents and reagents, making it highly adaptable for multi-ton manufacturing scales.
Partnering with NINGBO INNO PHARMCHEM: Your Reliable 2-(2-Hydroxyphenyl)-2-(Alkoxyimino)-N-Methylacetamide Supplier
The technological advancements outlined in Patent CN1399628A underscore the potential for more efficient and sustainable production of critical fungicide intermediates. At NINGBO INNO PHARMCHEM, we possess the technical expertise and infrastructure to translate these laboratory-scale innovations into robust commercial realities. Our team has extensive experience scaling diverse pathways from 100 kgs to 100 MT/annual commercial production, ensuring that the benefits of this novel chemistry are fully realized at an industrial level. We maintain stringent purity specifications through our rigorous QC labs, guaranteeing that every batch meets the exacting standards required for agrochemical active ingredient synthesis. Our commitment to process optimization allows us to deliver high-quality intermediates that support the efficacy and safety of the final crop protection products.
We invite global partners to collaborate with us to leverage these advanced synthesis routes for their supply chains. By engaging with our technical procurement team, you can request a Customized Cost-Saving Analysis tailored to your specific volume requirements. We encourage you to reach out for specific COA data and comprehensive route feasibility assessments to determine how our capabilities can enhance your production efficiency. Let us be your strategic partner in securing a reliable and cost-effective supply of high-performance agrochemical intermediates.
