Advanced Boron Trifluoride Catalysis for High-Purity Ceftiofur Intermediate Manufacturing
The veterinary pharmaceutical landscape demands increasingly efficient supply chains for critical antibiotic intermediates, particularly for third-generation cephalosporins like Ceftiofur. Patent CN1310923C introduces a transformative methodology for synthesizing the pivotal intermediate, 7-amino-3-[2-(furylcarbonyl)thiomethyl]-3-cephem-4-carboxylic acid, which serves as the structural foundation for this widely used animal health drug. This innovation addresses long-standing inefficiencies in condensation chemistry, leveraging boron trifluoride (BF3) catalysis to achieve unprecedented purity and yield metrics. By shifting away from traditional aqueous buffered systems, this technology enables a more robust manufacturing pathway that aligns with modern Good Manufacturing Practice (GMP) standards. For global procurement teams, understanding this technological leap is essential for securing a reliable pharmaceutical intermediate supplier capable of meeting stringent quality demands without compromising on delivery timelines.

The Limitations of Conventional Methods vs. The Novel Approach
The Limitations of Conventional Methods
Historically, the synthesis of this key cephem intermediate has been plagued by significant technical hurdles that hindered commercial viability. Early methodologies, such as those described in US Patent 4,464,367, relied on phosphate-buffered saline at a neutral pH of 6.4, resulting in protracted reaction times and suboptimal conversion rates. These aqueous conditions often led to yields hovering around 47%, primarily due to the competing hydrolysis of the sensitive beta-lactam ring and incomplete consumption of the starting 7-aminocephalosporanic acid (7-ACA). Furthermore, subsequent attempts using sodium thiophene in aqueous media at elevated temperatures, as seen in WO 87/01117, exacerbated decomposition issues, yielding only about 45% of the desired product. The instability of solid furyl-2-carbonylthiol also posed a major challenge; when used directly in non-aqueous condensations per US Patent 5,387,679, it generated complex impurity profiles that were notoriously difficult to separate, thereby inflating purification costs and reducing overall process efficiency.
The Novel Approach
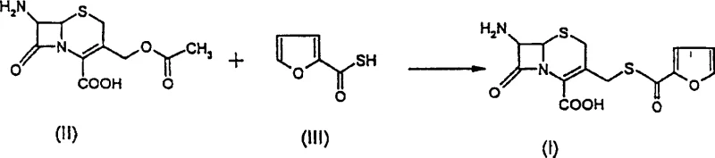
The breakthrough detailed in the patent data utilizes a sophisticated Lewis acid catalysis strategy that fundamentally alters the reaction kinetics and thermodynamics. By employing boron trifluoride or its complexes in organic solvents such as ethyl acetate or acetonitrile, the process activates the nucleophilic attack at the 3-position of the cephem nucleus with remarkable specificity. Crucially, the method incorporates the in situ generation of furyl-2-carbonylthiol from furyl-2-carbonyl chloride and sodium sulfide, bypassing the stability issues associated with isolating the thiol. This strategic modification ensures that the reactive species is available exactly when needed, minimizing side reactions. The result is a dramatic improvement in performance, with reported yields soaring to 90-95% and HPLC purity reaching 98-99%. This shift from aqueous to controlled organic phase chemistry represents a paradigm shift for cost reduction in API manufacturing, offering a cleaner, faster, and more predictable synthetic route.

Mechanistic Insights into BF3-Catalyzed Condensation
The core of this technological advancement lies in the activation mechanism provided by the boron trifluoride catalyst within an organic medium. In traditional aqueous environments, the nucleophilicity of the sulfur species is often dampened by solvation effects, and the electrophilicity of the leaving group at the 3-position of 7-ACA is insufficient for rapid displacement without harsh conditions. However, BF3 acts as a potent Lewis acid, coordinating with the carbonyl oxygen of the leaving group or the sulfur nucleophile, thereby lowering the activation energy for the substitution reaction. This coordination facilitates a smooth SN2-type displacement at the 3-position of the cephem ring, preserving the integrity of the adjacent beta-lactam moiety which is prone to hydrolytic opening under basic or prolonged acidic aqueous conditions. The use of organic solvents like acetonitrile or ethyl acetate further supports this mechanism by providing a homogeneous environment that enhances molecular collisions while excluding water molecules that could act as competing nucleophiles.
Impurity control is another critical aspect where this mechanistic approach excels, directly addressing the pain points of previous art. In earlier non-aqueous attempts using pre-formed solid thiols, degradation products of the thiol would react with 7-ACA to form inseparable byproducts, complicating downstream purification. By generating the thiol in situ from stable precursors (acid chloride and sulfide salts) immediately prior to the condensation step, the concentration of degraded thiol species is kept negligible. Furthermore, the reaction is monitored by tracking the residual 7-ACA content, ensuring the reaction proceeds until less than 1% remains, typically within 3-5 hours at moderate temperatures of 30-40°C. This precise control over reaction completion prevents over-reaction or thermal degradation, ensuring that the final crude cake requires minimal recrystallization to meet the rigorous specifications demanded by regulatory bodies for veterinary drug substances.
How to Synthesize 7-Amino-3-[2-(furylcarbonyl)thiomethyl]-3-cephem-4-carboxylic acid Efficiently
Implementing this synthesis requires careful attention to the preparation of the reactive thiol species and the handling of the gaseous catalyst. The process begins with the biphasic preparation of furyl-2-carbonylthiol, followed by its immediate introduction to a solution of 7-ACA activated by boron trifluoride. The operational simplicity of using common solvents and moderate temperatures makes this route highly attractive for pilot and commercial scale operations. Detailed standard operating procedures regarding stoichiometry, addition rates, and workup protocols are critical for reproducing the high yields cited in the patent literature. For a comprehensive breakdown of the specific experimental parameters and safety considerations required for execution, please refer to the standardized guide below.
- Prepare furyl-2-carbonylthiol in situ by reacting furyl-2-carbonyl chloride with sodium sulfide or sodium hydrosulfide in an aqueous/organic biphasic system.
- Generate a boron trifluoride complex by bubbling BF3 gas into a suitable organic solvent such as ethyl acetate or acetonitrile at low temperature.
- Condense 7-aminocephalosporanic acid (7-ACA) with the in situ generated thiol in the presence of the BF3 solution at 30-40°C, followed by pH adjustment and filtration.
Commercial Advantages for Procurement and Supply Chain Teams
For procurement managers and supply chain directors, the adoption of this BF3-catalyzed synthesis offers tangible benefits that extend far beyond simple chemical yield improvements. The transition from low-yielding aqueous processes to this high-efficiency organic condensation significantly reduces the raw material burden per kilogram of finished intermediate. By nearly doubling the yield from historical averages of ~45% to over 90%, the consumption of expensive starting materials like 7-ACA is drastically curtailed, leading to substantial cost savings in the overall bill of materials. Additionally, the high purity of the crude product (98-99%) minimizes the need for extensive and solvent-intensive recrystallization steps, further lowering utility costs and waste disposal fees associated with mother liquor treatment. This efficiency translates directly into a more competitive pricing structure for the final API, allowing pharmaceutical companies to maintain healthy margins in the competitive veterinary market.
- Cost Reduction in Manufacturing: The elimination of complex purification steps required to remove impurities from older thiol-based methods results in a leaner manufacturing process. By avoiding the use of unstable solid thiols and utilizing in situ generation, the process reduces the risk of batch failures and reprocessing, which are significant hidden costs in fine chemical production. The ability to operate at mild temperatures (30-40°C) also reduces energy consumption compared to processes requiring heating or cryogenic cooling, contributing to a lower carbon footprint and reduced operational expenditure.
- Enhanced Supply Chain Reliability: The reliance on stable, commodity-grade starting materials such as furyl-2-carbonyl chloride and sodium sulfide ensures a robust supply chain that is less susceptible to disruptions. Unlike specialized reagents that may have limited suppliers, these inputs are widely available in the global chemical market, mitigating the risk of raw material shortages. Furthermore, the shortened reaction time of 3-5 hours allows for higher throughput in existing reactor trains, enabling manufacturers to respond more agilely to fluctuations in market demand for Ceftiofur without requiring significant capital investment in new infrastructure.
- Scalability and Environmental Compliance: The process demonstrates excellent scalability, having been validated from laboratory scales up to multi-kilogram batches with consistent results. The use of recoverable organic solvents like ethyl acetate and acetonitrile aligns with modern environmental, health, and safety (EHS) guidelines, facilitating easier solvent recycling and waste management. By minimizing aqueous waste streams laden with phosphate buffers and salts, this technology simplifies effluent treatment plant (ETP) loads, ensuring compliance with increasingly stringent environmental regulations while maintaining high production volumes.
Frequently Asked Questions (FAQ)
The following questions address common technical and commercial inquiries regarding the implementation of this advanced synthesis route. Understanding these details is crucial for R&D teams evaluating technology transfer and for quality assurance teams establishing specification limits. The answers provided are derived directly from the experimental data and comparative analysis found within the patent documentation, ensuring accuracy and relevance for decision-makers.
Q: How does the BF3-catalyzed method improve yield compared to conventional aqueous methods?
A: Conventional aqueous methods reported in older patents often suffer from yields around 45-47% due to hydrolysis and incomplete reaction. The novel BF3-catalyzed non-aqueous or low-water process achieves yields of 90-95% by activating the nucleophile effectively while minimizing beta-lactam ring degradation.
Q: Why is in situ generation of the thiol preferred over using solid furyl-2-carbonylthiol?
A: Solid furyl-2-carbonylthiol exhibits poor stability and can lead to difficult-to-remove impurities during condensation. Generating it in situ from the corresponding acid chloride ensures high reactivity and purity, preventing the formation of side products associated with degraded thiol starting materials.
Q: Is this process scalable for commercial API production?
A: Yes, the process operates at mild temperatures (30-40°C) and uses common industrial solvents like ethyl acetate and acetonitrile. The robustness of the BF3 catalysis and the high purity of the crude product (98-99%) make it highly suitable for large-scale commercial manufacturing of veterinary antibiotics.
Partnering with NINGBO INNO PHARMCHEM: Your Reliable 7-Amino-3-[2-(furylcarbonyl)thiomethyl]-3-cephem-4-carboxylic acid Supplier
At NINGBO INNO PHARMCHEM, we recognize that the successful commercialization of veterinary antibiotics hinges on the availability of high-quality intermediates produced via robust and scalable pathways. Our technical team possesses extensive experience scaling diverse pathways from 100 kgs to 100 MT/annual commercial production, ensuring that the transition from lab-scale optimization to full-scale manufacturing is seamless and risk-mitigated. We are committed to delivering products that meet stringent purity specifications, supported by our rigorous QC labs equipped with state-of-the-art analytical instrumentation to verify every batch against the highest industry standards. Our facility is designed to handle complex chemistries safely, including the handling of gaseous reagents and moisture-sensitive intermediates, guaranteeing a consistent supply of critical building blocks for your API synthesis.
We invite you to collaborate with us to leverage this advanced BF3-catalyzed technology for your Ceftiofur production needs. Contact our technical procurement team today to request a Customized Cost-Saving Analysis tailored to your specific volume requirements. We are prepared to provide specific COA data from recent pilot runs and conduct detailed route feasibility assessments to demonstrate how our optimized process can enhance your supply chain resilience and profitability. Let us be your partner in driving efficiency and quality in the global veterinary pharmaceutical market.
