Advanced Synthesis of 2,2-Bis[3-Amino-4-(4-Nitrophenoxy)Phenyl]Propane for High-Performance Polyimides
The landscape of advanced electronic materials is constantly evolving, driven by the demand for higher thermal stability and superior mechanical properties in flexible circuits. A pivotal development in this sector is documented in patent CN101195580A, which details a robust preparation method for 2,2-bis[3-amino-4-(4-nitrophenoxy)phenyl]propane. This specific aromatic dibasic primary amine is not merely a chemical intermediate; it is a foundational building block for next-generation polyimide resins and liquid crystal alignment agents. The patent outlines a sophisticated yet industrially viable pathway that addresses long-standing challenges in synthesizing nitro-containing aromatic compounds. By leveraging a precise nucleophilic substitution strategy, this method ensures the production of high-purity intermediates essential for the fabrication of flexible copper clad laminates (FCCL) and high-impact epoxy resin curing agents. For R&D directors and procurement specialists alike, understanding the nuances of this synthesis is critical for securing a reliable supply chain of high-performance electronic chemicals.
The Limitations of Conventional Methods vs. The Novel Approach
The Limitations of Conventional Methods
Historically, the synthesis of complex aromatic diamines containing ether linkages has been plagued by inefficiencies that hinder large-scale commercial adoption. Traditional routes often suffer from harsh reaction conditions that degrade sensitive functional groups, leading to complex impurity profiles that are difficult to separate. Many conventional processes rely on stoichiometric imbalances or expensive catalysts that remain trapped in the final product, necessitating costly purification steps such as column chromatography or multiple recrystallizations. Furthermore, the management of reaction byproducts, particularly inorganic salts and spent solvents, has posed significant environmental and economic burdens. The inability to effectively recover solvents in older methodologies results in substantial operational expenditures and increased waste disposal liabilities. These factors collectively create a bottleneck for manufacturers seeking to scale up production of high-purity electronic material intermediates without compromising on cost or environmental compliance standards.
The Novel Approach
The methodology presented in the patent data introduces a transformative approach that streamlines the synthesis through optimized solvent systems and reaction parameters. By employing a dual-solvent system comprising an aprotic polar solvent and an entrainer, the process facilitates efficient water removal via azeotropic distillation, driving the equilibrium towards product formation without requiring excessive reagent loads. This novel technique operates within a controlled temperature range of 120°C to 200°C under nitrogen protection, ensuring the stability of the amino and nitro functionalities throughout the reaction duration. The strategic use of specific salt-forming agents allows for the in-situ generation of reactive phenoxide species, enhancing the nucleophilicity required for the etherification step. Crucially, the work-up procedure involves hot filtration followed by simple crystallization, which effectively removes inorganic byproducts and yields a product with exceptional purity. This streamlined workflow eliminates the need for complex downstream processing, marking a significant advancement over legacy synthetic routes.
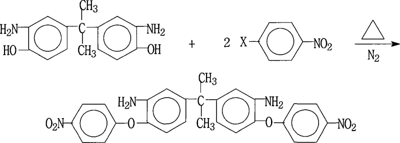
Mechanistic Insights into Nucleophilic Aromatic Substitution
The core chemical transformation in this synthesis is a classic nucleophilic aromatic substitution (SNAr) reaction, where the phenolic hydroxyl groups of 2,2-bis(3-amino-4-hydroxyphenyl)propane act as nucleophiles. In the presence of a base such as potassium carbonate or potassium hydroxide, these hydroxyl groups are deprotonated to form highly reactive phenoxide anions. These anions then attack the electron-deficient aromatic ring of the 4-halonitrobenzene substrate. The presence of the strong electron-withdrawing nitro group at the para-position significantly activates the aromatic ring towards nucleophilic attack by stabilizing the Meisenheimer complex intermediate. The choice of halogen (fluorine, chlorine, or bromine) on the nitrobenzene ring influences the reaction kinetics, with fluorine typically offering the highest reactivity due to its strong inductive effect, despite being a poorer leaving group in other contexts. The reaction proceeds through a concerted mechanism where the expulsion of the halide ion coincides with the formation of the new carbon-oxygen ether bond, resulting in the bis-etherified product structure.
![Reaction scheme showing the synthesis of 2,2-bis[3-amino-4-(4-nitrophenoxy)phenyl]propane via nucleophilic substitution](/insights/img/2-2-bis-amino-nitrophenoxy-propane-synthesis-supplier-20260309130740-01.webp)
Beyond the primary substitution mechanism, the control of impurities is paramount for electronic grade applications. The patent specifies the use of an entrainer like toluene or o-dichlorobenzene in conjunction with polar solvents like DMF or NMP. This solvent combination is not arbitrary; it serves a dual purpose of solubilizing the organic reactants while facilitating the removal of water generated during the salt formation step. Water, if left in the system, can hydrolyze the reactive halonitrobenzene or reverse the phenoxide formation, leading to lower yields and side products. By maintaining a rigorous nitrogen atmosphere and utilizing azeotropic distillation, the process minimizes oxidative degradation of the amino groups, which is a common source of colored impurities in amine synthesis. The subsequent hot filtration step is mechanically designed to remove insoluble inorganic salts (such as potassium halides) before they can contaminate the crystallizing product, ensuring that the final solid meets the stringent purity requirements of 99% necessary for polyimide precursor applications.
How to Synthesize 2,2-Bis[3-Amino-4-(4-Nitrophenoxy)Phenyl]Propane Efficiently
The synthesis of this high-value intermediate requires precise control over stoichiometry and thermal profiles to maximize yield and minimize byproduct formation. The process begins with the careful charging of reactants into a reactor equipped with a dehydration apparatus, ensuring that the molar ratio of the dihydroxy precursor to the halonitrobenzene is maintained between 1:2.0 and 1:2.4. This slight excess of the electrophile ensures complete conversion of the valuable dihydroxy starting material. The reaction mixture is then heated gradually, allowing for the initial formation of the phenoxide salt at lower temperatures before ramping up to the optimal reaction window of 150°C. Detailed standardized operating procedures regarding solvent ratios, specifically the volume ratio of entrainer to polar solvent between 1:0.6 and 1:3.0, are critical for maintaining the correct viscosity and mass transfer characteristics throughout the 10 to 30-hour reaction period. For a comprehensive breakdown of the exact experimental conditions and safety protocols, please refer to the structured guide below.
- Prepare the reaction mixture by combining 2,2-bis(3-amino-4-hydroxyphenyl)propane and 4-halonitrobenzene in a molar ratio of 1: 2.0-2.4 with a salt-forming agent and solvents.
- Heat the mixture under nitrogen protection to temperatures between 120°C and 200°C for 10 to 30 hours to facilitate the etherification reaction.
- Filter the hot mixture to remove salts, concentrate the mother liquor under reduced pressure, and crystallize the product to achieve high purity.
Commercial Advantages for Procurement and Supply Chain Teams
For procurement managers and supply chain heads, the transition to this patented synthesis route offers tangible benefits that extend beyond mere chemical yield. The most significant advantage lies in the design of the solvent system, which prioritizes recoverability and recyclability. Unlike traditional processes where solvents are often contaminated beyond reuse, this method allows for the efficient separation and recovery of the aprotic polar solvent and the entrainer. This capability translates directly into substantial cost savings by reducing the volume of fresh solvent required for each batch, thereby lowering the overall cost of goods sold. Furthermore, the simplicity of the isolation procedure, which relies on hot filtration and crystallization rather than complex extraction or chromatography, reduces the labor hours and equipment downtime associated with production cycles. This efficiency gain enhances the overall throughput of the manufacturing facility, allowing for more consistent delivery schedules to downstream polymer manufacturers.
- Cost Reduction in Manufacturing: The elimination of expensive transition metal catalysts and the reliance on inexpensive inorganic bases like potassium carbonate significantly lowers the raw material input costs. Additionally, the ability to recycle the reaction solvent system means that the operational expenditure related to solvent purchase and waste disposal is drastically reduced. The high yield reported in the patent examples indicates that less starting material is wasted, further optimizing the material balance and improving the economic viability of large-scale production runs.
- Enhanced Supply Chain Reliability: The raw materials required for this synthesis, including 2,2-bis(3-amino-4-hydroxyphenyl)propane and various halonitrobenzenes, are commercially available commodities with stable supply chains. By avoiding exotic or scarce reagents, the risk of supply disruption is minimized. The robustness of the reaction conditions, which tolerate a range of temperatures and solvent ratios, ensures that production can continue even if minor variations in utility supplies occur, thereby guaranteeing a steady flow of high-purity intermediates to customers.
- Scalability and Environmental Compliance: The process is inherently scalable, having been designed with industrial reactors in mind, featuring simple unit operations like filtration and distillation that are easily replicated at larger volumes. The reduction in three wastes (waste water, waste gas, and solid waste) aligns with increasingly stringent environmental regulations, reducing the regulatory burden on the manufacturing site. This eco-friendly profile not only mitigates compliance risks but also enhances the brand value for downstream customers who are under pressure to reduce their own carbon footprints and environmental impact.
Frequently Asked Questions (FAQ)
The following questions address common technical and commercial inquiries regarding the production and application of this specialized chemical intermediate. These answers are derived directly from the technical specifications and beneficial effects outlined in the patent documentation, providing clarity on the process capabilities and product quality. Understanding these details is essential for technical teams evaluating the feasibility of integrating this material into their existing polymer formulations or electronic material supply chains.
Q: What is the primary application of 2,2-bis[3-amino-4-(4-nitrophenoxy)phenyl]propane?
A: This compound serves as a critical precursor for synthesizing aromatic tetraamines, which are essential for producing high-temperature resistant polyimide resins used in flexible copper clad laminates (FCCL) and electronic insulation materials.
Q: How does this patented method improve solvent usage compared to traditional processes?
A: The process utilizes a specific combination of aprotic polar solvents and entrainers that allows for easy recovery and recycling, significantly reducing waste generation and operational costs associated with solvent disposal.
Q: What purity levels can be achieved with this synthesis route?
A: Through optimized crystallization and hot filtration steps described in the patent, the final product purity can reach up to 99%, making it suitable for demanding electronic grade applications.
Partnering with NINGBO INNO PHARMCHEM: Your Reliable 2,2-Bis[3-Amino-4-(4-Nitrophenoxy)Phenyl]Propane Supplier
As the global demand for high-performance polyimides and electronic insulation materials continues to surge, securing a dependable source of critical intermediates is more important than ever. NINGBO INNO PHARMCHEM stands at the forefront of this industry, leveraging deep technical expertise to deliver complex organic intermediates with unmatched consistency. Our team possesses extensive experience scaling diverse pathways from 100 kgs to 100 MT/annual commercial production, ensuring that we can meet your volume requirements whether you are in the pilot phase or full-scale manufacturing. We adhere to stringent purity specifications and operate rigorous QC labs to guarantee that every batch of 2,2-bis[3-amino-4-(4-nitrophenoxy)phenyl]propane meets the exacting standards required for advanced electronic applications.
We invite you to collaborate with us to optimize your supply chain and reduce your manufacturing costs. Our technical sales team is ready to provide a Customized Cost-Saving Analysis tailored to your specific production needs, demonstrating how our optimized synthesis routes can improve your bottom line. Please contact our technical procurement team today to request specific COA data and route feasibility assessments. Let us partner with you to drive innovation in the electronic materials sector through superior chemistry and reliable service.
