Advanced Synthesis of 2,2-Bis[3-Amino-4-(4-Cyanophenoxy)Phenyl]Propane for High-Performance Polyimides
Advanced Synthesis of 2,2-Bis[3-Amino-4-(4-Cyanophenoxy)Phenyl]Propane for High-Performance Polyimides
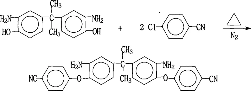
The rapid evolution of the electronics industry, particularly in the sectors of flexible displays and high-density interconnects, has created an insatiable demand for advanced polymer materials capable of withstanding extreme thermal and mechanical stress. At the heart of this material revolution lies the development of specialized aromatic diamines, which serve as the fundamental building blocks for next-generation polyimide resins. Patent CN101100446A introduces a groundbreaking preparation method for 2,2-bis[3-amino-4-(4-cyanophenoxy)phenyl]propane, a sophisticated aromatic dibasic primary amine containing aromatic cyano groups. This specific chemical architecture is not merely an incremental improvement but a strategic leap forward, enabling the production of polyimides with superior dielectric properties and thermal stability required for modern flexible copper clad laminates (FCCL). For R&D directors and procurement specialists alike, understanding the nuances of this synthesis is critical, as it represents a reliable electronic chemical supplier pathway to materials that define the future of miniaturized electronics.
The significance of this patent extends beyond the laboratory bench, offering a robust framework for industrial scalability that addresses long-standing challenges in fine chemical manufacturing. Traditional methods for synthesizing complex aromatic ethers often struggle with incomplete reactions, difficult purification processes, and the generation of hazardous waste streams that complicate regulatory compliance. In contrast, the methodology disclosed in CN101100446A leverages a precise stoichiometric balance between 2,2-bis(3-amino-4-hydroxyphenyl)propane and 4-chlorobenzonitrile, optimized within a dual-solvent system of aprotic polar solvents and entrainers. This approach ensures that the nucleophilic substitution proceeds to near completion, yielding a product with exceptional purity levels reaching 99 percent. For supply chain heads, this translates to a reduction in the variability of raw material quality, ensuring consistent downstream performance in the fabrication of high-value electronic components.
The Limitations of Conventional Methods vs. The Novel Approach
The Limitations of Conventional Methods
Historically, the synthesis of functionalized aromatic diamines for polyimide applications has been plagued by inefficiencies that drive up costs and limit production throughput. Conventional routes often rely on harsh reaction conditions that can degrade sensitive functional groups, such as the cyano moiety, leading to complex impurity profiles that are difficult to separate. Furthermore, many existing processes utilize single-solvent systems that fail to effectively remove water generated during the salt-formation step, thereby shifting the equilibrium back towards the reactants and suppressing overall yield. This limitation necessitates extensive downstream purification, often involving multiple recrystallization steps or column chromatography, which are prohibitively expensive and time-consuming at a commercial scale. Additionally, the use of non-optimized bases can result in the formation of insoluble salts that trap the product, leading to significant mechanical losses during filtration and drying operations.
The Novel Approach
The innovative strategy outlined in the patent data overcomes these hurdles through a meticulously engineered reaction environment that maximizes both kinetic efficiency and thermodynamic favorability. By employing a molar ratio of 1:2.0 to 2.4 between the bisphenol precursor and the chlorobenzonitrile electrophile, the process ensures a slight excess of the nitrile component to drive the reaction to completion without generating excessive unreacted starting material that complicates purification. The introduction of a salt-forming agent, preferably potassium carbonate, in conjunction with a co-boiling agent like toluene, facilitates the continuous removal of water via azeotropic distillation. This dynamic removal of the byproduct water pushes the equilibrium firmly towards the product side, resulting in reported yields as high as 96 percent. Moreover, the selection of N,N-dimethylformamide (DMF) as the primary polar aprotic solvent ensures excellent solubility of the intermediate phenoxide species, maintaining a homogeneous reaction phase that promotes uniform heat transfer and reaction kinetics throughout the vessel.
Mechanistic Insights into Nucleophilic Aromatic Substitution
To fully appreciate the technical sophistication of this synthesis, one must delve into the mechanistic underpinnings of the nucleophilic aromatic substitution occurring within the reactor. The reaction initiates with the deprotonation of the phenolic hydroxyl groups on the 2,2-bis(3-amino-4-hydroxyphenyl)propane molecule by the carbonate base. This deprotonation generates a highly nucleophilic phenoxide anion, which is resonance-stabilized yet sufficiently reactive to attack the electron-deficient aromatic ring of the 4-chlorobenzonitrile. The presence of the electron-withdrawing cyano group at the para-position of the chlorobenzene ring significantly activates the carbon-chlorine bond towards nucleophilic attack, lowering the activation energy required for the substitution. As the phenoxide oxygen attacks the ipso-carbon bearing the chlorine atom, a Meisenheimer complex intermediate is transiently formed, which subsequently collapses to expel the chloride ion and restore aromaticity, forming the stable ether linkage.
The control of impurities in this mechanism is paramount, particularly given the sensitivity of the amino groups which could potentially participate in side reactions. The patent specifies a temperature range of 120°C to 200°C, which is carefully calibrated to provide sufficient thermal energy for the substitution without inducing thermal decomposition of the amine functionalities or the cyano groups. The use of nitrogen protection throughout the process prevents oxidative degradation of the amino groups, which could otherwise lead to the formation of colored azo-impurities that would compromise the optical and electrical properties of the final polyimide. The subsequent hot filtration step is a critical unit operation designed to remove the inorganic halide salts (such as potassium chloride) and excess base while they are still soluble or easily separable, preventing them from co-crystallizing with the product upon cooling. This mechanistic clarity ensures that the resulting 2,2-bis[3-amino-4-(4-cyanophenoxy)phenyl]propane possesses the structural integrity required for high-performance applications.
![Chemical reaction scheme showing the synthesis of 2,2-bis[3-amino-4-(4-cyanophenoxy)phenyl]propane from BAHPP and 4-chlorobenzonitrile](/insights/img/2-2-bis-amino-cyanophenoxy-propane-synthesis-electronic-supplier-20260309131714-01.webp)
How to Synthesize 2,2-Bis[3-Amino-4-(4-Cyanophenoxy)Phenyl]Propane Efficiently
Implementing this synthesis in a pilot or production plant requires strict adherence to the procedural parameters defined in the intellectual property to ensure reproducibility and safety. The process begins with the charging of the reactor with the bisphenol substrate, the chlorobenzonitrile, and the base, followed by the addition of the solvent system under an inert atmosphere. The detailed standardized synthesis steps involve precise temperature ramping profiles and specific hold times to maximize conversion while minimizing energy consumption. Operators must monitor the water separation closely to determine the endpoint of the azeotropic drying phase before raising the temperature for the main reaction phase.
- Mix 2,2-bis(3-amino-4-hydroxyphenyl)propane and 4-chlorobenzonitrile with potassium carbonate in DMF and toluene under nitrogen.
- Heat the mixture to 120-200°C for 10-30 hours to facilitate the etherification reaction.
- Filter hot to remove salts, concentrate the mother liquor, and crystallize the product to achieve 99% purity.
Commercial Advantages for Procurement and Supply Chain Teams
For procurement managers and supply chain strategists, the adoption of this patented process offers tangible benefits that extend far beyond simple chemical transformation. The primary advantage lies in the dramatic simplification of the workup procedure, which directly correlates to reduced operational expenditures and faster batch turnover times. Unlike traditional methods that may require aqueous quenching and multiple extraction cycles, this process allows for direct hot filtration followed by solvent recovery, significantly reducing the volume of wastewater generated and the associated treatment costs. The ability to recycle the aprotic polar solvent and the entrainer further enhances the economic viability of the process, creating a closed-loop system that minimizes raw material consumption and aligns with green chemistry principles increasingly demanded by global regulatory bodies.
- Cost Reduction in Manufacturing: The elimination of complex purification steps and the high intrinsic yield of the reaction contribute to a substantial reduction in the cost of goods sold. By avoiding the use of expensive transition metal catalysts or exotic reagents, the process relies on commodity chemicals that are readily available in the global market, insulating the supply chain from volatility in specialty chemical pricing. The high purity of the crude product prior to crystallization means that less material is lost during the final refining stage, maximizing the mass balance and ensuring that every kilogram of raw material input translates efficiently into saleable product output.
- Enhanced Supply Chain Reliability: The robustness of this synthetic route ensures a consistent and reliable supply of high-purity electronic intermediates, which is critical for manufacturers operating on just-in-time production schedules. The use of stable and non-hazardous reagents reduces the risk of supply disruptions caused by regulatory restrictions on dangerous goods transportation. Furthermore, the scalability of the process from laboratory gram-scale to multi-tonne industrial production has been validated, providing confidence that supply volumes can be ramped up quickly to meet surging demand in the semiconductor and display industries without compromising quality standards.
- Scalability and Environmental Compliance: The process design inherently supports large-scale manufacturing due to its reliance on standard unit operations such as reflux, filtration, and crystallization, which are easily implemented in existing chemical infrastructure. The significant reduction in three wastes (wastewater, waste gas, and solid waste) simplifies environmental compliance and reduces the burden on facility waste management systems. This eco-friendly profile not only lowers disposal costs but also enhances the corporate sustainability metrics of the manufacturing entity, making it a more attractive partner for environmentally conscious multinational corporations seeking to reduce their carbon footprint.
Frequently Asked Questions (FAQ)
The following questions address common technical and commercial inquiries regarding the production and application of this specialized aromatic diamine. These insights are derived directly from the experimental data and claims presented in the patent documentation, providing a factual basis for decision-making. Understanding these details helps stakeholders evaluate the feasibility of integrating this material into their specific product formulations and supply chains.
Q: What is the primary application of 2,2-bis[3-amino-4-(4-cyanophenoxy)phenyl]propane?
A: This compound serves as a critical monomer for synthesizing high-temperature resistant polyimide resins, liquid crystal alignment agents, and advanced composite matrix resins used in flexible copper clad laminates (FCCL).
Q: How does the patented process improve product purity?
A: The process utilizes a specific hot filtration step to remove inorganic salt byproducts immediately after reaction, followed by recrystallization, ensuring the final product achieves a purity level of up to 99%.
Q: Can the solvents used in this synthesis be recycled?
A: Yes, the patent explicitly highlights that the aprotic polar solvent and entrainer system allows for easy recovery and recycling, significantly reducing waste generation and operational costs.
Partnering with NINGBO INNO PHARMCHEM: Your Reliable 2,2-Bis[3-Amino-4-(4-Cyanophenoxy)Phenyl]Propane Supplier
As the global demand for high-performance polyimides continues to surge, securing a dependable source of high-quality monomers is paramount for maintaining competitive advantage in the electronics sector. NINGBO INNO PHARMCHEM stands at the forefront of this industry, leveraging deep technical expertise to deliver complex aromatic intermediates with unmatched consistency and reliability. Our state-of-the-art facilities are equipped to handle the rigorous demands of scaling diverse pathways from 100 kgs to 100 MT/annual commercial production, ensuring that we can meet your volume requirements regardless of market fluctuations. We maintain stringent purity specifications and operate rigorous QC labs to guarantee that every batch of 2,2-bis[3-amino-4-(4-cyanophenoxy)phenyl]propane meets the exacting standards required for advanced electronic applications.
We invite you to collaborate with our technical team to explore how this innovative synthesis route can optimize your manufacturing costs and enhance your product performance. By requesting a Customized Cost-Saving Analysis, you can gain a clear understanding of the economic benefits of switching to our supply chain. We encourage potential partners to contact our technical procurement team to索取 specific COA data and route feasibility assessments tailored to your unique project needs. Let us be your strategic partner in navigating the complexities of the electronic chemical market, delivering value through science and service.
