Advanced Synthesis of Fluorinated Polyimide Monomers for High-Performance Electronic Materials
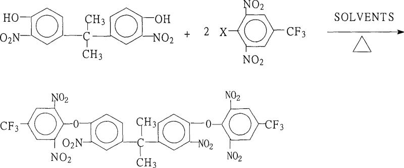
The rapid evolution of the electronic materials sector demands intermediates that combine exceptional thermal stability with precise molecular architecture. In this context, patent CN101367734A introduces a groundbreaking preparation method for 2,2-bis[3-nitro-4-(2,6-dinitro-4-trifluoromethylphenoxy)phenyl]propane, a critical precursor for high-branched aromatic fluorinated polyimides. This specific compound serves as a foundational building block for generating aromatic fluorine-containing polybasic primary amines, which are subsequently polymerized into materials capable of withstanding extreme environments in aerospace and liquid crystal display (LCD) technologies. The disclosed methodology represents a significant leap forward in synthetic efficiency, addressing the historical challenges associated with introducing multiple nitro and trifluoromethyl groups onto a rigid bisphenol backbone. By optimizing the stoichiometric ratios and solvent systems, the inventors have established a robust pathway that ensures consistent quality, a factor that is paramount for R&D directors overseeing the development of next-generation optoelectronic devices.
The Limitations of Conventional Methods vs. The Novel Approach
The Limitations of Conventional Methods
Historically, the synthesis of complex fluorinated aromatic ethers has been plagued by inefficient reaction kinetics and difficult purification protocols. Traditional approaches often rely on harsh conditions that can degrade sensitive functional groups or result in complex mixtures of regioisomers that are nearly impossible to separate without expensive chromatography. Furthermore, many legacy processes utilize stoichiometric amounts of heavy metal catalysts or generate substantial quantities of acidic waste streams, creating significant bottlenecks for supply chain managers focused on environmental compliance and cost containment. The lack of a standardized, high-yield route for this specific bis-nitro fluorinated intermediate has previously forced manufacturers to rely on multi-step sequences with cumulative yield losses, thereby inflating the cost of goods sold and extending lead times for downstream polymer production.
The Novel Approach
The methodology outlined in CN101367734A circumvents these traditional pitfalls through a streamlined nucleophilic aromatic substitution strategy. By employing a specific molar ratio of 1.0:2.0~2.2 between the bisphenol substrate and the halogenated benzene derivative, the process drives the reaction to near-completion while minimizing side reactions. The use of a dual-solvent system comprising water-insoluble organics and strong polar aprotic solvents creates an ideal medium for the dissolution of reactants and the precipitation of the salt byproduct. This innovative solvent engineering not only accelerates the reaction rate at moderate temperatures of 80°C to 180°C but also facilitates the easy recovery and recycling of the solvent matrix. For procurement teams, this translates to a drastic reduction in raw material consumption per kilogram of finished product, directly impacting the bottom line through improved atom economy and reduced waste disposal costs.
Mechanistic Insights into Nucleophilic Aromatic Substitution
The core of this synthesis relies on a base-catalyzed nucleophilic aromatic substitution (SnAr) mechanism, where the phenoxide anion acts as a potent nucleophile attacking the electron-deficient aromatic ring of the 2,6-dinitro-4-trifluoromethyl halobenzene. The presence of two strong electron-withdrawing nitro groups ortho to the leaving halogen atom significantly activates the ring towards nucleophilic attack, lowering the activation energy required for the displacement of the halide. The choice of salt-forming agents, such as potassium carbonate or sodium hydroxide, is critical in generating the reactive phenoxide species in situ without causing hydrolysis of the sensitive nitro groups. This delicate balance ensures that the reaction proceeds selectively at the desired positions, preserving the integrity of the trifluoromethyl group which is essential for the final polymer's dielectric properties.
Impurity control is inherently built into the reaction design through the precise control of temperature and reaction time, which ranges from 6 to 18 hours depending on the specific halogen substituent used. The patent data indicates that extending the reaction time allows for the complete consumption of the starting materials, thereby reducing the burden on downstream purification steps. Additionally, the workup procedure involving water addition induces the precipitation of the product while keeping inorganic salts and unreacted polar impurities in the aqueous phase. This phase separation behavior is a key mechanistic advantage, as it allows for the isolation of the product with purity levels exceeding 99.0% simply through filtration and washing, eliminating the need for complex recrystallization or column chromatography that would otherwise hinder commercial scalability.
![Reaction scheme for the synthesis of 2,2-bis[3-nitro-4-(2,6-dinitro-4-trifluoromethylphenoxy)phenyl]propane via nucleophilic substitution](/insights/img/polyimide-monomer-synthesis-electronic-chemical-supplier-20260314043945-01.webp)
How to Synthesize 2,2-bis[3-nitro-4-(2,6-dinitro-4-trifluoromethylphenoxy)phenyl]propane Efficiently
Executing this synthesis requires careful attention to the mixing order and thermal profile to maximize the formation of the desired ether linkage. The process begins with the suspension of the salt-forming agent and the bisphenol in the organic solvent mixture, followed by the gradual addition of the halogenated reactant to manage the exotherm and ensure uniform mixing. Maintaining the reflux temperature within the specified window of 80°C to 180°C is crucial; temperatures that are too low may result in incomplete conversion, while excessive heat could promote decomposition of the nitro functionalities. The detailed standardized synthesis steps below outline the precise operational parameters derived from the patent examples to ensure reproducible results in a pilot or production setting.
- Charge the reactor with 2,2-bis(3-nitro-4-hydroxyphenyl)propane and 2,6-dinitro-4-trifluoromethyl halobenzene in a molar ratio of 1.0: 2.0~2.2, along with a salt-forming agent and mixed organic solvents.
- Heat the reaction mixture to reflux temperatures between 80°C and 180°C for 6 to 18 hours to facilitate water separation and complete the nucleophilic substitution.
- Concentrate the reaction solution, cool the system, add water to precipitate the solid product, then filter, wash with hot water, and dry to obtain the final crystals.
Commercial Advantages for Procurement and Supply Chain Teams
For stakeholders managing the sourcing of advanced electronic chemicals, the transition to this patented process offers profound strategic benefits beyond mere technical feasibility. The elimination of exotic catalysts and the reliance on commodity chemicals like carbonates and common organic solvents drastically simplifies the supply chain, reducing the risk of disruptions caused by the scarcity of specialized reagents. Moreover, the ability to recover and reuse the solvent system multiple times without significant loss of performance creates a closed-loop manufacturing environment that aligns perfectly with modern sustainability goals. This operational efficiency allows suppliers to offer more competitive pricing structures while maintaining healthy margins, a critical factor for procurement managers negotiating long-term contracts for high-volume polymer precursors.
- Cost Reduction in Manufacturing: The economic viability of this route is underpinned by the high atom economy and the avoidance of expensive transition metal catalysts which often require costly removal steps to meet electronic grade specifications. By utilizing inexpensive inorganic bases and readily available halogenated aromatics, the raw material cost per unit is significantly lowered compared to alternative synthetic pathways. Furthermore, the simplified workup procedure reduces labor hours and energy consumption associated with distillation and purification, contributing to substantial overall cost savings in the manufacturing of complex aromatic compounds.
- Enhanced Supply Chain Reliability: The starting materials, including various substituted phenols and halobenzenes, are produced on a massive global scale for other industries, ensuring a stable and diversified supply base. This abundance mitigates the risk of single-source dependency, allowing supply chain heads to secure consistent inventory levels even during market fluctuations. The robustness of the reaction conditions, which tolerate slight variations in reagent quality without compromising the final yield, further enhances the reliability of the production schedule, ensuring on-time delivery for downstream polymerization plants.
- Scalability and Environmental Compliance: The process operates under atmospheric pressure and avoids the generation of corrosive gases or toxic heavy metal waste, simplifying the engineering requirements for reactor design and waste treatment facilities. This inherent safety and environmental friendliness facilitate easier permitting and faster scale-up from laboratory benchtop to multi-ton commercial production. The reduction in three wastes (wastewater, waste gas, and solid waste) not only lowers disposal costs but also strengthens the company's position as a responsible manufacturer in the eyes of environmentally conscious clients and regulatory bodies.
Frequently Asked Questions (FAQ)
The following questions address common technical and commercial inquiries regarding the implementation of this synthesis route, drawing directly from the experimental data and beneficial effects described in the patent documentation. Understanding these nuances is essential for technical teams evaluating the feasibility of integrating this monomer into their existing polymer production lines. The answers provided reflect the proven capabilities of the method as demonstrated in the cited examples, offering a realistic preview of performance expectations.
Q: What is the expected yield and purity of this synthesis method?
A: According to patent CN101367734A, the method achieves high product yields ranging from 81.4% to 97.5% and purity levels exceeding 99.0%, making it highly suitable for industrial applications requiring stringent quality control.
Q: Can the solvents used in this process be recycled?
A: Yes, the process utilizes a mixed solvent system including water-insoluble organic solvents and polar aprotic solvents which can be conveniently recovered and recycled repeatedly, significantly reducing waste and environmental impact.
Q: Is this process scalable for commercial production?
A: The reaction operates under atmospheric pressure without corrosive byproducts, using readily available raw materials, which simplifies equipment requirements and facilitates easy scale-up from laboratory to commercial tonnage production.
Partnering with NINGBO INNO PHARMCHEM: Your Reliable 2,2-bis[3-nitro-4-(2,6-dinitro-4-trifluoromethylphenoxy)phenyl]propane Supplier
At NINGBO INNO PHARMCHEM, we recognize that the successful commercialization of advanced polyimide materials hinges on the availability of high-quality monomers produced via scalable and efficient routes. Our team possesses extensive experience scaling diverse pathways from 100 kgs to 100 MT/annual commercial production, ensuring that the transition from patent literature to industrial reality is seamless and risk-free. We adhere to stringent purity specifications and operate rigorous QC labs to guarantee that every batch of 2,2-bis[3-nitro-4-(2,6-dinitro-4-trifluoromethylphenoxy)phenyl]propane meets the exacting standards required for electronic and aerospace applications, providing our partners with the confidence they need to innovate.
We invite you to collaborate with us to optimize your supply chain for high-performance polymer intermediates. By engaging with our technical procurement team, you can request a Customized Cost-Saving Analysis tailored to your specific volume requirements and quality targets. We encourage potential partners to reach out for specific COA data and route feasibility assessments, allowing us to demonstrate how our mastery of this synthesis technology can drive value and efficiency in your manufacturing operations.
Engineering Bottleneck?
Can't scale up this synthesis? Upload your target structure or CAS, and our CDMO team will evaluate the industrial feasibility within 24 hours. Request Evaluation →
