Advanced Divalent Platinum Complexes for High-Efficiency White OLED Display and Lighting Applications
Advanced Divalent Platinum Complexes for High-Efficiency White OLED Display and Lighting Applications
The rapid evolution of the organic optoelectronic industry demands materials that can bridge the gap between laboratory innovation and commercial viability, particularly in the realm of white organic light-emitting diodes (WOLEDs). Patent CN112679555B introduces a groundbreaking class of broad-spectrum divalent platinum complexes that address critical efficiency and stability challenges in next-generation display and lighting technologies. This technical insight report analyzes the structural ingenuity and process scalability of these organometallic emitters, providing a roadmap for R&D directors and procurement specialists seeking reliable OLED material supplier partnerships. The patented technology leverages a unique tetradentate ligand system coordinated with a platinum center to achieve high-efficiency electroluminescent broad-spectrum phosphorescent light emission, marking a significant departure from conventional fluorescent architectures.
The Limitations of Conventional Methods vs. The Novel Approach
The Limitations of Conventional Methods
Traditional approaches to white light generation in OLED devices often rely on the combination of multiple emissive layers or the use of fluorescent materials that inherently suffer from low internal quantum efficiency due to spin statistics. Conventional fluorescent emitters can only utilize singlet excitons, theoretically limiting their internal quantum efficiency to 25%, which necessitates higher power consumption and generates excess heat in commercial display panels. Furthermore, achieving a balanced white point using multiple dopants often leads to color instability over the device lifetime, as different materials degrade at varying rates under electrical stress. The complexity of stacking multiple layers also increases the manufacturing burden and reduces the overall yield of the panel production line, creating significant bottlenecks for mass production of high-resolution displays.
The Novel Approach
The novel approach detailed in the patent utilizes a single-molecule white phosphorescent strategy based on divalent platinum complexes, which can harvest both singlet and triplet excitons to theoretically achieve 100% internal quantum efficiency. By introducing carbazole into the ligand structure through an N atom and pyrazole pyridine linkage, the inventors have created a conjugated system with proper triplet state energy levels positioned in the visible light region. This structural modification allows the phosphorescence emission peak of the obtained tetradentate ligand coordinated platinum complex to fall within the 500-600 nm range, with a half-peak width capable of reaching 100-150 nm. This broad emission spectrum eliminates the need for complex multi-layer stacking to achieve white light, thereby simplifying the device architecture and enhancing the potential for cost reduction in electronic chemical manufacturing.

Mechanistic Insights into Tetradentate Platinum Coordination
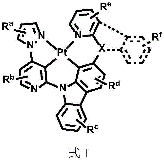
The core of this technological breakthrough lies in the precise molecular engineering of the ligand environment surrounding the platinum metal center. The chemical structure features a robust tetradentate coordination mode where one pyridine ring forms a direct C-Pt metal bond with the metal center through a carbon atom, ensuring exceptional thermal and chemical stability. This rigid coordination geometry restricts non-radiative decay pathways, which is a common failure mode in less stable organometallic emitters, thereby preserving the high phosphorescence quantum yield required for commercial display applications. The integration of the pyrazolylpyridine group facilitates a multiple multi-resonance excited state to ground state transition, which is critical for generating the broad-spectrum emission necessary for high-quality white light without color filtering losses.

Impurity control in the synthesis of such complex organometallic species is paramount for ensuring device longevity and consistent color performance. The patent describes a synthesis pathway that allows for easy purification via sublimation, a critical step for removing trace metal catalysts and organic byproducts that could act as quenching sites in the final OLED device. The ability to achieve ultra-high purity, as evidenced by liquid phase purity analysis reaching 99.86% in specific embodiments, demonstrates the feasibility of this chemistry for high-purity OLED material production standards. This level of purity is essential for preventing dark spot formation and ensuring uniform luminance across large-area display panels, addressing a key concern for supply chain heads focused on yield and quality consistency.
How to Synthesize Broad-Spectrum Platinum Complexes Efficiently
The synthesis of these high-performance emitters follows a logical progression of fragment coupling followed by metal cyclization, utilizing well-established cross-coupling reactions that are amenable to scale-up. The process begins with the construction of the functionalized ligand backbone using Suzuki or Ullmann coupling conditions, which allows for the modular introduction of various substituents to tune the electronic properties of the final complex. Following ligand formation, the metallation step involves reacting the organic precursor with a platinum source such as potassium tetrachloroplatinate in acetic acid under controlled heating conditions to form the final coordinated complex.
- Perform Suzuki or Ullmann coupling reactions to construct the functionalized pyrazolylpyridine and carbazole ligand precursors with specific substituents.
- React the purified organic ligand with a platinum source such as potassium tetrachloroplatinate in acetic acid under heated conditions.
- Purify the resulting turquoise or orange-red solid complex via silica gel column chromatography and sublimation to achieve high purity for device fabrication.
Commercial Advantages for Procurement and Supply Chain Teams
From a procurement perspective, the adoption of this single-molecule white phosphorescent technology offers substantial cost savings by reducing the number of distinct emissive materials required for a full-color or white OLED stack. The elimination of multiple dopant layers simplifies the inventory management for material suppliers and reduces the complexity of the evaporation process, leading to enhanced supply chain reliability and reduced lead time for high-purity electronic chemicals. Furthermore, the compatibility of these materials with both evaporation and solution processing methods provides manufacturers with flexibility in choosing the most cost-effective deposition technology for their specific production lines, whether they are focused on rigid displays or flexible lighting applications.
- Cost Reduction in Manufacturing: The streamlined device architecture enabled by broad-spectrum emission significantly reduces the material consumption per unit area compared to multi-dopant white OLED systems. By removing the need for expensive color filters or complex stacking sequences, manufacturers can achieve drastic simplification of the bill of materials and lower the overall cost of goods sold for display modules. The use of standard cross-coupling chemistry for ligand synthesis also leverages existing supply chains for organic intermediates, avoiding the need for exotic or prohibitively expensive reagents that often plague novel emitter development.
- Enhanced Supply Chain Reliability: The synthetic route relies on readily available starting materials such as carbazole derivatives and pyridine precursors, which are produced at scale by the global fine chemical industry. This reliance on commodity-grade building blocks mitigates the risk of supply disruptions that are common when sourcing highly specialized, low-volume custom synthons. Additionally, the robustness of the platinum complex structure ensures a longer shelf life for the raw materials, reducing waste and inventory write-offs for procurement managers managing long-term stockpiles for production runs.
- Scalability and Environmental Compliance: The purification process utilizes sublimation and standard column chromatography, which are well-understood unit operations in the fine chemical sector that can be scaled from kilogram to tonnage quantities with minimal process re-engineering. The ability to purify the material to electronic grade standards without generating excessive hazardous waste streams aligns with increasingly stringent environmental regulations in chemical manufacturing jurisdictions. This scalability ensures that the commercial scale-up of complex OLED materials can proceed smoothly from pilot plant validation to full commercial production without encountering unforeseen technical barriers.
Frequently Asked Questions (FAQ)
The following questions address common technical and commercial inquiries regarding the implementation of this divalent platinum complex technology in OLED manufacturing workflows. These insights are derived directly from the patent specifications and are intended to clarify the operational benefits and performance characteristics of the material for potential adopters.
Q: What is the primary advantage of the divalent platinum complex described in CN112679555B?
A: The complex offers broad-spectrum phosphorescent emission suitable for single-molecule white light devices, with high efficiency and stability compared to traditional fluorescent materials.
Q: Can these platinum complexes be processed using solution methods?
A: Yes, the compounds are soluble in general organic solvents, making them suitable for both evaporation and solution processing device manufacturing protocols.
Q: What is the emission wavelength range for these materials?
A: The phosphorescence emission peak is typically located in the 500-600 nm region, covering the blue-green to white light spectrum with a half-peak width exceeding 100 nm.
Partnering with NINGBO INNO PHARMCHEM: Your Reliable Divalent Platinum Complex Supplier
NINGBO INNO PHARMCHEM stands at the forefront of fine chemical manufacturing, possessing extensive experience scaling diverse pathways from 100 kgs to 100 MT/annual commercial production for high-value electronic materials. Our technical team is fully equipped to handle the synthesis and purification of complex organometallic emitters, ensuring stringent purity specifications and rigorous QC labs are utilized to meet the exacting standards of the display industry. We understand the critical nature of supply continuity for OLED manufacturers and have established robust logistics networks to ensure timely delivery of these advanced phosphorescent materials to our global partners.
We invite R&D and procurement leaders to contact our technical procurement team to request specific COA data and route feasibility assessments for your next-generation display projects. By collaborating with us, you can secure a Customized Cost-Saving Analysis that demonstrates how integrating our supply capabilities with your device architecture can optimize your overall production economics. Let us help you engineer the bottleneck out of your supply chain and accelerate the commercialization of your high-efficiency white OLED products.
Engineering Bottleneck?
Can't scale up this synthesis? Upload your target structure or CAS, and our CDMO team will evaluate the industrial feasibility within 24 hours. Request Evaluation →
