Scalable Synthesis of Quinoxaline Metabolites for Advanced Veterinary Drug Safety and Regulatory Compliance
The pharmaceutical and agrochemical industries face increasing regulatory pressure to understand the metabolic fate of veterinary drugs within animal systems. Patent CN101007786B introduces a robust chemical synthesis method for 2-[(3-phenyl)propenone]-3-methylquinoxaline, a critical metabolite of the veterinary growth promoter Quinocetone. This technical breakthrough addresses the scarcity of authentic reference standards required for residue monitoring and toxicological safety assessments. By shifting the synthetic strategy from direct reduction of the parent drug to a de novo construction from benzofurazan, the process mitigates significant safety hazards associated with traditional methods. For R&D Directors and Quality Control managers, securing a reliable supply of high-purity metabolite standards is not merely a compliance checkbox but a fundamental requirement for validating analytical methods. This report analyzes the technical merits of this patented route, demonstrating how it offers a safer, more cost-effective pathway for generating essential quinoxaline derivatives needed in global food safety monitoring programs.
The Limitations of Conventional Methods vs. The Novel Approach
The Limitations of Conventional Methods
Historically, the preparation of quinoxaline N,N-dioxide metabolites relied heavily on the direct reduction of the parent drug, Quinocetone, using sodium hydrosulfite in a mixed solvent system containing tetrahydrofuran (THF), water, and chloroform. While literature reports indicate that this legacy method can achieve high yields, it presents severe operational and economic drawbacks for modern manufacturing environments. The reliance on THF introduces significant toxicity risks, requiring specialized ventilation and waste treatment protocols that escalate operational expenditures. Furthermore, using Quinocetone as the starting material is inherently inefficient from a cost perspective, as the parent drug is a high-value finished product itself. The process also necessitates the repeated addition of reducing agents, leading to cumbersome operational procedures that are difficult to automate or scale safely. These factors collectively render the conventional route unsuitable for sustainable, large-scale production of analytical standards, creating a bottleneck for laboratories requiring consistent batches of metabolite references.
The Novel Approach
The patented methodology described in CN101007786B fundamentally reengineers the synthesis by utilizing benzofurazan as the primary building block. This strategic shift eliminates the need for toxic THF, replacing it with common, easily recoverable solvents like isopropanol and ethanol. The reaction conditions are notably milder, operating under standard reflux temperatures rather than requiring extreme conditions. By constructing the quinoxaline core from simpler precursors like acetylacetone and benzofurazan, the process decouples the cost of the metabolite from the market price of the finished veterinary drug. This approach not only simplifies the workflow by reducing the number of tedious addition steps but also enhances the environmental profile of the synthesis. For procurement teams, this translates to a supply chain that is less vulnerable to regulatory restrictions on hazardous solvents and more resilient to fluctuations in the price of complex starting materials, ensuring long-term stability for analytical supply needs.
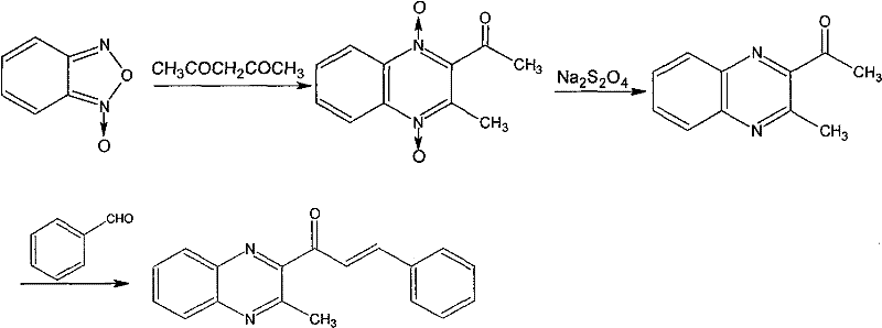
Mechanistic Insights into Benzofurazan Condensation and Reductive Deoxygenation
The core of this synthesis lies in a sophisticated three-step sequence that builds molecular complexity with high precision. The initial step involves the condensation of benzofurazan with acetylacetone catalyzed by an organic base, specifically n-propylamine, in an isopropanol medium. This reaction facilitates the formation of the quinoxaline N,N-dioxide ring system, yielding 1,4-dioxo-3-methyl-2-acetylquinoxaline. The choice of n-propylamine is critical, as it provides the necessary basicity to drive the cyclization without promoting excessive side reactions that could compromise the purity of the intermediate. Following this, the N-oxide groups are selectively removed through a reductive deoxygenation process using sodium thiosulfate in ethanol. This step is pivotal for converting the dioxide into the target quinoxaline structure without affecting the acetyl side chain, demonstrating excellent chemoselectivity. The final transformation involves a Claisen-Schmidt condensation with benzaldehyde under alkaline conditions, which installs the phenylpropenone moiety essential for the metabolite's structural identity.
Impurity control is inherently managed through the physical properties of the intermediates and the final product. Each stage of the synthesis incorporates recrystallization steps using low-carbon alcohols such as methanol or ethanol, which effectively purge side products and unreacted starting materials. The use of sodium thiosulfate as a reducing agent, rather than more aggressive metallic reductants, minimizes the introduction of heavy metal contaminants that are notoriously difficult to remove from heterocyclic compounds. This is particularly important for R&D Directors who require standards with defined impurity profiles for method validation. The mild reaction conditions prevent thermal degradation of the sensitive quinoxaline ring, ensuring that the final product exhibits the sharp melting points and consistent spectral data required for certification. By optimizing the stoichiometry of benzaldehyde and the base in the final step, the process suppresses polymerization side reactions, resulting in a final product with high structural fidelity.
![Complete three-step synthetic route from benzofurazan to 2-[(3-phenyl)propenone]-3-methylquinoxaline showing condensation, reduction, and aldol reaction](/insights/img/2-3-phenylpropenone-3-methylquinoxaline-synthesis-veterinary-supplier-20260315170920-01.png)
How to Synthesize 2-[(3-phenyl)propenone]-3-methylquinoxaline Efficiently
Implementing this synthesis in a laboratory or pilot plant setting requires strict adherence to the optimized parameters outlined in the patent data to ensure reproducibility. The process is designed to be operationally simple, utilizing standard glassware such as four-necked flasks equipped with reflux condensers and distillation units, which are ubiquitous in chemical manufacturing facilities. The initial condensation reaction typically proceeds over a period of 4 to 8 hours under reflux, after which the solvent is removed via distillation to isolate the crude dioxide intermediate. Subsequent reduction and condensation steps follow similar timelines, allowing for a complete synthesis cycle within a standard work shift. Detailed standard operating procedures regarding specific molar ratios, temperature controls, and workup protocols are essential for maintaining batch-to-batch consistency. For technical teams looking to adopt this route, the following structured guide provides the foundational steps required to execute the synthesis safely and effectively.
- Condensation of benzofurazan with acetylacetone using n-propylamine in isopropanol to form 1,4-dioxo-3-methyl-2-acetylquinoxaline.
- Reductive deoxygenation of the N-oxide intermediate using sodium thiosulfate in ethanol to yield 3-methyl-2-acetylquinoxaline.
- Claisen-Schmidt condensation of the acetylquinoxaline with benzaldehyde in the presence of sodium hydroxide to finalize the target metabolite.
Commercial Advantages for Procurement and Supply Chain Teams
From a commercial perspective, this patented synthesis route offers substantial advantages that directly impact the bottom line and supply chain reliability for chemical purchasers. By replacing expensive and toxic reagents with commodity chemicals, the overall cost of goods sold is significantly reduced without compromising quality. The elimination of THF not only lowers raw material costs but also reduces the regulatory burden associated with hazardous waste disposal, leading to further indirect savings. For Supply Chain Heads, the reliance on widely available starting materials like benzofurazan and benzaldehyde ensures that production is not held hostage by the scarcity of specialized precursors. This accessibility translates to shorter lead times and a more robust supply continuity, which is critical for laboratories that cannot afford interruptions in their testing schedules. The scalability of the process means that suppliers can rapidly ramp up production to meet surges in demand driven by new regulatory mandates.
- Cost Reduction in Manufacturing: The economic efficiency of this route is driven by the substitution of high-cost Quinocetone with low-cost benzofurazan and acetylacetone. This fundamental change in the bill of materials drastically lowers the entry barrier for production. Furthermore, the use of ethanol and isopropanol as solvents allows for efficient recovery and recycling systems, minimizing solvent consumption costs. The simplified operational procedure reduces labor hours required per batch, as there is no need for the complex, repeated additions of reducing agents seen in legacy methods. These cumulative efficiencies result in a highly competitive pricing structure for the final metabolite standard, allowing procurement managers to allocate budgets more effectively across other critical testing parameters.
- Enhanced Supply Chain Reliability: Supply chain resilience is significantly bolstered by the use of common industrial chemicals that are sourced from multiple global suppliers. Unlike specialized veterinary drugs that may have limited production capacity, benzofurazan and benzaldehyde are produced in vast quantities for various industries, ensuring a stable supply even during market disruptions. The mild reaction conditions reduce the risk of batch failures due to equipment malfunction or thermal runaway, further enhancing reliability. This stability allows suppliers to offer more consistent delivery schedules, reducing the need for purchasers to hold excessive safety stock. For global organizations, this means a standardized quality of metabolite standards across different regions, simplifying the validation of analytical methods in multiple laboratories.
- Scalability and Environmental Compliance: The environmental footprint of this synthesis is markedly lower than conventional methods, aligning with modern green chemistry principles and corporate sustainability goals. The ability to recycle chloroform and the use of less toxic alcohol solvents simplify waste treatment processes, ensuring compliance with increasingly stringent environmental regulations. The process is inherently scalable, as it does not rely on specialized high-pressure or cryogenic equipment, allowing for seamless transition from gram-scale laboratory synthesis to multi-kilogram commercial production. This scalability ensures that as the demand for veterinary drug monitoring grows, the supply of necessary standards can expand in parallel without requiring massive capital investment in new infrastructure.
Frequently Asked Questions (FAQ)
The following questions address common technical and commercial inquiries regarding the synthesis and application of this quinoxaline metabolite. These insights are derived directly from the patent specifications and are intended to clarify the operational benefits and technical capabilities of the described method. Understanding these details is crucial for stakeholders evaluating the feasibility of integrating this synthesis route into their supply chain or research workflows. The answers reflect the consensus on best practices for handling heterocyclic intermediates and ensuring the highest quality standards for analytical references.
Q: Why is the benzofurazan route preferred over direct reduction of Quinocetone?
A: The benzofurazan route avoids the use of highly toxic tetrahydrofuran (THF) and expensive Quinocetone starting materials, significantly lowering operational hazards and raw material costs while maintaining high product purity.
Q: What are the critical purity specifications for this metabolite standard?
A: High purity is essential for accurate residue analysis. The patented method utilizes recrystallization steps with low-carbon alcohols to ensure minimal impurities, meeting stringent requirements for analytical reference standards.
Q: Is this synthesis method suitable for large-scale commercial production?
A: Yes, the process utilizes common solvents like isopropanol and ethanol and standard equipment such as reflux condensers and filtration units, making it highly adaptable for commercial scale-up without specialized high-pressure reactors.
Partnering with NINGBO INNO PHARMCHEM: Your Reliable 2-[(3-phenyl)propenone]-3-methylquinoxaline Supplier
At NINGBO INNO PHARMCHEM, we recognize the critical role that high-quality metabolite standards play in ensuring food safety and regulatory compliance in the veterinary sector. Our technical team possesses extensive experience scaling diverse pathways from 100 kgs to 100 MT/annual commercial production, ensuring that we can meet your volume requirements without compromising on quality. We adhere to stringent purity specifications and utilize rigorous QC labs to verify the identity and purity of every batch of 2-[(3-phenyl)propenone]-3-methylquinoxaline we produce. Our commitment to technical excellence means that we do not just supply chemicals; we provide validated solutions that support your analytical integrity. By leveraging the efficient synthesis route described in CN101007786B, we offer a product that is both economically viable and technically superior for your residue monitoring programs.
We invite you to collaborate with us to optimize your supply chain for veterinary drug testing standards. Our team is prepared to provide a Customized Cost-Saving Analysis tailored to your specific consumption volumes and quality requirements. We encourage you to contact our technical procurement team to request specific COA data and route feasibility assessments for your projects. Whether you require small quantities for method development or large volumes for routine screening, our flexible manufacturing capabilities are designed to support your operational goals. Let us partner with you to ensure a reliable, cost-effective, and compliant supply of essential quinoxaline intermediates.
Engineering Bottleneck?
Can't scale up this synthesis? Upload your target structure or CAS, and our CDMO team will evaluate the industrial feasibility within 24 hours. Request Evaluation →
