Advanced Metalloporphyrin Catalysis for Commercial Scale Production of Nitro-Sulfone Intermediates
The pharmaceutical and fine chemical industries are constantly seeking more efficient and environmentally sustainable pathways for synthesizing critical aromatic acid intermediates. Patent CN102329256B introduces a groundbreaking method for preparing 2-nitro-4-methylsulfonylbenzoic acid through the catalytic oxidation of 2-nitro-4-methylsulfonyltoluene using metalloporphyrins. This technology represents a significant leap forward from traditional stoichiometric oxidation methods, offering a route that is not only chemically elegant but also commercially viable for large-scale manufacturing. By utilizing molecular oxygen as the terminal oxidant and trace amounts of biomimetic catalysts, this process addresses the growing regulatory and economic pressures faced by a reliable pharmaceutical intermediates supplier. The ability to operate under relatively mild conditions while achieving high conversion rates makes this patent a cornerstone for modern green chemistry initiatives in the production of complex organic acids.
The Limitations of Conventional Methods vs. The Novel Approach
The Limitations of Conventional Methods
Historically, the industrial synthesis of 2-nitro-4-methylsulfonylbenzoic acid has relied heavily on harsh chemical oxidants such as concentrated nitric acid, sodium dichromate, or potassium permanganate. These traditional methods, while effective in converting the methyl group to a carboxylic acid, suffer from severe drawbacks that impact both operational safety and cost reduction in fine chemical manufacturing. The use of concentrated nitric acid generates large volumes of toxic nitrogen oxide (NOx) gases, requiring expensive scrubbing systems to meet environmental regulations. Furthermore, processes utilizing heavy metal oxidants like sodium dichromate produce vast quantities of chromium-containing wastewater, which is classified as hazardous waste and incurs substantial disposal costs. The corrosive nature of these acidic media also necessitates the use of specialized, high-grade reactor materials, driving up capital expenditure and maintenance requirements for production facilities.
The Novel Approach
In stark contrast, the method disclosed in patent CN102329256B utilizes a metalloporphyrin-catalyzed aerobic oxidation system that fundamentally alters the economic and environmental landscape of this synthesis. By replacing stoichiometric oxidants with molecular oxygen, the process eliminates the generation of inorganic salt byproducts and toxic gas emissions, aligning perfectly with the goals of a sustainable supply chain. The catalyst, used in parts per million (ppm) concentrations, does not require complex separation or recovery steps, as it can degrade naturally or remain in the residue without causing secondary pollution. This shift from a linear, waste-generating process to a catalytic, atom-economical cycle significantly lowers the raw material costs and simplifies the downstream purification workflow. The use of methanol or ethanol as solvents further mitigates equipment corrosion issues, allowing for the use of standard stainless-steel reactors and reducing the overall cost reduction in electronic chemical manufacturing and related sectors.
Mechanistic Insights into Metalloporphyrin-Catalyzed Oxidation
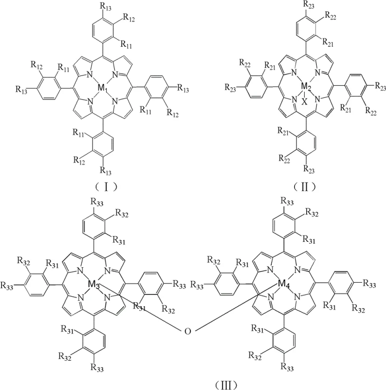
The core of this technological advancement lies in the unique electronic properties of the metalloporphyrin catalysts, which mimic the active sites of natural enzymes like cytochrome P450. These catalysts, featuring central metal ions such as iron, manganese, or cobalt coordinated within a porphyrin ring, facilitate the activation of molecular oxygen under mild conditions. The catalytic cycle involves the formation of high-valent metal-oxo species that selectively abstract hydrogen atoms from the benzylic methyl group of the substrate. This radical mechanism proceeds through a controlled oxidation pathway, converting the methyl group first to an alcohol, then to an aldehyde, and finally to the carboxylic acid without over-oxidizing the aromatic ring or damaging the sensitive nitro and sulfone substituents. The structural versatility of the porphyrin ligand allows for fine-tuning of the redox potential, ensuring high selectivity and minimizing the formation of byproducts that could complicate purification.

Impurity control is another critical aspect where this catalytic system excels, particularly for an R&D Director focused on purity and impurity profiles. Traditional strong acid oxidations often lead to nitration side reactions or hydrolysis of the sulfone group due to the harsh reaction environment. However, the neutral to mildly alkaline conditions employed in the metalloporphyrin method (using 0.5 to 3 mol/L sodium hydroxide) preserve the integrity of the functional groups. The high selectivity of the catalyst ensures that the reaction stops at the carboxylic acid stage, preventing decarboxylation or ring opening. This results in a crude product with a significantly cleaner impurity spectrum, reducing the burden on crystallization and washing steps. For the commercial scale-up of complex polymer additives and pharmaceutical intermediates, such inherent selectivity is invaluable as it translates directly into higher overall yields and reduced solvent consumption during purification.
How to Synthesize 2-Nitro-4-Methylsulfonylbenzoic Acid Efficiently
Implementing this synthesis route requires careful attention to reaction parameters to maximize the efficiency of the metalloporphyrin catalyst. The process begins with the preparation of an alkaline alcohol solution, where sodium hydroxide is dissolved in methanol or ethanol to create the reaction medium. The substrate, 2-nitro-4-methylsulfonyltoluene, is then introduced along with the catalyst, which can be a mononuclear or μ-oxo binuclear metalloporphyrin derivative. The detailed standardized synthesis steps see the guide below, which outlines the precise addition sequences and safety protocols required for handling pressurized oxygen systems. Optimizing the oxygen pressure between 0 to 3 MPa and maintaining the temperature within the 50 to 120°C range are crucial for balancing reaction rate and selectivity. This operational flexibility allows manufacturers to adapt the process to their specific equipment capabilities while maintaining high-purity API intermediates standards.
- Prepare the reaction system by dissolving sodium hydroxide in methanol or ethanol to create a 0.5 to 3 mol/L alkaline solution.
- Add 2-nitro-4-methylsulfonyltoluene substrate and introduce 1 to 500 ppm of mononuclear or binuclear metalloporphyrin catalyst.
- Pressurize with 0 to 3 MPa oxygen, maintain temperature between 50 to 120°C for 1 to 12 hours, then isolate the product via acidification.
Commercial Advantages for Procurement and Supply Chain Teams
For procurement managers and supply chain heads, the transition to this metalloporphyrin-catalyzed process offers tangible benefits that extend beyond simple chemical yield. The elimination of expensive and hazardous oxidants like sodium dichromate and concentrated nitric acid directly translates to substantial cost savings in raw material procurement. Moreover, the removal of heavy metal waste treatment requirements significantly lowers the operational expenditure associated with environmental compliance and waste disposal. The mild reaction conditions reduce energy consumption for heating and cooling, while the non-corrosive solvent system extends the lifecycle of production equipment, deferring capital replacement costs. These factors combine to create a more resilient and cost-effective supply chain, ensuring reducing lead time for high-purity intermediates and enhancing overall manufacturing reliability.
- Cost Reduction in Manufacturing: The primary driver for cost optimization in this process is the replacement of stoichiometric chemical oxidants with molecular oxygen, which is abundant and inexpensive. Traditional methods consume large molar equivalents of oxidants, generating equivalent amounts of waste salts that must be managed. By contrast, the catalytic nature of the metalloporphyrin system means that only trace amounts of catalyst are needed, and it does not need to be recovered, eliminating the cost of catalyst regeneration. Additionally, the simplified workup procedure, which avoids complex neutralization and extraction steps required for acid-based oxidations, reduces labor and utility costs. This logical deduction of cost savings makes the process highly attractive for margin-sensitive commercial production.
- Enhanced Supply Chain Reliability: Supply chain continuity is often threatened by the regulatory restrictions surrounding hazardous chemicals. The use of toxic heavy metals and strong acids in conventional routes subjects manufacturers to strict transportation and storage regulations, which can cause delays. The new method utilizes safer reagents and solvents, simplifying logistics and reducing the risk of supply disruptions due to regulatory changes. Furthermore, the robustness of the catalyst system allows for consistent batch-to-batch quality, ensuring that downstream customers receive reliable [精准的行业名词] supplier products without unexpected quality deviations. This stability is crucial for maintaining long-term contracts with global pharmaceutical clients.
- Scalability and Environmental Compliance: Scaling up chemical processes often amplifies safety and environmental risks, but this technology mitigates those concerns effectively. The use of methanol instead of corrosive fatty acids allows for the use of standard reactor materials, facilitating easier scale-up from pilot to commercial plants. The absence of NOx emissions and heavy metal effluents ensures that the process meets stringent environmental standards without requiring massive investment in end-of-pipe treatment facilities. This environmental compatibility not only future-proofs the manufacturing site against tightening regulations but also enhances the corporate sustainability profile, which is increasingly important for stakeholders and investors in the chemical industry.
Frequently Asked Questions (FAQ)
The following questions address common technical and commercial inquiries regarding the implementation of this metalloporphyrin oxidation technology. These answers are derived directly from the patent data and practical considerations for industrial application, providing clarity for decision-makers evaluating this route. Understanding the nuances of catalyst selection, reaction safety, and product quality is essential for successfully integrating this method into an existing production portfolio. The insights provided here aim to bridge the gap between laboratory innovation and commercial reality, ensuring that all stakeholders have a clear understanding of the value proposition.
Q: How does metalloporphyrin catalysis improve environmental compliance compared to traditional nitric acid oxidation?
A: Traditional methods utilize concentrated nitric acid and toxic vanadium pentoxide, generating hazardous NOx gases and heavy metal waste. The patented metalloporphyrin method employs molecular oxygen as a clean oxidant and ppm-level catalysts that do not require complex recovery, drastically reducing toxic effluent and eliminating the need for expensive waste treatment infrastructure.
Q: What are the scalability advantages of using methanol over fatty acid solvents in this oxidation process?
A: Conventional liquid-phase air oxidation often relies on fatty acids like acetic acid, which cause severe corrosion to reactor equipment under high temperature and pressure. By utilizing methanol or ethanol as the solvent, this novel process operates under milder conditions with significantly reduced corrosivity, extending equipment lifespan and lowering maintenance costs for large-scale commercial production.
Q: Can this catalytic system maintain selectivity for the methyl group without affecting the nitro or sulfone functionalities?
A: Yes, the specific electronic structure of the metalloporphyrin catalysts, particularly those with iron, manganese, or cobalt centers, allows for highly selective activation of the benzylic methyl group. This ensures that the sensitive nitro and sulfone groups remain intact, resulting in a cleaner impurity profile and higher yields of the target 2-nitro-4-methylsulfonylbenzoic acid.
Partnering with NINGBO INNO PHARMCHEM: Your Reliable 2-Nitro-4-Methylsulfonylbenzoic Acid Supplier
At NINGBO INNO PHARMCHEM, we recognize the critical importance of adopting advanced synthetic methodologies to maintain competitiveness in the global market. Our technical team has extensively evaluated the metalloporphyrin-catalyzed oxidation route described in patent CN102329256B and confirmed its potential for robust commercial manufacturing. We possess extensive experience scaling diverse pathways from 100 kgs to 100 MT/annual commercial production, ensuring that the transition from lab-scale optimization to full-scale manufacturing is seamless and efficient. Our facilities are equipped with stringent purity specifications and rigorous QC labs to guarantee that every batch of 2-nitro-4-methylsulfonylbenzoic acid meets the highest international standards for pharmaceutical intermediates.
We invite potential partners to collaborate with us to leverage this technology for their specific supply chain needs. By engaging with our technical procurement team, you can request a Customized Cost-Saving Analysis that quantifies the economic benefits of switching to this greener synthesis route. We encourage you to contact us to obtain specific COA data and route feasibility assessments tailored to your project requirements. Our commitment to innovation and quality ensures that we are not just a vendor, but a strategic partner dedicated to optimizing your chemical supply chain for the future.
Engineering Bottleneck?
Can't scale up this synthesis? Upload your target structure or CAS, and our CDMO team will evaluate the industrial feasibility within 24 hours. Request Evaluation →
