Advanced Manufacturing of High-Purity Imidacloprid Intermediates for Global Agrochemical Supply Chains
The global demand for high-efficiency neonicotinoid insecticides continues to drive innovation in the synthesis of their critical heterocyclic intermediates. Patent CN1182135C, filed in late 2004, discloses a transformative method for preparing compounds of formula (I), which serve as the structural backbone for major agrochemical active ingredients. This technology addresses long-standing bottlenecks in the alkylation of heterocyclic amines, specifically targeting the production of N-(6-chloro-3-pyridylmethyl) derivatives. For R&D directors and procurement strategists, this patent represents a pivotal shift from laborious, low-yield protocols to a robust, scalable process that leverages crude reagent mixtures. By eliminating the need for expensive purification of the chloromethyl pyridine feedstock, the method offers a compelling value proposition for reliable agrochemical intermediate supplier networks seeking to optimize their manufacturing footprint. The following analysis dissects the technical nuances of this invention, highlighting its potential to redefine cost reduction in agrochemical intermediate manufacturing through superior process chemistry.
The Limitations of Conventional Methods vs. The Novel Approach
The Limitations of Conventional Methods
Prior to this innovation, the synthesis of unsaturated heterocyclic compounds typically relied on alkylation strategies described in earlier literature, such as EP-A-259738. These conventional approaches often suffered from significant drawbacks, primarily centered around the necessity of using highly purified starting materials and harsh reaction conditions. Traditional methods frequently required proton-inert solvents and rigorous exclusion of moisture, which escalated operational costs and complicated scale-up procedures. Furthermore, the isolation of the desired product from these reactions was notoriously difficult, often necessitating complex chromatographic separations or multiple recrystallization steps to achieve acceptable purity levels. The yields obtained through these legacy processes were frequently unsatisfactory, leading to substantial material loss and increased waste generation. For large-scale manufacturers, these inefficiencies translated into higher production costs and inconsistent supply reliability, creating a pressing need for a more streamlined synthetic route that could tolerate industrial-grade reagents.
The Novel Approach
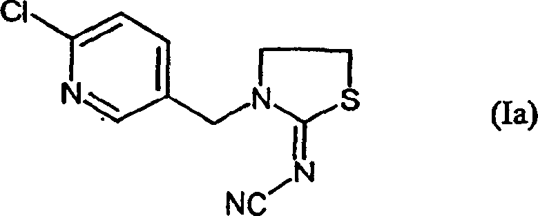
The methodology outlined in CN1182135C introduces a paradigm shift by enabling the direct use of a mixture containing both 2-chloro-5-chloromethylpyridine (CCMP) and 2-chloro-5-methylpyridine (CMP). This is a critical breakthrough, as the separation of these two structurally similar pyridine derivatives is technically challenging and economically burdensome. By reacting the heterocyclic precursor of formula (II) directly with this crude mixture in the presence of a base and a diluent, the process achieves surprisingly high yields and selectivity. The reaction proceeds smoothly in protic solvents like alcohols, which not only simplifies the reaction setup but also facilitates the direct crystallization of the product. As illustrated below, the target structure (Ia) is formed with high fidelity, demonstrating the robustness of this new alkylation strategy against potential side reactions.

This novel approach effectively bypasses the purification bottlenecks of the past, allowing manufacturers to utilize cost-effective feedstocks without compromising the quality of the final high-purity agrochemical intermediate. The ability to operate in alcoholic media further enhances the environmental profile of the process by reducing reliance on hazardous aprotic solvents.
Mechanistic Insights into Base-Mediated Heterocyclic Alkylation
The core of this synthetic advancement lies in the precise control of nucleophilic substitution dynamics within a heterogeneous or semi-heterogeneous reaction system. The mechanism involves the deprotonation of the heterocyclic nitrogen atom in the starting material, such as 2-cyanoiminothiazolidine shown below, by a mild inorganic base like potassium carbonate. This deprotonation generates a reactive nucleophilic species that attacks the chloromethyl group of the pyridine derivative. The choice of base is critical; strong bases might induce decomposition or polymerization, whereas the selected carbonates or hydroxides provide the optimal basicity to drive the reaction forward without degrading the sensitive cyanoimino functionality.

Furthermore, the solvent system plays a dual role in stabilizing the transition state and managing the solubility of the ionic intermediates. In alcoholic solvents like n-butanol, the reaction mixture maintains a balance where the organic substrates remain soluble while the inorganic salts can be easily separated post-reaction. The presence of the CMP (2-chloro-5-methylpyridine) in the feedstock acts essentially as an inert diluent in this specific transformation, as it lacks the reactive chloromethyl group required for alkylation under these conditions. This tolerance to impurities is a hallmark of a mature industrial process, ensuring that minor variations in feedstock quality do not derail the production batch. The mechanism also accounts for the suppression of bis-alkylation, a common impurity in such reactions, by carefully controlling the stoichiometry and temperature profile, thereby ensuring a clean impurity profile suitable for downstream formulation.
How to Synthesize N-(6-Chloro-3-pyridylmethyl) Derivatives Efficiently
The practical implementation of this patent involves a straightforward sequence of mixing, heating, and crystallization that is highly amenable to standard reactor configurations. The process begins with the suspension of the heterocyclic amine and the base in the chosen solvent, followed by the controlled addition of the pyridine mixture. Temperature control is maintained between 60°C and 100°C depending on the specific solvent boiling point, ensuring complete conversion within a reasonable timeframe of 3 to 12 hours. Detailed standardized synthesis steps see the guide below.
- Suspend the heterocyclic starting material (e.g., 2-cyanoiminothiazolidine) and a base like potassium carbonate in a solvent such as n-butanol.
- Add the CCMP/CMP mixture (2-chloro-5-chloromethylpyridine/2-chloro-5-methylpyridine) gradually while maintaining temperature between 60°C and 75°C.
- Perform aqueous workup by adding water, separating phases, and cooling the organic layer to crystallize the high-purity product.
Commercial Advantages for Procurement and Supply Chain Teams
For procurement managers and supply chain heads, the adoption of this technology translates into tangible strategic benefits that extend beyond simple yield improvements. The primary advantage lies in the drastic simplification of the raw material supply chain. By removing the requirement for purified 2-chloro-5-chloromethylpyridine, manufacturers can source cheaper, crude chlorination mixtures directly from upstream suppliers. This eliminates an entire unit operation—the distillation and purification of the pyridine feedstock—thereby reducing capital expenditure and energy consumption significantly. The qualitative reduction in processing steps inherently lowers the risk of production delays and equipment downtime, fostering a more resilient supply chain capable of meeting fluctuating market demands for insecticide intermediates.
- Cost Reduction in Manufacturing: The elimination of the feedstock purification step results in substantial cost savings by reducing energy usage and solvent losses associated with distillation. Additionally, the use of inexpensive inorganic bases like potassium carbonate instead of costly organic bases or metal catalysts further drives down the variable cost per kilogram. The high yield reported in the examples minimizes raw material waste, ensuring that a greater proportion of input mass is converted into saleable product, which directly improves the gross margin profile for the manufacturing site.
- Enhanced Supply Chain Reliability: Sourcing crude CCMP/CMP mixtures is logistically simpler and less prone to disruption than sourcing high-purity specialty chemicals. This flexibility allows procurement teams to qualify multiple suppliers for the pyridine feedstock, reducing dependency on single-source vendors. The robustness of the reaction to water content and impurities means that production schedules are less likely to be impacted by minor variations in raw material specifications, ensuring consistent on-time delivery to downstream formulators.
- Scalability and Environmental Compliance: The process utilizes solvents like n-butanol and nitriles which are well-understood in industrial settings and can be efficiently recovered and recycled. The workup procedure, involving simple phase separation and crystallization, avoids the generation of complex aqueous waste streams that require expensive treatment. This aligns with modern green chemistry principles, facilitating easier regulatory approval and reducing the environmental footprint of the manufacturing facility, which is increasingly critical for maintaining social license to operate.
Frequently Asked Questions (FAQ)
The following questions address common technical inquiries regarding the implementation of this patented process, derived from the specific experimental data and claims within the document. These insights are intended to clarify the operational parameters and quality expectations for potential licensees or manufacturing partners looking to adopt this technology for commercial production.
Q: What is the primary advantage of using the CCMP/CMP mixture directly?
A: The patent demonstrates that separating 2-chloro-5-chloromethylpyridine from 2-chloro-5-methylpyridine is unnecessary. Using the crude mixture directly significantly reduces raw material costs and processing time while maintaining high selectivity for the desired alkylated product.
Q: Which solvents are optimal for this alkylation reaction?
A: The process favors water-immiscible or partially miscible alcohols like n-butanol or nitriles such as n-propionitrile. These solvents facilitate easy phase separation during workup and allow for direct crystallization of the product with high purity.
Q: How does this method improve impurity profiles compared to prior art?
A: By controlling the pH and using specific bases like potassium carbonate in alcoholic media, the formation of quaternary ammonium by-products is minimized. This results in a cleaner crude product that requires less intensive purification steps.
Partnering with NINGBO INNO PHARMCHEM: Your Reliable Imidacloprid Intermediate Supplier
At NINGBO INNO PHARMCHEM, we recognize the transformative potential of the chemistry described in CN1182135C for the global agrochemical sector. As a leading CDMO partner, we possess extensive experience scaling diverse pathways from 100 kgs to 100 MT/annual commercial production, ensuring that laboratory innovations are seamlessly translated into industrial reality. Our facilities are equipped with stringent purity specifications and rigorous QC labs capable of validating the high-quality standards required for neonicotinoid intermediates. We understand that consistency is key in the agrochemical supply chain, and our process engineering teams are dedicated to optimizing every parameter of this alkylation route to maximize efficiency and minimize variability.
We invite you to collaborate with us to leverage this advanced synthetic route for your product portfolio. Contact our technical procurement team today to request a Customized Cost-Saving Analysis tailored to your specific volume requirements. We are prepared to provide specific COA data and route feasibility assessments to demonstrate how our implementation of this patented technology can enhance your competitive position in the market. Let us help you secure a sustainable and cost-effective supply of critical heterocyclic intermediates.
