Advanced Chemical Synthesis of L-Glufosinate-Ammonium for Global Herbicide Manufacturing
Advanced Chemical Synthesis of L-Glufosinate-Ammonium for Global Herbicide Manufacturing
The global agrochemical industry is currently witnessing a significant paradigm shift towards high-efficiency, single-isomer herbicides, driven by the urgent need to reduce environmental load and application rates. At the forefront of this transition is L-glufosinate-ammonium, the biologically active L-enantiomer of the broad-spectrum herbicide glufosinate, which exhibits twice the herbicidal activity of its racemic DL-counterpart. Recent intellectual property developments, specifically patent CN111793085B, have unveiled a groundbreaking chemical synthesis pathway that addresses the longstanding challenges of cost, complexity, and scalability associated with producing this critical molecule. This novel methodology leverages a sophisticated free-radical addition strategy coupled with a chiral pool approach, effectively bypassing the need for expensive chiral catalysts or inefficient resolution steps that have historically plagued the sector.

For procurement directors and supply chain managers overseeing the production of non-selective contact herbicides, the implications of this technology are profound. By enabling the direct synthesis of the L-isomer with high atom economy and exceptional optical purity, this process promises to drastically lower the cost of goods sold (COGS) while ensuring a more reliable supply of high-purity intermediates. The method described in the patent utilizes readily available raw materials and operates under moderate thermal conditions, suggesting a seamless integration into existing fine chemical manufacturing infrastructure. As we delve deeper into the technical specifics, it becomes evident that this route represents not just an incremental improvement, but a transformative leap forward for reliable agrochemical intermediate supplier networks aiming to meet the rigorous demands of modern sustainable agriculture.
The Limitations of Conventional Methods vs. The Novel Approach
The Limitations of Conventional Methods
Historically, the industrial production of L-glufosinate-ammonium has been hindered by significant technical and economic bottlenecks inherent in traditional synthetic strategies. The most common legacy approach involves the chemical synthesis of racemic DL-glufosinate followed by a chiral resolution step to isolate the active L-enantiomer. This resolution process is fundamentally inefficient, as it theoretically discards 50% of the produced material (the inactive D-isomer), leading to poor atom economy and inflated raw material costs. Furthermore, alternative biological methods, such as enzymatic transamination or protease-catalyzed hydrolysis, while selective, often suffer from low substrate tolerance, slow reaction kinetics, and the high cost of biocatalysts, making them difficult to scale for the massive volumes required by the global herbicide market. These conventional pathways frequently result in complex purification trains to remove enzyme residues or resolution reagents, thereby increasing waste generation and complicating regulatory compliance for environmental discharge.
The Novel Approach
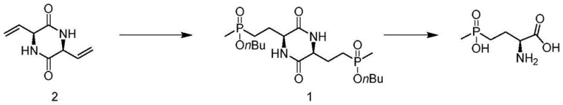
In stark contrast to these legacy limitations, the methodology disclosed in patent CN111793085B introduces a streamlined, two-step chemical sequence that elegantly circumvents the need for external chiral induction or wasteful resolution. The core innovation lies in the utilization of a chiral diketopiperazine derivative, specifically 2,5-diallyl-3,6-diketopiperazine, as the starting scaffold. This substrate inherently possesses the necessary stereochemical information, which is faithfully transferred to the final product through a radical-mediated phosphonylation reaction. By reacting this cyclic diamide with a methylphosphinate ester in the presence of a radical initiator, the process constructs the carbon-phosphorus bond with high regioselectivity and retention of configuration. This approach not only simplifies the synthetic route by reducing the number of unit operations but also significantly enhances the overall yield profile, achieving total yields approaching 90% in optimized examples, a figure that is exceptionally competitive for multi-step fine chemical synthesis.

Mechanistic Insights into Free Radical Phosphonylation
The mechanistic elegance of this synthesis rests on a controlled free-radical chain reaction that facilitates the anti-Markovnikov addition of the P-H bond across the terminal alkene of the substrate. The reaction is initiated by the thermal decomposition of organic peroxides, such as tert-butyl peroxybenzoate, which generates reactive radical species capable of abstracting a hydrogen atom from the methylphosphinate ester (Formula III). This abstraction creates a nucleophilic phosphorus-centered radical that subsequently attacks the electron-deficient double bond of the allyl group on the diketopiperazine ring. The choice of initiator is critical; the patent data indicates that tert-butyl peroxybenzoate provides superior results compared to other peresters, likely due to its specific half-life at the operating temperature of 90-110°C, which ensures a steady flux of radicals without inducing excessive side reactions or polymerization of the alkene moieties. This precise control over the radical propagation phase is what allows for the high conversion rates observed in the experimental data.
Following the successful construction of the C-P bond, the intermediate undergoes a rigorous hydrolysis step to reveal the final amino acid functionality. This second stage involves the cleavage of the cyclic amide bonds in the diketopiperazine ring using strong mineral acids like hydrochloric acid under reflux conditions. The hydrolysis mechanism proceeds through protonation of the carbonyl oxygens, rendering the amide carbons susceptible to nucleophilic attack by water molecules, eventually opening the ring to yield the linear L-glufosinate structure. Crucially, the acidic conditions are optimized to prevent racemization of the chiral center adjacent to the carboxylic acid, preserving the high enantiomeric excess (ee value) established in the first step. The patent reports ee values consistently above 96%, demonstrating that the stereochemical integrity of the starting material is robustly maintained throughout the harsh acidic environment, a testament to the stability of the chiral pool strategy employed.
How to Synthesize L-Glufosinate-Ammonium Efficiently
Implementing this synthesis route requires careful attention to reaction parameters, particularly temperature control and stoichiometry, to maximize the yield of the intermediate phosphinate ester. The process begins by combining the chiral diketopiperazine substrate with an excess of the methylphosphinate ester, typically in a molar ratio ranging from 2:1 to 8:1, under an inert nitrogen atmosphere to prevent oxidative degradation of the radical intermediates. Upon heating the mixture to the optimal range of 90-110°C, the radical initiator is introduced, triggering the exothermic addition reaction. Once the starting materials are consumed, the crude intermediate can be isolated or telescoped directly into the hydrolysis step, where treatment with aqueous acid converts the protected intermediate into the final ammonium salt. For a detailed breakdown of the specific operational parameters and safety protocols, please refer to the standardized guide below.
- React 2,5-diallyl-3,6-diketopiperazine with n-butyl methylphosphinate in the presence of a radical initiator like tert-butyl peroxybenzoate at 90-110°C.
- Isolate the intermediate phosphinate ester or proceed directly to the next step without purification to maximize throughput.
- Perform acidic hydrolysis using mineral acids such as HCl at elevated temperatures to cleave the ring and yield L-glufosinate-ammonium.
Commercial Advantages for Procurement and Supply Chain Teams
From a strategic sourcing perspective, this patented methodology offers compelling advantages that directly address the pain points of cost volatility and supply insecurity in the agrochemical sector. By eliminating the need for costly chiral catalysts or the disposal of 50% of the product mass via resolution, the process fundamentally alters the cost structure of L-glufosinate production. The reliance on commodity chemicals such as methylphosphinic acid esters and simple peroxides further insulates the supply chain from the price fluctuations associated with precious metal catalysts or specialized enzymes. This shift towards a purely chemical synthesis using abundant feedstocks ensures a more predictable and stable pricing model for downstream formulators, allowing for better long-term budget planning and margin protection in a competitive herbicide market.
- Cost Reduction in Manufacturing: The economic benefits of this route are driven primarily by the drastic simplification of the purification workflow and the elimination of chiral resolution losses. Traditional resolution methods inherently cap the maximum theoretical yield at 50%, requiring the recycling or disposal of the unwanted isomer, which adds significant processing costs and waste management fees. In contrast, this radical addition route utilizes the chirality of the starting material to drive the synthesis directly to the desired L-isomer, effectively doubling the material efficiency relative to resolution-based processes. Furthermore, the ability to telescope the reaction steps without isolating the intermediate reduces solvent consumption, energy usage for drying, and labor hours, cumulatively resulting in substantial cost savings per kilogram of active ingredient produced.
- Enhanced Supply Chain Reliability: Supply continuity is often jeopardized when manufacturing processes rely on niche biocatalysts or complex chiral ligands that have limited global suppliers. This new method mitigates such risks by utilizing a robust chemical toolkit where all key reagents, including the radical initiators and phosphorus sources, are widely available from multiple chemical vendors globally. The reaction conditions are also forgiving, operating at moderate temperatures that do not require specialized cryogenic cooling or ultra-high-pressure reactors, meaning the process can be easily replicated across different manufacturing sites worldwide. This flexibility enhances supply chain resilience, ensuring that production schedules remain uninterrupted even if a single supplier of a specific reagent faces temporary disruptions.
- Scalability and Environmental Compliance: Scaling chemical processes from the laboratory to multi-tonne production often reveals hidden inefficiencies, but the linear nature of this radical chain reaction suggests excellent scalability potential. The absence of heavy metal catalysts simplifies the impurity profile of the final product, reducing the burden on quality control laboratories to test for trace metal residues, which is a stringent requirement for agrochemical registration in many jurisdictions. Additionally, the improved atom economy means less chemical waste is generated per unit of product, aligning with increasingly strict environmental regulations regarding effluent discharge. The process generates fewer by-products compared to multi-step chiral syntheses, facilitating easier wastewater treatment and lowering the overall environmental footprint of the manufacturing facility.
Frequently Asked Questions (FAQ)
The following questions address common technical inquiries regarding the implementation and optimization of this synthesis pathway, derived directly from the experimental data and claims within the patent documentation. Understanding these nuances is essential for process chemists and technical buyers evaluating the feasibility of adopting this technology for their own production lines. The answers provided reflect the specific conditions and outcomes reported in the patent examples, offering a realistic view of the process capabilities.
Q: What is the primary advantage of this synthesis route over biological methods?
A: Unlike enzymatic methods which often suffer from low substrate tolerance and difficult separation, this chemical radical addition route offers robust reaction conditions, higher yields, and eliminates the need for expensive chiral catalysts by utilizing a chiral pool substrate.
Q: How is high optical purity (ee value) achieved without chiral catalysis?
A: The high enantiomeric excess (up to 98% ee) is inherent to the starting material, 2,5-diallyl-3,6-diketopiperazine. The stereochemistry is preserved throughout the radical addition and subsequent hydrolysis, avoiding the 50% yield loss typical of racemic resolution processes.
Q: Can this process be scaled for industrial herbicide production?
A: Yes, the process utilizes standard radical chemistry conditions (60-140°C) and commercially available initiators, making it highly suitable for large-scale commercialization without requiring specialized cryogenic or high-pressure equipment.
Partnering with NINGBO INNO PHARMCHEM: Your Reliable L-Glufosinate-Ammonium Supplier
As the demand for high-efficiency, environmentally friendly herbicides continues to surge, the ability to manufacture L-glufosinate-ammonium via efficient, scalable routes becomes a critical competitive advantage. NINGBO INNO PHARMCHEM stands ready to support your development and commercialization goals, leveraging our extensive experience scaling diverse pathways from 100 kgs to 100 MT/annual commercial production. Our state-of-the-art facilities are equipped to handle the specific thermal and safety requirements of radical chemistry, ensuring that the transition from pilot scale to full commercial manufacturing is seamless and compliant with international safety standards. We maintain stringent purity specifications and operate rigorous QC labs to guarantee that every batch of intermediate meets the exacting requirements of global agrochemical registrars.
We invite you to engage with our technical procurement team to discuss how this innovative synthesis route can be integrated into your supply chain to drive down costs and improve product quality. By requesting a Customized Cost-Saving Analysis, you can gain a clearer understanding of the economic impact of switching to this high-yield process. We encourage potential partners to contact us directly to obtain specific COA data from our recent pilot runs and to discuss route feasibility assessments tailored to your specific volume requirements and timeline constraints.
