Scalable Synthesis Of Novel Tricyclic Derivatives For High Purity Colchicine And Thiocolchicine Production
Introduction To Advanced Tricyclic Synthesis Technologies
The pharmaceutical industry continuously seeks more efficient pathways for synthesizing complex natural product derivatives, particularly those serving as critical intermediates for anti-inflammatory and anti-mitotic agents. Patent CN1067044C introduces a sophisticated methodology for preparing novel tricyclic derivatives that serve as pivotal precursors in the synthesis of optically active or racemic colchicine and thiocolchicine. This technology represents a significant leap forward in fine chemical manufacturing, addressing long-standing challenges in constructing the unique seven-membered ring system fused to an aromatic core. By leveraging specific protecting group strategies and controlled Lewis acid catalysis, the process enables the production of high-purity intermediates with superior regioselectivity. For R&D directors and procurement specialists, understanding the nuances of this patent is essential for securing a reliable supply chain of these high-value pharmaceutical intermediates.
The Limitations of Conventional Methods vs. The Novel Approach
The Limitations of Conventional Methods
Traditional synthetic routes toward colchicine analogues often suffer from poor regiocontrol during the formation of the seven-membered ring, leading to complex mixtures of isomers that are costly and difficult to separate. Conventional methods frequently rely on harsh acidic conditions or expensive transition metal catalysts that can degrade sensitive functional groups or leave behind toxic metal residues requiring extensive purification. Furthermore, the lack of effective protecting group strategies in older methodologies often results in non-selective alkylation of phenolic hydroxyls, drastically reducing overall yield and complicating downstream processing. These inefficiencies translate directly into higher manufacturing costs and extended lead times, creating bottlenecks for pharmaceutical companies aiming to scale production of anti-gout and anti-cancer therapeutics.
The Novel Approach
The methodology outlined in the patent overcomes these hurdles through a streamlined sequence involving enamine acylation followed by precise Lewis acid-mediated cyclization. This approach utilizes readily available reagents such as morpholine-derived enamines and tin tetrachloride to construct the tricyclic benzo[e]azulene core under mild conditions.
. The introduction of specific sulfonate or boron-based protecting groups allows for the selective manipulation of hydroxyl functionalities, ensuring that subsequent reactions occur exclusively at the desired positions. This level of control not only enhances the purity of the final intermediate but also simplifies the purification workflow, making the process inherently more robust and scalable for industrial applications compared to legacy techniques.
Mechanistic Insights Into Lewis Acid-Catalyzed Cyclization And Rearrangement
The core of this synthetic innovation lies in the mechanistic precision of the cyclization step, where a linear precursor is transformed into the rigid tricyclic framework. The reaction proceeds via the activation of an acyl halide intermediate by a Lewis acid, such as iron chloride or tin tetrachloride, which facilitates an intramolecular Friedel-Crafts acylation. This step is critical as it establishes the connectivity between the aliphatic chain and the aromatic ring, forming the foundational seven-membered ring of the azulene system. The choice of Lewis acid is paramount; milder acids prevent the decomposition of acid-sensitive moieties while still providing sufficient electrophilic activation to drive the cyclization to completion with high efficiency.
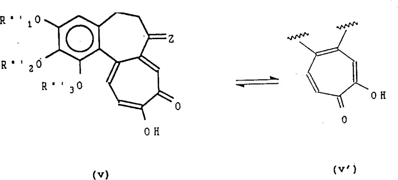
Following the formation of the tricyclic ketone, the process involves a sophisticated rearrangement to generate the tropolone moiety characteristic of colchicine. This transformation typically involves bromination followed by base-mediated elimination and rearrangement, establishing the conjugated seven-membered ring system with a ketone functionality.
. The patent highlights the existence of dynamic tautomeric equilibria in these intermediates, which must be carefully managed to isolate the desired isomer. Understanding this equilibrium is vital for R&D teams, as it dictates the conditions required for crystallization and purification, ensuring that the final product meets stringent pharmacopeial standards for isomeric purity.
How to Synthesize Tricyclic Colchicine Intermediates Efficiently
Executing this synthesis requires strict adherence to the reaction parameters defined in the patent to maximize yield and minimize impurity formation. The process begins with the preparation of the enamine reagent, followed by acylation and the critical cyclization step. Operators must maintain precise temperature control, particularly during the addition of Lewis acids, to prevent exothermic runaways that could compromise product quality. Subsequent steps involve careful manipulation of protecting groups to unveil the necessary hydroxyl patterns for final coupling. The detailed standardized synthesis steps see the guide below for specific operational protocols regarding reagent grades and workup procedures.
- Prepare the enamine reagent by reacting cyclopentanone with a secondary amine like morpholine in the presence of an acid catalyst.
- React the corresponding carboxylic acid halide with the enamine to form the acylated intermediate, followed by Lewis acid cyclization using tin tetrachloride or iron chloride.
- Perform the rearrangement to the benzo[a]heptalene tropolone system using brominating agents and base-mediated elimination to establish the core seven-membered ring.
Commercial Advantages for Procurement and Supply Chain Teams
For procurement managers and supply chain heads, the adoption of this synthetic route offers tangible benefits in terms of cost stability and supply reliability. The reliance on commodity chemicals such as thionyl chloride, cyclopentanone, and common Lewis acids means that raw material sourcing is not dependent on exotic or single-source suppliers, thereby mitigating supply chain risks. The elimination of expensive transition metal catalysts removes the need for costly heavy metal scavenging steps, which significantly reduces both material costs and waste disposal expenses. This streamlined chemistry translates into a more predictable cost structure for the final intermediates, allowing pharmaceutical buyers to negotiate better long-term contracts with greater confidence in price stability.
- Cost Reduction in Manufacturing: The process achieves cost optimization primarily through the use of inexpensive, bulk-available reagents and the avoidance of complex chromatographic purifications. By employing selective protecting groups, the synthesis minimizes the formation of byproducts, which increases the overall yield and reduces the volume of solvent and silica gel required for purification. This efficiency gain lowers the cost of goods sold (COGS) significantly, making the production of high-purity colchicine intermediates more economically viable for generic drug manufacturers seeking to enter the market with competitive pricing.
- Enhanced Supply Chain Reliability: The robustness of the chemical transformations described ensures consistent batch-to-batch quality, which is critical for maintaining uninterrupted API production schedules. Since the reaction conditions are not overly sensitive to minor fluctuations in temperature or pressure, the process is highly transferable between different manufacturing sites. This flexibility allows supply chain managers to diversify their supplier base without compromising on product specifications, ensuring that critical medicines remain available even if one production facility faces operational disruptions.
- Scalability and Environmental Compliance: The synthetic route is designed with scalability in mind, utilizing solvents like dichloromethane and toluene that are well-understood in large-scale reactor operations. Furthermore, the reduction in hazardous waste generation, due to higher selectivity and fewer purification steps, aligns with increasingly stringent environmental regulations. This compliance reduces the regulatory burden on manufacturers and prevents potential production halts due to environmental non-compliance, securing the long-term viability of the supply chain for these essential pharmaceutical ingredients.
Frequently Asked Questions (FAQ)
The following questions address common technical and commercial inquiries regarding the implementation of this patented technology. These insights are derived directly from the experimental data and claims within the patent documentation, providing a clear picture of the process capabilities. Understanding these details helps stakeholders make informed decisions regarding technology transfer and vendor qualification.
Q: What are the key advantages of the Lewis acid cyclization method described in CN1067044C?
A: The use of Lewis acids such as tin tetrachloride or iron chloride allows for mild cyclization conditions compared to traditional strong acid methods, significantly reducing side reactions and improving the purity of the tricyclic ketone intermediate.
Q: How does this process address the challenge of regioselectivity in colchicine synthesis?
A: The patent utilizes specific protecting group strategies, such as sulfonate esters or boron complexes, to selectively mask hydroxyl groups. This ensures that subsequent alkylation or acylation occurs at the desired position on the aromatic ring, preventing the formation of difficult-to-separate isomers.
Q: Is this synthetic route suitable for large-scale commercial production?
A: Yes, the process relies on commercially available reagents like thionyl chloride, morpholine, and standard Lewis acids. The reaction conditions, typically ranging from 0°C to reflux in common solvents like dichloromethane or toluene, are highly adaptable to industrial reactor setups.
Partnering with NINGBO INNO PHARMCHEM: Your Reliable Colchicine Intermediate Supplier
NINGBO INNO PHARMCHEM stands at the forefront of translating complex patent technologies like CN1067044C into commercial reality. Our technical team possesses extensive experience scaling diverse pathways from 100 kgs to 100 MT/annual commercial production, ensuring that the intricate Lewis acid cyclization and rearrangement steps are executed with precision. We maintain stringent purity specifications and operate rigorous QC labs equipped to analyze the complex tautomeric mixtures inherent to tropolone chemistry, guaranteeing that every batch meets the exacting standards required for pharmaceutical grade intermediates.
We invite you to engage with our technical procurement team to discuss how we can tailor this synthesis to your specific volume requirements. By requesting a Customized Cost-Saving Analysis, you can quantify the potential economic benefits of switching to this more efficient route. We encourage you to contact us today to obtain specific COA data and route feasibility assessments, ensuring your supply chain is built on a foundation of chemical excellence and reliability.
