Advanced Synthesis of Novel Pyrimidine Neuraminidase Inhibitors for Commercial API Manufacturing
The global pharmaceutical landscape is constantly evolving in response to emerging viral threats, particularly influenza strains that develop resistance to existing treatments. Patent CN115232079A introduces a significant breakthrough in this domain by disclosing a novel class of pyrimidine-based neuraminidase inhibitors. These compounds are designed to effectively block the neuraminidase enzyme, a critical glycoprotein on the influenza virus envelope responsible for viral release and spread. Unlike traditional inhibitors that may suffer from complex synthesis or high costs, this new chemical entity offers a robust scaffold with demonstrated efficacy. The core structure, designated as Formula (I), features a unique combination of a pyrimidine heterocycle linked to a cinnamyl-derived side chain and a substituted phenethyl amide tail. This structural novelty not only enhances binding affinity but also opens new avenues for structure-activity relationship (SAR) exploration in antiviral drug discovery.

For research and development directors focusing on pipeline expansion, the accessibility of this scaffold is paramount. The patent details a comprehensive preparation method that avoids the use of exotic catalysts or extreme conditions, making it highly attractive for process chemistry teams. The synthesis strategy leverages well-understood organic transformations, ensuring that the transition from laboratory bench to pilot plant is seamless. By targeting the neuraminidase active site with a new skeleton, these inhibitors provide a potential solution to the growing problem of drug-resistant influenza viruses, positioning them as valuable assets for any pharmaceutical company aiming to strengthen its antiviral portfolio.
The Limitations of Conventional Methods vs. The Novel Approach
The Limitations of Conventional Methods
Historically, the development of neuraminidase inhibitors has been dominated by molecules like Oseltamivir (Tamiflu), which, while effective, present significant manufacturing challenges. The industrial synthesis of Oseltamivir often relies on shikimic acid, a natural product with limited availability and fluctuating market prices, leading to supply chain bottlenecks. Furthermore, the synthetic routes for many existing inhibitors involve multiple protection and deprotection steps, chiral resolutions, and the use of expensive transition metal catalysts. These factors contribute to a high cost of goods sold (COGS) and a complex impurity profile that requires rigorous purification. Additionally, the emergence of resistant viral strains against first-generation inhibitors necessitates the continuous discovery of new chemical entities with different binding modes, which conventional scaffolds may fail to provide.
The Novel Approach
The methodology outlined in CN115232079A represents a paradigm shift towards efficiency and simplicity. By utilizing a convergent synthesis strategy, the process minimizes the number of linear steps required to reach the final active pharmaceutical ingredient (API) intermediate. The route avoids the dependency on scarce natural products, instead relying on abundant petrochemical-derived starting materials like benzaldehydes and acetaldehyde. This fundamental change in raw material sourcing drastically reduces the risk of supply disruption. Moreover, the reaction conditions are notably mild, with key steps proceeding at room temperature (25°C), which significantly lowers energy consumption compared to processes requiring cryogenic cooling or high-temperature reflux. This streamlined approach not only accelerates the timeline for process development but also simplifies the downstream processing, resulting in a cleaner crude product and higher overall yields.
Mechanistic Insights into the Multi-Step Synthetic Route
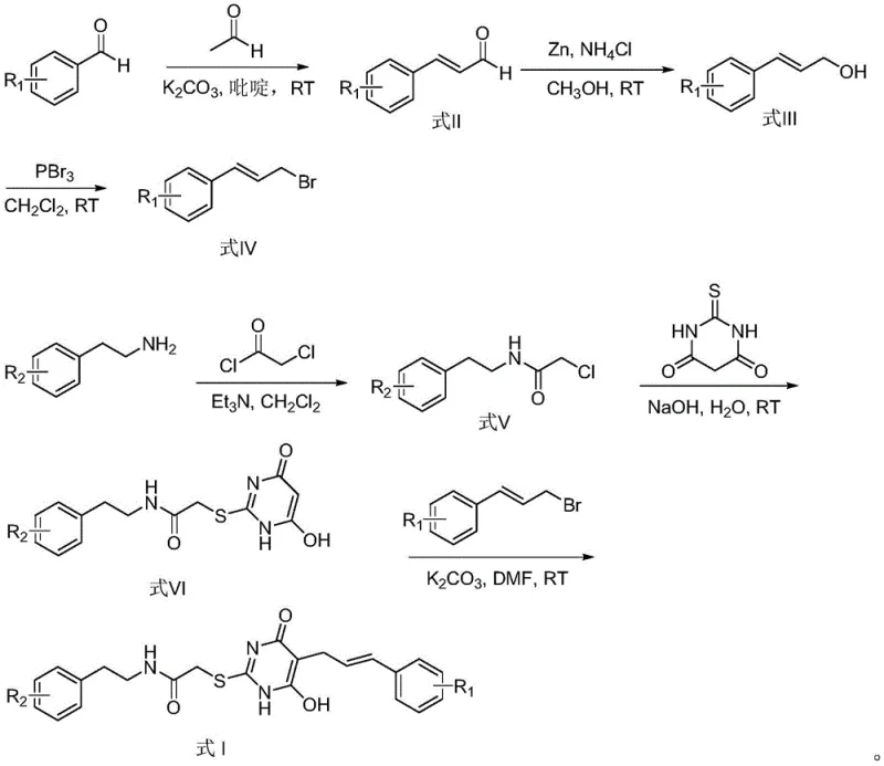
The synthesis of the target pyrimidine neuraminidase inhibitor is a masterclass in logical retrosynthetic design, breaking down the complex molecule into manageable fragments that are assembled through reliable chemical bonds. The process begins with the formation of the lipophilic side chain. In the first step, a substituted benzaldehyde undergoes a base-catalyzed condensation with acetaldehyde in the presence of anhydrous potassium carbonate and pyridine. This aldol-type condensation generates an α,β-unsaturated aldehyde intermediate (Formula II), establishing the carbon backbone necessary for subsequent functionalization. Following this, the unsaturated aldehyde is selectively reduced using a zinc powder and ammonium chloride system in methanol. This specific reduction protocol is crucial as it converts the aldehyde moiety to an allylic alcohol (Formula III) without affecting the olefinic double bond, preserving the geometric integrity required for biological activity.
Subsequently, the hydroxyl group of intermediate III is activated by conversion to a bromide (Formula IV) using phosphorus tribromide in dichloromethane. This transformation creates a potent electrophile ready for nucleophilic attack in the final coupling stage. Parallel to this, the amine fragment is prepared by reacting a substituted phenethylamine with chloroacetyl chloride in the presence of triethylamine, forming an amide linkage (Formula V). This amide is then coupled with 4,6-dihydroxy-2-mercaptopyrimidine under alkaline conditions. The thiol group of the pyrimidine acts as a nucleophile, displacing the chloride to form the thioether bridge (Formula VI). Finally, the two major fragments are united. The thioether intermediate VI acts as a nucleophile, attacking the allylic bromide IV in a polar aprotic solvent like DMF, facilitated by potassium carbonate. This final alkylation step constructs the complete molecular architecture of Formula I, integrating the pyrimidine core with both the cinnamyl and phenethyl side chains in a single, efficient operation.

How to Synthesize Pyrimidine Neuraminidase Inhibitor Efficiently
Executing this synthesis requires precise control over reaction parameters to maximize yield and purity, particularly during the condensation and alkylation phases. The patent provides explicit guidance on stoichiometry, solvent choice, and workup procedures, ensuring reproducibility across different scales. For instance, maintaining the pH during the thioether formation is critical to prevent side reactions, while the choice of DMF in the final step ensures optimal solubility of the polar intermediates. The detailed operational protocols allow chemists to navigate potential pitfalls, such as over-reduction or polymerization, guaranteeing a robust process.
- Condense substituted benzaldehyde with acetaldehyde using K2CO3 in pyridine to form intermediate II.
- Reduce intermediate II using Zinc powder and ammonium chloride in methanol to obtain allylic alcohol intermediate III.
- Convert intermediate III to bromide intermediate IV using phosphorus tribromide in dichloromethane.
- React substituted phenethylamine with chloroacetyl chloride to form amide intermediate V.
- Couple intermediate V with 4,6-dihydroxy-2-mercaptopyrimidine under alkaline conditions to yield thioether intermediate VI.
- Alkylate intermediate VI with intermediate IV using potassium carbonate in DMF to finalize the inhibitor Formula I.
Commercial Advantages for Procurement and Supply Chain Teams
From a procurement and supply chain perspective, the synthetic route described in CN115232079A offers compelling advantages that directly impact the bottom line and operational reliability. The primary benefit lies in the strategic selection of starting materials. By utilizing commodity chemicals such as substituted benzaldehydes, acetaldehyde, and phenethylamines, the process decouples production from the volatile markets associated with specialized chiral pools or fermentation-derived precursors. This abundance ensures a stable supply chain, reducing the risk of production halts due to raw material shortages. Furthermore, the simplicity of the synthesis translates into significant cost reduction in pharmaceutical intermediate manufacturing. The elimination of complex chiral resolution steps and expensive noble metal catalysts removes major cost drivers typically found in antiviral synthesis.
- Cost Reduction in Manufacturing: The process achieves cost efficiency through the use of inexpensive reagents and mild reaction conditions. For example, the reduction step utilizes zinc powder, a low-cost metal, instead of precious metal catalysts like palladium or platinum, which require extensive recovery systems. Additionally, the reactions predominantly occur at ambient temperatures (25°C), eliminating the need for energy-intensive heating or cooling infrastructure. The avoidance of protective group chemistry further streamlines the process, reducing the total number of unit operations and the associated labor and utility costs. This lean manufacturing approach allows for a substantially lower cost of goods, making the final API more competitive in the global market.
- Enhanced Supply Chain Reliability: The reliance on widely available bulk chemicals ensures high supply chain resilience. Unlike processes dependent on single-source natural extracts, the starting materials for this inhibitor are produced by numerous chemical manufacturers worldwide, providing procurement teams with multiple sourcing options. This diversification mitigates the risk of geopolitical disruptions or supplier-specific issues. Moreover, the robustness of the chemical transformations means that the process is less sensitive to minor variations in raw material quality, reducing the rate of batch failures and ensuring consistent delivery schedules to downstream API manufacturers.
- Scalability and Environmental Compliance: The synthetic route is inherently scalable, having been designed with commercial production in mind. The use of common solvents like methanol, dichloromethane, and DMF facilitates easy solvent recovery and recycling, aligning with green chemistry principles. The absence of heavy metal contaminants simplifies the purification process and ensures that the final product meets stringent regulatory limits for residual metals without needing specialized scavenging resins. This environmental compatibility reduces waste disposal costs and simplifies the regulatory approval process for new drug applications, accelerating time-to-market.
Frequently Asked Questions (FAQ)
The following questions address common technical and commercial inquiries regarding the production and application of these novel pyrimidine inhibitors. The answers are derived directly from the experimental data and specifications provided in the patent documentation, offering clarity on performance metrics and process capabilities. Understanding these details is essential for stakeholders evaluating the feasibility of integrating this technology into their existing manufacturing frameworks.
Q: What is the biological activity of the synthesized pyrimidine inhibitors?
A: According to patent CN115232079A, the synthesized compounds exhibit potent neuraminidase inhibitory activity, with IC50 values comparable to the positive control Oseltamivir carboxylate (approx. 1.12-1.65 μM).
Q: Are the reaction conditions suitable for large-scale production?
A: Yes, the process utilizes mild reaction temperatures ranging from 0°C to 65°C, predominantly at room temperature (25°C), and employs common industrial solvents like methanol, DCM, and DMF, facilitating easy scale-up.
Q: What are the key starting materials for this synthesis?
A: The synthesis relies on readily available commodity chemicals such as substituted benzaldehydes, acetaldehyde, phenethylamines, and 4,6-dihydroxy-2-mercaptopyrimidine, ensuring supply chain stability.
Partnering with NINGBO INNO PHARMCHEM: Your Reliable Pyrimidine Neuraminidase Inhibitor Supplier
As the demand for next-generation antiviral agents grows, partnering with an experienced CDMO is crucial for successful commercialization. NINGBO INNO PHARMCHEM stands at the forefront of fine chemical manufacturing, possessing extensive experience scaling diverse pathways from 100 kgs to 100 MT/annual commercial production. Our state-of-the-art facilities are equipped to handle the specific requirements of heterocyclic chemistry, ensuring that every batch of pyrimidine intermediates meets stringent purity specifications. With our rigorous QC labs and commitment to quality assurance, we guarantee that the complex molecular architecture of Formula I is preserved with high fidelity, minimizing impurities that could affect downstream formulation.
We invite pharmaceutical companies and research institutions to collaborate with us to accelerate the development of these promising neuraminidase inhibitors. Our technical team is ready to provide a Customized Cost-Saving Analysis tailored to your specific volume requirements, demonstrating how our optimized processes can enhance your project's economics. We encourage you to contact our technical procurement team today to request specific COA data and route feasibility assessments, ensuring that your supply chain is built on a foundation of reliability and scientific excellence.
