Advanced Synthesis of Halogenated 2-Aminoethylpyridines for Scalable Agrochemical Production
Advanced Synthesis of Halogenated 2-Aminoethylpyridines for Scalable Agrochemical Production
The global demand for high-performance insecticides continues to drive innovation in the synthesis of complex heterocyclic intermediates. Patent CN100368400C, published in early 2008, introduces a transformative methodology for preparing 2-aminomethylpyridines, specifically targeting structures like 2-aminomethyl-3-chloro-5-trifluoromethylpyridine. These compounds serve as critical building blocks for next-generation agrochemical active ingredients, particularly within the diamide class of insecticides. The core breakthrough lies in overcoming the historical challenge of selectively reducing nitrile groups in the presence of sensitive halogen atoms without triggering unwanted dehalogenation. By leveraging a specific palladium-catalyzed hydrogenation protocol combined with an improved aqueous cyanation route, this technology offers a robust pathway for industrial-scale manufacturing. For R&D directors and procurement specialists, understanding this dual-method approach is essential for securing a reliable agrochemical intermediate supplier capable of delivering high-purity materials with optimized cost structures.

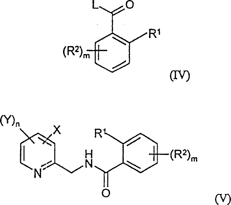
The ultimate goal of this synthetic sequence is the efficient production of compounds represented by general formula (V), which are potent insecticide active ingredients. As illustrated in the reaction scheme above, the process culminates in an acylation step where the aminomethylpyridine intermediate reacts with a benzoyl compound. This final transformation underscores the commercial value of the preceding steps; any inefficiency in generating the amine precursor directly impacts the quality and cost of the final crop protection agent. The ability to produce the amine precursor with minimal impurities and high yield is therefore not just a chemical exercise but a strategic supply chain advantage. Manufacturers who can master this specific sequence position themselves as key partners in the agrochemical value chain, offering cost reduction in insecticide manufacturing through streamlined processing and reduced waste generation.
The Limitations of Conventional Methods vs. The Novel Approach
The Limitations of Conventional Methods
Historically, the synthesis of halogenated aminomethylpyridines has been plagued by significant technical hurdles that hinder commercial scalability. Traditional methods for introducing the cyano group often rely on heavy metal reagents such as copper or nickel cyanides in polar aprotic solvents like dimethylformamide or dimethyl sulfoxide. These processes generate toxic effluents that are costly to treat and difficult to dispose of in compliance with modern environmental regulations. Furthermore, existing hydrogenation techniques for converting these nitriles to amines face a critical selectivity issue. When a cyanopyridine contains additional halogen atoms, standard catalytic reduction frequently leads to competitive dehalogenation, stripping the molecule of essential functional groups required for biological activity. Literature suggests that while platinum and rhodium might retain halogens, they are often less effective or more expensive, whereas palladium typically promotes dehalogenation, creating a paradox for process chemists seeking both efficiency and selectivity.
The Novel Approach
The methodology disclosed in CN100368400C resolves these contradictions through a clever manipulation of reaction conditions and catalyst selection. Contrary to conventional wisdom that avoids palladium for halogenated substrates, this invention demonstrates that palladium catalysts, specifically finely divided palladium on charcoal, can achieve excellent results if used in the presence of a strong acid. This novel approach allows for the preparation of 2-aminomethylpyridines containing additional halogen atoms with minimal dehalogenation side reactions. Additionally, the patent introduces an improved cyanation method that operates in aqueous solvents or even under solvent-free conditions using phase transfer catalysts. This eliminates the need for expensive and toxic organic solvents and heavy metal cyanides. The combination of these two innovations creates a seamless, environmentally friendlier route that is highly adaptable for industrial-scale processes, ensuring consistent quality and supply continuity for high-purity agrochemical intermediates.

Mechanistic Insights into Pd-Catalyzed Hydrogenation and Aqueous Cyanation
The mechanistic success of this process hinges on the precise control of the catalytic environment during the hydrogenation step shown in the figure above. In the reduction of general formula (II) to formula (I), the presence of a strong acid such as hydrochloric acid plays a dual role that is critical for reaction fidelity. Firstly, the acid protonates the amino group of the newly formed product, converting it into an ammonium salt. This protonation prevents the free amine from acting as a catalyst poison by coordinating too strongly to the palladium active sites, which would otherwise halt the reaction prematurely. Secondly, the acidic environment appears to modulate the catalyst's activity towards the carbon-halogen bond, suppressing the oxidative addition step that leads to dehalogenation. By maintaining the reaction at mild temperatures of 0-60°C and low hydrogen pressures of 1-4 atmospheres, the process achieves a delicate balance where the nitrile group is reduced rapidly while the sensitive halogen substituents remain intact.
Complementing the hydrogenation is the innovative cyanation mechanism utilized to generate the starting nitrile. This step involves the nucleophilic substitution of a halogen atom (typically fluorine) on the pyridine ring with a cyanide ion. The use of phase transfer catalysts, such as quaternary ammonium salts like Aliquat 336, facilitates the transport of the cyanide anion from the aqueous phase into the organic phase where the reaction occurs. This interfacial catalysis allows the reaction to proceed efficiently at moderate temperatures of 20-40°C without the need for hazardous dipolar aprotic solvents. The result is a high-yield conversion with simplified downstream processing, as the product can often be separated by simple phase separation and distillation. This mechanistic elegance translates directly into operational simplicity, reducing the complexity of commercial scale-up of complex agrochemical intermediates and minimizing the risk of batch-to-batch variability.
How to Synthesize 2-Aminomethyl-3-chloro-5-trifluoromethylpyridine Efficiently
Implementing this patented technology requires strict adherence to the specified reaction parameters to maximize yield and purity. The process begins with the preparation of the 2-cyanopyridine intermediate via the aqueous cyanation route, followed immediately by the palladium-catalyzed hydrogenation. Operators must ensure the correct loading of the palladium catalyst, typically between 0.05-0.7 weight percent relative to the substrate, to maintain optimal reaction kinetics without excessive metal usage. The addition of hydrochloric acid is non-negotiable for preventing catalyst poisoning and ensuring the formation of the stable hydrochloride salt. Detailed standard operating procedures regarding temperature control, stirring rates, and filtration methods are essential for reproducibility. For a comprehensive guide on the specific stoichiometry and workup procedures validated by experimental data, please refer to the standardized synthesis steps outlined below.
- Perform nucleophilic substitution of 2-fluoropyridine derivatives using alkali metal cyanide and a phase transfer catalyst in an aqueous medium at moderate temperatures (20-40°C).
- Execute catalytic hydrogenation of the resulting 2-cyanopyridine using palladium on charcoal (0.05-0.7 wt%) in an alcoholic solvent with added strong acid to prevent catalyst poisoning.
- Isolate the final aminomethylpyridine product directly as a hydrochloride salt, suitable for immediate downstream acylation without further purification.
Commercial Advantages for Procurement and Supply Chain Teams
For procurement managers and supply chain heads, the adoption of this synthetic route offers tangible strategic benefits beyond mere chemical yield. The shift away from heavy metal cyanides and polar aprotic solvents fundamentally alters the cost profile of the manufacturing process. By eliminating the need for copper or nickel reagents, companies avoid the substantial costs associated with the disposal of toxic heavy metal waste streams, which often require specialized treatment facilities. Furthermore, the use of water as a primary solvent in the cyanation step drastically reduces raw material costs compared to purchasing and recovering expensive solvents like DMSO or DMF. This simplification of the chemical bill of materials leads to substantial cost savings in the overall production budget, making the final intermediate more price-competitive in the global market.
- Cost Reduction in Manufacturing: The elimination of expensive and toxic reagents directly impacts the bottom line. Traditional methods requiring stoichiometric amounts of copper cyanide generate large volumes of hazardous sludge, the disposal of which is increasingly regulated and costly. By switching to an aqueous system with catalytic phase transfer agents, the process minimizes waste generation at the source. Additionally, the hydrogenation step operates at near-atmospheric pressure (1-4 atm), which allows for the use of standard glass-lined or stainless steel reactors rather than specialized high-pressure vessels. This reduction in capital expenditure for equipment, combined with lower operating costs for solvent recovery and waste treatment, creates a significantly more economical manufacturing footprint.
- Enhanced Supply Chain Reliability: The reagents required for this process, such as potassium cyanide, palladium on charcoal, and common mineral acids, are commodity chemicals with robust global supply chains. Unlike specialized activators or exotic ligands that may suffer from supply bottlenecks, these materials are readily available from multiple vendors. This diversity of supply sources mitigates the risk of production stoppages due to raw material shortages. Moreover, the stability of the intermediate products, particularly when isolated as hydrochloride salts, ensures that inventory can be held safely without significant degradation, providing flexibility in logistics and distribution planning for reliable agrochemical intermediate supplier networks.
- Scalability and Environmental Compliance: Scaling chemical processes often amplifies safety and environmental risks, but this methodology is inherently designed for large-scale operation. The exothermic nature of the cyanation is easily managed in aqueous media due to the high heat capacity of water, reducing the risk of thermal runaway incidents. The absence of volatile organic solvents in the first step lowers the fire hazard classification of the plant area. From a regulatory perspective, the reduced toxicity of the effluent simplifies the permitting process for new manufacturing lines. The ability to treat wastewater using standard neutralization and precipitation methods, rather than complex organic waste incineration, ensures long-term environmental compliance and social license to operate.
Frequently Asked Questions (FAQ)
The following questions address common technical and commercial inquiries regarding the implementation of this patented synthesis route. These answers are derived directly from the experimental data and claims presented in the patent documentation, providing clarity on the feasibility and advantages of the technology. Understanding these nuances is vital for technical teams evaluating the integration of this process into existing manufacturing portfolios. The responses cover critical aspects ranging from catalyst selection to product isolation strategies, ensuring that stakeholders have a clear picture of the operational requirements.
Q: How does this process prevent dehalogenation during hydrogenation?
A: The patent specifies using palladium catalysts under acidic conditions (e.g., HCl). The acid protonates the amino group of the product, preventing it from coordinating strongly to the catalyst surface and inhibiting the competing dehalogenation reaction, which is a common issue with halogenated nitriles.
Q: What are the environmental benefits of the cyanation step?
A: Unlike traditional methods using copper or nickel cyanides in polar aprotic solvents like DMSO, this method utilizes aqueous conditions with phase transfer catalysts. This eliminates toxic heavy metal waste streams and removes the need for difficult-to-recycle organic solvents, significantly simplifying wastewater treatment.
Q: Can the intermediate salt be used directly in subsequent steps?
A: Yes, the process yields the aminomethylpyridine directly as a stable hydrochloride salt. This salt can be fed directly into the acylation step to form the final insecticide active ingredient without the need for isolation of the free amine, streamlining the manufacturing workflow.
Partnering with NINGBO INNO PHARMCHEM: Your Reliable 2-Aminomethylpyridines Supplier
The technical sophistication required to execute this dual-step synthesis demands a partner with deep expertise in heterogeneous catalysis and process safety. NINGBO INNO PHARMCHEM stands at the forefront of custom synthesis, possessing extensive experience scaling diverse pathways from 100 kgs to 100 MT/annual commercial production. Our facility is equipped with state-of-the-art hydrogenation reactors capable of operating under the precise low-pressure conditions described in the patent, ensuring the highest levels of safety and selectivity. We maintain stringent purity specifications through our rigorous QC labs, utilizing advanced analytical techniques to monitor for trace dehalogenation by-products and residual metals. This commitment to quality assurance guarantees that every batch of 2-aminomethylpyridines meets the exacting standards required for downstream pesticide formulation.
We invite global agrochemical manufacturers to collaborate with us to leverage this efficient synthetic route for their supply chains. By partnering with NINGBO INNO PHARMCHEM, you gain access to a Customized Cost-Saving Analysis that evaluates how transitioning to this aqueous-based, palladium-catalyzed method can optimize your specific production economics. We encourage interested parties to contact our technical procurement team to request specific COA data from our pilot runs and detailed route feasibility assessments. Together, we can secure a sustainable and cost-effective supply of these critical intermediates, driving innovation in crop protection while adhering to the highest standards of environmental stewardship.
