Advanced Synthesis of 13C6-Labeled Fipronil for Precision Agrochemical Analysis
The global demand for precise pesticide residue detection has never been more critical, driven by stringent food safety regulations and environmental monitoring requirements. Patent CN111689899B introduces a groundbreaking methodology for the synthesis of stable isotope labeled fipronil and its derivatives, specifically targeting the 13C6 isotopologue. This innovation addresses a significant gap in the market where reliable internal standards for Isotope Dilution Mass Spectrometry (IDMS) were previously scarce or non-existent. The patented process enables the production of compounds with chemical purity and isotope abundance exceeding 98%, making them indispensable tools for analytical laboratories worldwide. By establishing a robust supply chain for these high-value agrochemical intermediates, manufacturers can now support the rigorous testing protocols required for modern food safety compliance.

Traditional detection methods such as High Performance Liquid Chromatography (HPLC) often suffer from limitations including low sensitivity and semi-quantitative results, which are insufficient for trace analysis in complex matrices. The novel approach detailed in the patent leverages the unique properties of stable isotopes to overcome these hurdles. Unlike conventional synthesis which might introduce isotopic scrambling or require expensive late-stage labeling, this method starts with a fully labeled aromatic precursor. This strategic choice ensures that the isotopic label is embedded deeply within the molecular framework, providing superior stability during analysis. For procurement teams seeking a reliable agrochemical intermediate supplier, this technology represents a shift towards higher quality standards that directly enhance the accuracy of downstream testing services.

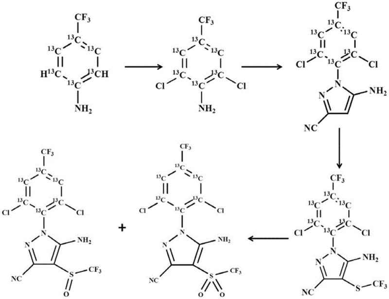
The mechanistic pathway involves a sophisticated yet efficient four-step sequence that preserves the integrity of the 13C label throughout the transformation. The process begins with the electrophilic chlorination of 13C6-labeled p-trifluoromethylaniline, utilizing reagents like N-bromosuccinimide or an oxidative system involving hydrochloric acid and hydrogen peroxide. This step is crucial as it establishes the 2,6-dichloro substitution pattern essential for fipronil's biological activity without disturbing the labeled benzene ring. Subsequent diazotization and cyclization with ethyl 2,3-dicyanopropionate construct the central pyrazole core. The preservation of the 13C atoms during these vigorous acidic and thermal conditions demonstrates the robustness of the carbon-carbon bonds in the labeled precursor, ensuring that the final product retains the necessary mass shift for MS detection.
Further functionalization involves the introduction of the trifluoromethylthio group via reaction with trifluoromethyl sulfinyl chloride, followed by a controlled oxidation step. This final stage allows for the selective production of either fipronil (sulfinyl) or fipronil sulfone (sulfonyl) by adjusting the molar ratio of the oxidant. Such controllability is vital for producing specific reference standards needed for metabolic studies, where distinguishing between the parent compound and its oxidative metabolites is necessary. The ability to tune the oxidation state while maintaining >98% isotopic purity highlights the precision of this synthetic design, offering R&D directors a versatile platform for developing comprehensive impurity profiles and validation methods for pesticide residues.
How to Synthesize Stable Isotope Labeled Fipronil Efficiently
The synthesis of these high-value compounds requires precise control over reaction parameters to maximize yield and isotopic retention. The patent outlines a clear progression from the labeled aniline starting material through to the final oxidized products, emphasizing the importance of temperature control and reagent stoichiometry. For technical teams looking to implement this process, understanding the nuances of the diazotization step and the subsequent cyclization is key to achieving the reported high yields. The detailed standardized synthesis steps see the guide below.
- Chlorination of 13C6-labeled p-trifluoromethylaniline using N-bromosuccinimide or oxidative chlorination to form the dichloro-aniline intermediate.
- Diazotization followed by cyclization with ethyl 2,3-dicyanopropionate under mixed acid conditions to construct the pyrazole ring.
- Thio-substitution using trifluoromethyl sulfinyl chloride and subsequent controlled oxidation to yield fipronil or fipronil sulfone derivatives.
Commercial Advantages for Procurement and Supply Chain Teams
The implementation of this synthetic route offers substantial benefits for supply chain stability and cost management in the production of analytical standards. By utilizing a linear four-step sequence with readily available reagents, the process minimizes the complexity typically associated with isotope-labeled compound manufacturing. This simplification translates directly into reduced operational overheads and a more predictable production timeline. For procurement managers focused on cost reduction in agrochemical manufacturing, the elimination of complex purification steps and the use of common solvents like acetonitrile and toluene significantly lower the barrier to entry for producing these high-margin specialty chemicals.
- Cost Reduction in Manufacturing: The process avoids the use of expensive transition metal catalysts or exotic reagents that often drive up the cost of fine chemical synthesis. Instead, it relies on cost-effective chlorinating agents and oxidants like hydrogen peroxide, which are inexpensive and easy to source in bulk quantities. This raw material efficiency, combined with high reaction yields reported in the examples, ensures that the overall cost of goods sold is optimized, allowing for competitive pricing in the global market for reference standards.
- Enhanced Supply Chain Reliability: The robustness of the synthetic route means that production is less susceptible to disruptions caused by the scarcity of specialized precursors. Since the starting material is a labeled version of a common aniline derivative, supply continuity can be maintained through established chemical supply networks. This reliability is critical for laboratories that require consistent batches of internal standards to validate their long-term monitoring programs, ensuring that data comparability is maintained over time without interruption.
- Scalability and Environmental Compliance: The reaction conditions operate at moderate temperatures ranging from 20°C to 60°C, which reduces energy consumption and simplifies the engineering requirements for scale-up. Furthermore, the waste streams generated are manageable, primarily consisting of aqueous acid layers and organic solvents that can be treated using standard industrial protocols. This environmental compatibility facilitates easier regulatory approval for commercial scale-up, aligning with the increasing global emphasis on green chemistry practices in the production of high-purity agrochemical intermediates.
Frequently Asked Questions (FAQ)
The following questions address common technical and commercial inquiries regarding the production and application of these stable isotope labeled compounds. Understanding these aspects is essential for stakeholders evaluating the integration of these standards into their quality control workflows. The answers are derived directly from the technical specifications and experimental data provided in the patent documentation.
Q: What is the primary advantage of using 13C6-labeled fipronil over non-labeled standards?
A: The 13C6-labeled fipronil serves as an ideal internal standard for Isotope Dilution Mass Spectrometry (IDMS), effectively eliminating matrix effects and instrument errors that plague traditional HPLC methods, ensuring accurate quantification of pesticide residues.
Q: How does the new synthesis method improve isotopic abundance?
A: By utilizing 13C6-labeled p-trifluoromethylaniline as the starting material, the carbon skeleton remains intact throughout the four-step reaction sequence, preventing isotope loss and achieving an isotopic abundance of over 98%.
Q: Is this synthesis route scalable for commercial production of analytical standards?
A: Yes, the process utilizes common reagents like N-bromosuccinimide and hydrogen peroxide under moderate temperatures (20-60°C), avoiding extreme conditions and facilitating safe scale-up for industrial manufacturing of high-purity intermediates.
Partnering with NINGBO INNO PHARMCHEM: Your Reliable Fipronil-13C6 Supplier
The synthesis of stable isotope labeled fipronil represents a pinnacle of fine chemical manufacturing, requiring expertise in both organic synthesis and isotopic handling. NINGBO INNO PHARMCHEM stands ready to support your analytical needs with our extensive experience scaling diverse pathways from 100 kgs to 100 MT/annual commercial production. Our facility is equipped with rigorous QC labs capable of verifying stringent purity specifications, ensuring that every batch of labeled intermediate meets the exacting standards required for IDMS applications. We understand that consistency is key in analytical chemistry, and our processes are designed to deliver batch-to-batch reproducibility that you can trust.
We invite you to contact our technical procurement team to discuss your specific requirements for labeled fipronil derivatives. By requesting a Customized Cost-Saving Analysis, you can explore how our optimized synthetic routes can reduce your overall expenditure on reference materials. We are prepared to provide specific COA data and route feasibility assessments to demonstrate our capability to meet your volume and purity demands efficiently. Partner with us to secure a stable supply of these critical analytical tools and enhance the precision of your pesticide residue monitoring programs.
