Advanced Benzopyran Luminescent Auxiliaries: Technical Breakthroughs and Commercial Scalability for Next-Gen OLED Displays
Advanced Benzopyran Luminescent Auxiliaries: Technical Breakthroughs and Commercial Scalability for Next-Gen OLED Displays
The rapid evolution of Organic Light Emitting Diode (OLED) technology demands materials that not only emit light efficiently but also manage charge transport with exceptional stability. Patent CN112939993B9 introduces a groundbreaking class of benzopyran-based luminescent auxiliary materials designed to address the critical bottlenecks in current display manufacturing. Unlike traditional hole transport materials that suffer from thermal degradation and charge imbalance, these novel compounds feature a unique benzopyran core functionalized with amine units. This structural innovation results in lower ionization potentials and superior hole mobility, directly translating to enhanced device performance. For R&D directors and procurement specialists in the electronic chemical sector, understanding the synthesis and application of these materials is paramount for securing a competitive edge in the high-value display market.

The core innovation lies in the molecular architecture depicted in the general formula, where the benzopyran scaffold is substituted with various aryl and heteroaryl groups. This design strategy effectively lowers the symmetry of the molecule, increasing the number of conformational isomers. From a materials science perspective, this increased conformational diversity disrupts the tendency of molecules to pack tightly, thereby suppressing crystallization and aggregation during device operation. The result is a material with high photo-thermal stability, capable of withstanding the rigorous conditions of vacuum deposition and prolonged electrical driving without significant degradation.
The Limitations of Conventional Methods vs. The Novel Approach
The Limitations of Conventional Methods
Historically, the hole transport region in OLEDs has relied on materials such as copper phthalocyanine (CuPc), NPB, and TPD. While these compounds established the foundation of the industry, they exhibit inherent limitations when pushed to the performance thresholds required by modern high-resolution displays. A primary issue is the generation of thermal stress at the interface between the anode and the hole injection layer during high-current driving. This thermal accumulation accelerates the degradation of the organic layers, leading to a precipitous drop in quantum efficiency and a shortened operational lifespan. Furthermore, the extremely high hole mobility of some conventional materials can disrupt the delicate charge balance within the emissive layer, causing exciton quenching and reduced luminous efficiency.
The Novel Approach
The benzopyran derivatives disclosed in this patent offer a sophisticated solution to these legacy problems. By integrating a rigid benzopyran ring system with electron-rich amine functionalities, the new materials achieve a balanced charge transport profile. The amine units provide excellent electron-donating properties, facilitating efficient hole injection, while the bulky, rigid core acts as a physical barrier against molecular aggregation. This dual functionality ensures that the hole-electron balance is maintained even under high brightness conditions. Consequently, devices incorporating these auxiliary materials demonstrate significantly improved luminous efficiency and extended lifetimes, solving the thermal stability issues that have long plagued conventional hole transport architectures.
Mechanistic Insights into Benzopyran Core Formation and Functionalization
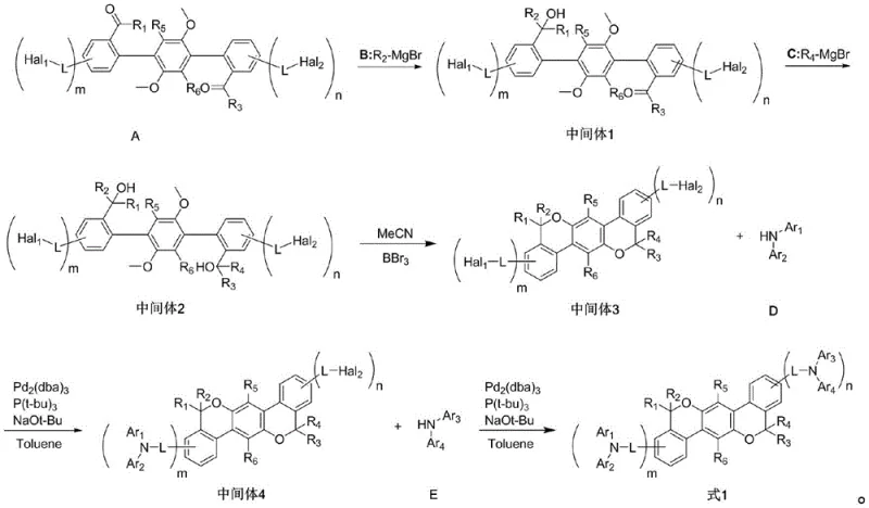
The synthesis of these advanced materials relies on a robust multi-step pathway that combines classical organometallic chemistry with modern cross-coupling techniques. The construction of the benzopyran core is achieved through a cascade of nucleophilic additions followed by acid-mediated cyclization. Initially, ketone precursors undergo nucleophilic attack by Grignard reagents to form tertiary alcohol intermediates. This step is critical as it installs the necessary alkyl or aryl groups that define the steric bulk of the final molecule. Subsequent treatment with boron tribromide induces an intramolecular cyclization, closing the pyran ring and establishing the rigid planar structure essential for thermal stability.

Following the core formation, the electronic properties are fine-tuned via palladium-catalyzed Buchwald-Hartwig amination. This reaction couples the halogenated benzopyran intermediate with various arylamines, introducing the nitrogen-containing moieties responsible for hole transport. The use of tris(dibenzylideneacetone)dipalladium and tri-tert-butylphosphine ligands ensures high catalytic activity and selectivity, minimizing the formation of homocoupling byproducts. This mechanistic precision is vital for maintaining the high purity required in OLED materials, as trace impurities can act as trap sites for charge carriers, severely diminishing device performance. The entire sequence is designed to be telescoped efficiently, allowing for the rapid assembly of complex molecular architectures from readily available starting materials.
How to Synthesize Benzopyran Luminescent Auxiliary Materials Efficiently
The preparation method outlined in the patent provides a clear roadmap for laboratory and pilot-scale production. The process begins with the protection of the reaction environment using nitrogen to prevent moisture sensitivity, particularly during the Grignard steps. The subsequent workup procedures, involving extraction with dichloromethane and precipitation from petroleum ether, are designed to remove inorganic salts and polar impurities effectively. The final purification steps utilize column chromatography or recrystallization to achieve the stringent purity specifications demanded by the electronics industry. For a detailed breakdown of the specific reaction conditions, stoichiometry, and isolation techniques, please refer to the standardized synthesis guide below.
- Perform nucleophilic addition using Grignard reagents on ketone precursors to form tertiary alcohol intermediates under inert atmosphere.
- Execute cyclization using boron tribromide in acetonitrile to form the rigid benzopyran core structure.
- Conclude with Buchwald-Hartwig amination using palladium catalysts to attach arylamine units, enhancing hole transport properties.
Commercial Advantages for Procurement and Supply Chain Teams
For procurement managers and supply chain heads, the transition to this new class of benzopyran materials offers substantial strategic benefits beyond mere performance metrics. The synthesis route is constructed using commodity chemicals and widely available catalysts, which mitigates the risk of supply chain disruptions often associated with exotic or proprietary reagents. The reliance on standard solvents like THF, toluene, and acetonitrile further simplifies the logistical burden, as these can be sourced reliably from multiple global suppliers. This chemical accessibility ensures a stable supply chain, reducing the lead time for high-purity electronic chemical manufacturing and enabling consistent production schedules.
- Cost Reduction in Manufacturing: The synthetic pathway eliminates the need for complex, multi-stage purification protocols that are often cost-prohibitive. By utilizing precipitation and recrystallization techniques rather than relying solely on preparative HPLC, the process significantly reduces solvent consumption and waste generation. Furthermore, the high yields reported in the patent examples indicate an efficient atom economy, meaning less raw material is wasted during the transformation. This efficiency directly translates to a lower cost of goods sold (COGS), allowing for more competitive pricing in the final OLED panel market without sacrificing quality.
- Enhanced Supply Chain Reliability: The modular nature of the synthesis allows for flexible manufacturing strategies. Since the arylamine components (Reactants D and E) can be varied without altering the core synthetic steps, manufacturers can produce a library of related compounds using the same equipment and infrastructure. This flexibility means that if a specific substituent becomes scarce, the process can be adapted to use alternative analogues with minimal retooling. Such adaptability is crucial for maintaining supply continuity in the fast-paced consumer electronics sector, where demand fluctuations can be abrupt and severe.
- Scalability and Environmental Compliance: The reaction conditions described, such as heating to 110°C in toluene, are well within the operating parameters of standard industrial reactors. There are no requirements for extreme cryogenic temperatures or ultra-high pressures, which simplifies the engineering controls needed for scale-up. Additionally, the workup procedures generate waste streams that are manageable through standard chemical waste treatment facilities. The ability to scale from gram-scale laboratory synthesis to metric-ton commercial production without fundamental process changes ensures that the technology can meet the massive volume requirements of the global display industry while adhering to environmental regulations.
Frequently Asked Questions (FAQ)
The following questions address common technical and commercial inquiries regarding the implementation of these benzopyran materials. These insights are derived directly from the experimental data and structural analysis provided in the patent documentation, offering clarity on performance expectations and handling requirements.
Q: How does the benzopyran structure improve OLED device lifespan?
A: The benzopyran core provides a rigid, planar structure that increases molecular weight and reduces symmetry. This structural rigidity inhibits crystallization and aggregation under thermal stress, thereby maintaining morphological stability and extending the operational lifetime of the organic electroluminescent device.
Q: What are the key purification methods described in the patent?
A: The patent details a robust purification strategy involving precipitation from petroleum ether, hot filtration to remove salts and catalysts, and final purification via column chromatography or recrystallization. This ensures high purity levels essential for preventing exciton quenching in OLED applications.
Q: Can this synthesis route be scaled for industrial production?
A: Yes, the synthesis utilizes standard industrial reagents such as Grignard reagents and palladium catalysts in common solvents like THF and toluene. The steps involve conventional unit operations like extraction, drying, and filtration, making the process highly amenable to commercial scale-up from kilogram to metric ton quantities.
Partnering with NINGBO INNO PHARMCHEM: Your Reliable Benzopyran Derivatives Supplier
As the demand for high-efficiency OLED materials continues to surge, partnering with a chemically proficient manufacturer is essential for success. NINGBO INNO PHARMCHEM stands at the forefront of this technological shift, leveraging deep expertise in organometallic catalysis and fine chemical synthesis. We possess extensive experience scaling diverse pathways from 100 kgs to 100 MT/annual commercial production, ensuring that your supply needs are met with precision and consistency. Our state-of-the-art facilities are equipped with rigorous QC labs capable of verifying stringent purity specifications, guaranteeing that every batch of benzopyran auxiliary material meets the exacting standards required for next-generation display panels.
We invite you to collaborate with us to optimize your material sourcing strategy. Our technical team is ready to provide a Customized Cost-Saving Analysis tailored to your specific production volumes and performance targets. Please contact our technical procurement team today to request specific COA data and route feasibility assessments. Let us help you secure a reliable supply of high-performance electronic chemicals that will drive the future of your display technology.
