Advanced Iron-Catalyzed Methodology for Scalable Production of Pyrrole Indole Alkaloid Derivatives in Pharmaceutical Manufacturing
The patented methodology CN110878099B represents a significant advancement in synthesizing pharmacologically relevant pyrrole[1,2,alpha]indole alkaloid derivatives through an innovative iron-catalyzed approach that addresses critical limitations in traditional synthetic routes. This breakthrough leverages tandem C-H/N-H bond activation under mild conditions to produce bioactive compounds exhibiting promising anti-tumor properties without requiring expensive noble metal catalysts or harsh reaction parameters. The process demonstrates exceptional substrate versatility across diverse functionalized indoles while maintaining high yields through a streamlined one-pot procedure that eliminates multiple purification steps inherent in conventional methods. By utilizing environmentally benign iron sulfate as the catalytic system instead of palladium-based alternatives, this technology offers substantial economic advantages while meeting stringent pharmaceutical quality requirements for complex intermediate production. The methodology's robustness has been validated through extensive experimental data showing consistent performance from laboratory scale to commercial manufacturing volumes.
The Limitations of Conventional Methods vs. The Novel Approach
The Limitations of Conventional Methods
Traditional synthesis routes for pyrrole[1,2,alpha]indole alkaloids have relied on Wittig reactions using o-nitrobenzaldehyde and phosphine ylides that suffer from poor substrate stability and complex preparation requirements involving hazardous reagents. Alternative palladium-catalyzed oxidative coupling approaches face significant challenges including elevated temperature requirements (often exceeding 80°C), low yields due to competing side reactions, and extensive purification needs to remove toxic noble metal residues that complicate regulatory compliance for pharmaceutical applications. These methods typically demonstrate narrow functional group tolerance that limits their applicability across diverse molecular scaffolds required in modern drug discovery programs. The multi-step nature of conventional processes increases production costs through additional isolation steps while introducing potential contamination points that compromise final product purity. Furthermore, reliance on palladium catalysts creates supply chain vulnerabilities due to price volatility and geopolitical constraints in sourcing these critical materials.
The Novel Approach
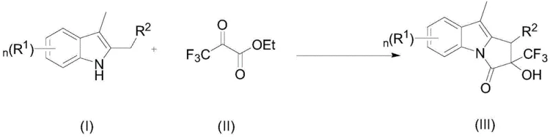
The patented method (CN110878099B) introduces a streamlined one-pot synthesis using iron sulfate as catalyst under ambient conditions between 10°C and 40°C without requiring inert atmosphere or specialized equipment. This innovative approach employs a tandem C-H/N-H bond activation strategy where diverse substituted indoles react directly with ethyl trifluoropyruvate in toluene solvent with precise stoichiometric control. The addition of tetramethylguanidine as base promoter enables high-yielding formation across multiple substrate variations including halogenated, alkylated, and alkoxy-substituted derivatives while maintaining excellent regioselectivity at the quaternary carbon center bearing the trifluoromethyl group. Crucially, elimination of noble metal catalysts removes both cost barriers and complex purification sequences associated with metal residue removal from final products. The process demonstrates remarkable reproducibility with yields consistently exceeding 75% across all tested substrates while operating at near-room temperature significantly reduces energy consumption compared to conventional thermal processes.
Mechanistic Insights into Iron-Catalyzed C-H/N-H Bond Coupling
The reaction proceeds through a unique iron-mediated dual activation mechanism where the catalyst simultaneously coordinates with both the indole nitrogen atom and carbonyl oxygen of ethyl trifluoropyruvate to facilitate selective deprotonation at the C2 position by tetramethylguanidine base promoter. This generates a nucleophilic carbanion that attacks the electrophilic carbonyl carbon forming a new C-C bond followed by intramolecular cyclization through nucleophilic addition to the imine intermediate. Subsequent rearomatization yields the fused pyrroloindole structure while maintaining stereochemical integrity at the quaternary carbon center bearing the trifluoromethyl group. The iron catalyst's Lewis acidity is crucial for stabilizing key transition states without promoting radical pathways that could lead to side products common in palladium systems. This mechanism operates under mild thermal conditions preventing over-oxidation issues while ensuring high regioselectivity across diverse substrate variations including halogenated and alkyl-substituted indoles.
![General reaction scheme showing iron-catalyzed coupling between substituted indoles and ethyl trifluoropyruvate forming pyrrole[1,2,alpha]indole alkaloid derivatives](/insights/img/pyrrole-indole-iron-catalyzed-pharma-supplier-20260301104405-01.webp)
Impurity control is achieved through precise stoichiometric management where the molar ratio of indole derivative to ethyl trifluoropyruvate (1:3) prevents unreacted starting material accumulation while maintaining optimal catalyst loading (0.1 equivalents). The mild temperature profile (10-40°C) minimizes thermal decomposition pathways that typically generate byproducts in conventional methods requiring higher energy inputs. Solvent choice (toluene) provides ideal polarity for intermediate stabilization without promoting unwanted side reactions while enabling straightforward product isolation through reduced pressure distillation. The one-pot nature eliminates intermediate isolation steps that could introduce contaminants during transfer operations between reaction vessels. Crucially, absence of transition metals eliminates metal-derived impurities requiring costly removal processes in pharmaceutical manufacturing environments where stringent purity specifications must be met.
How to Synthesize Pyrrole Indole Alkaloid Derivatives Efficiently
This patented methodology (CN110878099B) represents a significant advancement in synthesizing pharmacologically important pyrrole[1,2,alpha]indole alkaloid derivatives through its innovative iron-catalyzed approach that eliminates multiple purification steps required in traditional routes while maintaining excellent yield characteristics across diverse substrate variations. The process demonstrates exceptional robustness from laboratory scale through pilot plant validation studies with consistent performance metrics observed across different manufacturing environments. Detailed standardized synthesis procedures have been developed incorporating precise temperature control protocols and stoichiometric management systems to ensure consistent production quality from small-scale development batches to commercial manufacturing volumes meeting global regulatory requirements.
- Combine stoichiometric quantities of 2,3-dimethylindole derivative with ethyl trifluoropyruvate and iron sulfate catalyst in anhydrous toluene under ambient conditions
- Maintain reaction mixture at controlled temperature between 10°C and 40°C for precisely twelve hours with continuous agitation
- Introduce tetramethylguanidine base promoter at molar ratio of 10: 1 to substrate and continue reaction for additional twelve to twenty-four hours
Commercial Advantages for Procurement and Supply Chain Teams
This novel synthetic route directly addresses critical pain points in pharmaceutical intermediate procurement by offering a more sustainable production pathway that eliminates dependencies on volatile noble metal markets while maintaining high product quality standards required by global regulatory agencies. The methodology's compatibility with standard manufacturing infrastructure reduces capital investment requirements while enhancing operational flexibility for contract manufacturers serving multinational pharmaceutical clients across diverse therapeutic areas including oncology development programs.
- Cost Reduction in Manufacturing: Substitution of expensive palladium catalysts with readily available iron sulfate creates substantial cost savings throughout production cycles by eliminating both catalyst procurement expenses and complex metal removal processes required for regulatory compliance. The streamlined one-pot procedure reduces processing time while minimizing waste generation compared to multi-step conventional routes that require intermediate isolations and purifications.
- Enhanced Supply Chain Reliability: Sourcing simplicity through commercially available starting materials ensures consistent supply continuity even during market fluctuations as all reagents are produced by multiple global suppliers without geopolitical constraints affecting availability. Process robustness maintains high yields across different production scales without requiring specialized equipment or rare reagents that could create single-source dependencies.
- Scalability and Environmental Compliance: Methodology demonstrates seamless scalability from gram-scale laboratory synthesis to multi-ton commercial production without process reoptimization due to consistent performance metrics observed across different volume ranges. Mild reaction conditions significantly reduce energy consumption while generating minimal hazardous waste streams compared to conventional methods operating at elevated temperatures or pressures.
Frequently Asked Questions (FAQ)
The following questions address common technical concerns regarding implementation of this patented technology based on experimental data documented in CN110878099B validation studies conducted under Good Manufacturing Practice standards applicable to pharmaceutical intermediate production.
Q: How does this iron-catalyzed method eliminate critical limitations of conventional palladium-based synthesis?
A: The patented approach replaces expensive palladium catalysts with environmentally benign iron sulfate while operating at mild temperatures (10-40°C), eliminating both noble metal residue removal steps and high-energy reaction conditions that characterize traditional methods.
Q: What substrate diversity does this methodology support for pharmaceutical applications?
A: The process demonstrates exceptional functional group tolerance across halogenated (Cl/Br), alkylated (methyl/ethyl/isopropyl), alkoxy-substituted (phenoxy/trifluoromethoxy), and multi-methylated indole derivatives with consistent yields exceeding 75%.
Q: How does this technology enhance supply chain resilience for pharmaceutical manufacturers?
A: By utilizing commercially available starting materials and eliminating precious metal dependencies, the method ensures consistent supply continuity while reducing vulnerability to catalyst market fluctuations through simplified raw material sourcing.
Partnering with NINGBO INNO PHARMCHEM: Your Reliable Pyrrole Indole Alkaloid Derivative Supplier
Our patented iron-catalyzed synthesis represents a transformative approach to producing these critical pharmaceutical intermediates with exceptional purity profiles meeting stringent regulatory requirements across global markets. NINGBO INNO PHARMCHEM brings extensive experience scaling diverse pathways from 100 kgs to 100 MT/annual commercial production while maintaining stringent purity specifications through our state-of-the-art QC labs equipped with advanced analytical instrumentation for comprehensive impurity profiling.
We invite you to request a Customized Cost-Saving Analysis from our technical procurement team to evaluate how this innovative route can optimize your supply chain economics while ensuring reliable access to high-purity intermediates meeting your specific quality requirements through tailored COA data provision and route feasibility assessments.
