Advanced Chiral Resolution of Prostaglandin Intermediates for Commercial Scale Manufacturing
Advanced Chiral Resolution of Prostaglandin Intermediates for Commercial Scale Manufacturing
The pharmaceutical industry continuously seeks robust methodologies for producing high-purity chiral building blocks, particularly for complex therapeutic classes like prostaglandins and antiviral agents. Patent CN115010686A introduces a significant advancement in the chemical resolution of 2-oxabicyclo-[3.3.0]oct-6-en-3-one, a pivotal intermediate utilized in the synthesis of prostaglandin drugs and the antiviral medication entecavir. This technology addresses critical bottlenecks in existing manufacturing protocols by replacing inefficient phase-transfer operations with a streamlined metathesis and crystallization strategy. For R&D directors and procurement specialists, understanding this shift is vital as it promises enhanced optical purity and operational simplicity. The method transforms the racemic starting material through a controlled ring-opening hydrolysis followed by selective salt formation with chiral amines. By leveraging specific crystallization conditions, the process isolates the desired stereoisomer with exceptional efficiency, thereby reducing the reliance on imported chiral materials that have historically constrained domestic supply chains. This report analyzes the technical merits and commercial implications of adopting this resolution pathway for large-scale API intermediate production.
The Limitations of Conventional Methods vs. The Novel Approach
The Limitations of Conventional Methods
Historically, the production of chiral 2-oxabicyclo-[3.3.0]oct-6-en-3-one has relied heavily on resolution techniques involving phenethylamine, which present substantial operational challenges for industrial manufacturers. The conventional workflow typically necessitates a direct reaction between the resolving agent and the substrate, followed by a cumbersome pH adjustment sequence to shuttle the product between aqueous and organic phases. This two-phase transition stage is inherently prone to significant material loss, as emulsions often form and product partitioning is rarely quantitative, leading to depressed overall yields. Furthermore, the requirement for precise pH control adds layers of complexity to the process control strategy, demanding sophisticated monitoring equipment and increasing the risk of batch-to-batch variability. The excessive consumption of solvents required to manage these phase transfers also inflates production costs and generates larger volumes of chemical waste, conflicting with modern green chemistry mandates. Consequently, manufacturers face difficulties in scaling these legacy processes without compromising economic viability or environmental compliance standards.
The Novel Approach
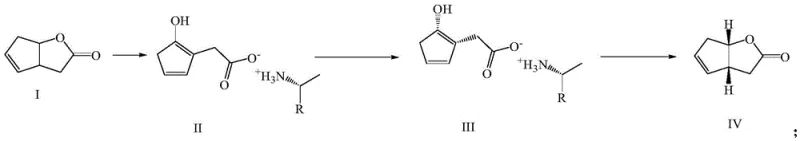
In stark contrast, the methodology disclosed in the patent utilizes a sophisticated metathesis reaction coupled with targeted crystallization to bypass the pitfalls of traditional phase-transfer resolutions. The process initiates by hydrolyzing the racemic lactone under basic conditions to form a water-soluble salt, which then undergoes a clean metathesis reaction with a pre-formed chiral amine hydrochloride, such as R-naphthylethylamine hydrochloride. This strategic conversion allows the diastereomeric salt to precipitate or crystallize directly from organic solvents like ethyl acetate or n-butyl acetate, eliminating the need for destructive pH swings between phases.
By stabilizing the chiral information within a crystalline salt lattice, the method achieves superior separation of enantiomers compared to liquid-liquid extraction techniques. The final step involves a mild hydrolysis and acidification to regenerate the free lactone with high optical purity, ensuring that the structural integrity of the sensitive bicyclic framework is maintained throughout the sequence. This approach not only simplifies the unit operations but also drastically reduces the solvent load and processing time, making it an ideal candidate for reliable pharmaceutical intermediates supplier networks aiming for efficiency.
Mechanistic Insights into Chiral Amine Metathesis and Crystallization
The core of this technological breakthrough lies in the precise manipulation of solubility differences between diastereomeric salts formed during the metathesis step. When the racemic carboxylate salt, generated from the initial base hydrolysis of the lactone, encounters the chiral ammonium cation derived from R-naphthylethylamine or R-ferroceneethylamine, a dynamic equilibrium is established in the solution. However, due to the distinct crystal lattice energies, one diastereomeric pair exhibits significantly lower solubility in specific ester solvents, driving the selective precipitation of the desired isomer while the unwanted enantiomer remains in the mother liquor. This crystallization-driven resolution is thermodynamically favorable and can be further optimized by controlling cooling rates and solvent ratios, ensuring that the solid phase is enriched with the target stereochemistry. The use of hydrochloride salts of the chiral amines is particularly advantageous as it prevents the formation of free bases that could catalyze unwanted side reactions or racemization during the prolonged contact times required for crystal growth. Moreover, the subsequent hydrolysis of the isolated salt under controlled pH conditions (pH 9-11) ensures gentle ring closure without epimerization, preserving the hard-won chiral purity achieved in the previous step.
From an impurity control perspective, this mechanism offers a robust barrier against the carryover of process-related contaminants that often plague multi-step syntheses. The crystallization step acts as a powerful purification engine, effectively excluding inorganic salts, excess chiral amine, and non-diastereomeric impurities from the final solid cake. Because the process avoids harsh acidic or basic conditions during the critical separation phase, the formation of degradation products such as ring-opened oligomers or polymerized species is minimized. The final acidification step is tightly regulated to a pH range of 2 to 3.5, which is sufficient to protonate the carboxylate and induce lactonization without exposing the sensitive olefinic bond to strong mineral acids that could cause hydration or isomerization. This meticulous control over the chemical environment ensures that the resulting high-purity chiral intermediates meet the stringent specifications required for downstream coupling reactions in prostaglandin synthesis. Ultimately, the mechanistic elegance of this route translates directly into a cleaner impurity profile, reducing the burden on downstream purification teams.
How to Synthesize (1S,5R)-2-oxabicyclo-[3.3.0]oct-6-en-3-one Efficiently
Implementing this resolution strategy requires strict adherence to the stoichiometric ratios and solvent selections outlined in the patent to maximize yield and optical purity. The process begins with the preparation of the racemic salt using common alkalis like sodium hydroxide or potassium hydroxide in solvents such as tetrahydrofuran or acetonitrile, followed by the crucial addition of the chiral amine hydrochloride. Operators must ensure that the metathesis reaction proceeds to completion before initiating the crystallization phase, typically by concentrating the reaction mixture and introducing anti-solvents like ethyl acetate to induce precipitation.
- Hydrolyze racemic Compound I with aqueous alkali (NaOH/KOH) in organic solvent to form the first salt.
- Perform metathesis with chiral amine hydrochloride (e.g., R-naphthylethylamine HCl) in organic solvent to generate Compound II.
- Crystallize Compound II in esters (e.g., ethyl acetate) to isolate the diastereomeric salt (Compound III).
- Hydrolyze Compound III with base and acidify to recover the optically pure target Compound IV.
Commercial Advantages for Procurement and Supply Chain Teams
For procurement managers and supply chain heads, the adoption of this resolution technology represents a strategic opportunity to optimize cost structures and secure supply continuity for critical API precursors. The elimination of complex phase-transfer operations significantly reduces the consumption of processing aids and solvents, leading to substantial cost savings in raw material procurement and waste disposal fees. By simplifying the workflow to a series of reaction, crystallization, and filtration steps, the process becomes far more amenable to automation and continuous manufacturing technologies, which enhances overall plant throughput. The reliance on commodity chemicals such as sodium hydroxide, hydrochloric acid, and common esters means that the supply chain is less vulnerable to the volatility associated with specialized reagents, ensuring stable pricing and availability. Furthermore, the high yield reported in the patent examples suggests that less starting material is required to produce the same amount of finished goods, directly improving the cost reduction in prostaglandin manufacturing metrics. These factors combine to create a resilient production model that can withstand market fluctuations while maintaining competitive margins.
- Cost Reduction in Manufacturing: The primary economic driver of this technology is the removal of the inefficient pH-swing extraction steps that characterize older methods, which traditionally resulted in significant product loss and high solvent usage. By transitioning to a direct crystallization of the diastereomeric salt, the process minimizes the volume of organic solvents required for extraction and washing, thereby lowering both purchase costs and environmental compliance expenses. Additionally, the ability to recover and recycle the chiral resolving agent from the mother liquor further enhances the economic feasibility of the route, as chiral amines are often high-value inputs. The streamlined nature of the process also reduces labor hours and utility consumption per kilogram of product, contributing to a leaner operational expenditure profile without compromising quality.
- Enhanced Supply Chain Reliability: Dependence on imported chiral intermediates has long been a vulnerability for domestic pharmaceutical manufacturers, but this method utilizes readily available resolving agents like naphthylethylamine that can be sourced from multiple global suppliers. The robustness of the crystallization step ensures consistent product quality even when minor variations in raw material quality occur, providing a buffer against supply chain disruptions. Because the process does not require exotic catalysts or sensitive reagents that have long lead times, procurement teams can maintain lower inventory levels while still guaranteeing production schedules. This flexibility allows for reducing lead time for high-purity API precursors, enabling faster response to market demand spikes for prostaglandin-based therapies.
- Scalability and Environmental Compliance: Scaling chemical processes often introduces unforeseen engineering challenges, yet this resolution method relies on unit operations such as crystallization and filtration that are well-understood and easily scaled from pilot to commercial volumes. The avoidance of chlorinated solvents and the use of greener alternatives like ethyl acetate and ethanol align with increasingly strict environmental regulations, reducing the regulatory burden on manufacturing sites. The high atom economy of the metathesis reaction ensures that waste generation is minimized, supporting corporate sustainability goals and reducing the cost of waste treatment. This scalability ensures that the commercial scale-up of complex bicyclic lactones can be achieved with confidence, meeting the growing global demand for antiviral and anti-inflammatory medications.
Frequently Asked Questions (FAQ)
The following questions address common technical and commercial inquiries regarding the implementation of this patented resolution technology in industrial settings. These insights are derived directly from the experimental data and claims presented in the patent documentation to provide clarity for potential partners.
Q: What are the advantages of this resolution method over traditional phenethylamine processes?
A: This method avoids the complex pH-adjustment phase transfer steps required by traditional phenethylamine methods, significantly reducing material loss during phase transitions and simplifying the operational workflow for industrial production.
Q: Which chiral resolving agents are preferred for this synthesis?
A: The patent specifies the use of R-naphthylethylamine or R-ferroceneethylamine converted into their hydrochloride salts, which facilitate effective metathesis and subsequent crystallization of the desired diastereomer.
Q: Is this process suitable for large-scale manufacturing of antiviral intermediates?
A: Yes, the process utilizes common solvents like ethanol and ethyl acetate and avoids exotic catalysts, making it highly suitable for commercial scale-up with yields reported around 93.5% in optimized examples.
Partnering with NINGBO INNO PHARMCHEM: Your Reliable 2-oxabicyclo-[3.3.0]oct-6-en-3-one Supplier
At NINGBO INNO PHARMCHEM, we recognize the critical role that high-quality chiral intermediates play in the development of life-saving medications, and we are committed to delivering excellence in every batch. Our technical team possesses extensive experience scaling diverse pathways from 100 kgs to 100 MT/annual commercial production, ensuring that the transition from laboratory innovation to industrial reality is seamless and efficient. We adhere to stringent purity specifications and operate rigorous QC labs equipped with advanced chiral chromatography systems to verify the optical purity of every shipment. By integrating the advanced resolution techniques described in CN115010686A into our manufacturing portfolio, we offer our clients a secure and cost-effective source for this vital prostaglandin precursor. Our commitment to quality assurance means that you can rely on us for consistent supply without the risks associated with import dependencies.
We invite global pharmaceutical partners to engage with us to explore how this technology can enhance your supply chain resilience and product quality. Please contact our technical procurement team to request a Customized Cost-Saving Analysis tailored to your specific volume requirements and production timelines. We are prepared to provide specific COA data and route feasibility assessments to demonstrate our capability to meet your exacting standards. Let us collaborate to drive innovation and efficiency in the production of next-generation therapeutic agents.
