Scalable Synthesis of Symmetric Polyamine Pyrrole Polyamide Conjugates for Advanced Gene Therapy
Introduction to Next-Generation Nucleic Acid Cutting Technology
The landscape of molecular biology and gene therapy is constantly evolving, driven by the demand for more precise and efficient tools for DNA manipulation. A pivotal advancement in this field is documented in patent CN101723872B, which discloses a novel symmetric conjugate of polyamine and pyrrole polyamide. This specific molecular architecture addresses critical limitations found in earlier generations of chemical nucleases, offering superior DNA recognition and cutting capabilities. The invention provides a robust synthetic pathway that bypasses the cumbersome protection-deprotection sequences typically required for polyamine functionalization. By leveraging a direct coupling strategy between activated pyrrole carboxylic acids and triethylenetetramine, manufacturers can achieve high-purity intermediates suitable for complex biological applications. This report analyzes the technical merits and commercial viability of producing these specialized conjugates, positioning them as essential components for reliable pharmaceutical intermediate supplier networks focused on genetic medicine.

The Limitations of Conventional Methods vs. The Novel Approach
The Limitations of Conventional Methods
Historically, the synthesis of polyamine-pyrrole conjugates for DNA targeting has been plagued by structural inefficiencies and operational complexities. Prior art, such as the compounds described in earlier patent applications like CN1475483 and CN1560112, often featured asymmetric or macrocyclic structures that failed to optimize the balance between DNA binding affinity and cleavage efficiency. Specifically, earlier iterations like the straight polyamine conjugates disclosed by Zhou et al. exhibited improved binding but lacked sufficient DNA identification strength, limiting their utility in antitumor applications. Furthermore, traditional synthetic routes frequently necessitated the protection of amino groups on the pyrrole rings to prevent side reactions. This requirement imposed harsh reaction conditions, including strictly anhydrous and oxygen-free environments, which drastically increased production costs and operational difficulty. These barriers made large-scale manufacturing economically unfeasible and technically risky for many fine chemical facilities.
The Novel Approach
The methodology outlined in the present patent represents a paradigm shift by introducing a symmetric structure that inherently stabilizes the DNA-complex interaction without requiring excessive structural bulk. As illustrated in the reaction schemes, the new approach utilizes a direct amide bond formation between a pre-synthesized dimeric pyrrole acid and a central polyamine core. This symmetry allows for optimal Py/Py pairing recognition of AT or TA base pairs while the polyamine chain facilitates strong electrostatic interactions with the DNA phosphate backbone. Crucially, the synthetic route eliminates the need for amino protection groups entirely. The reaction proceeds under mild conditions, utilizing standard solvents like DMF and methanol at ambient temperatures. This simplification not only reduces the number of synthetic steps but also minimizes the generation of hazardous waste, aligning with modern green chemistry principles while ensuring the final product retains high biological activity as a nucleic acid cutting reagent.
Mechanistic Insights into DCC/HOBT Mediated Amide Coupling
The core chemical transformation in this synthesis relies on the activation of the carboxylic acid moiety of the pyrrole dimer using N,N'-dicyclohexylcarbodiimide (DCC) and 1-hydroxybenzotriazole (HOBT). This activation strategy is chosen for its ability to generate a highly reactive O-acylisourea intermediate in situ, which is subsequently converted into a more stable active ester. This active ester is sufficiently electrophilic to react with the nucleophilic amine groups of triethylenetetramine without causing racemization or significant side reactions, which is critical for maintaining the stereochemical integrity required for DNA groove binding. The mechanism ensures that the coupling occurs selectively at the terminal amines of the polyamine chain, preserving the internal secondary amines that are vital for metal ion coordination. By controlling the stoichiometry and reaction time—typically stirring for 36 hours for activation followed by 24 hours for coupling—the process maximizes the conversion to the desired symmetric bis-amide product while minimizing the formation of mono-substituted impurities.
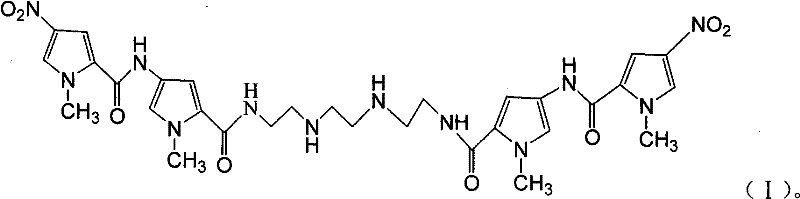
Impurity control is further enhanced by the specific workup procedure involving aqueous precipitation and silica gel chromatography. The patent specifies using a chloroform-methanol mixture (8:1 v/v) as the eluent, which effectively separates the target conjugate from urea byproducts derived from DCC and unreacted starting materials. The structural symmetry of the final molecule, N1,N4-bis[1-methyl-4-(1-methyl-4-nitropyrrole-2-amido)pyrrole-2-acyl]triethylenetetramine, contributes to its crystallinity and ease of purification. This purity is paramount because trace metal contaminants or incomplete conjugates could interfere with the subsequent complexation with catalytic metal ions like Co2+ or Cu2+. The rigorous purification protocol ensures that the final API intermediate meets the stringent quality standards required for downstream biological assays and potential therapeutic formulations.
How to Synthesize Symmetric Polyamine Pyrrole Polyamide Conjugate Efficiently
The synthesis of this high-value conjugate is designed for scalability, moving away from laboratory-scale curiosities to industrial feasibility. The process begins with the hydrolysis of the methyl ester precursor, followed by the critical coupling step. Detailed below is the strategic overview of the workflow that ensures consistent quality and yield. For the complete standardized operating procedures, including specific mixing rates and safety protocols, please refer to the technical guide inserted below.
- Hydrolyze 1-methyl-4-(1-methyl-4-nitropyrrole-2-amido)pyrrole-2-carboxylic acid methyl ester using sodium hydroxide in methanol-water at 60°C to obtain the free acid.
- Activate the carboxyl group of the resulting acid using DCC and HOBT in DMF at room temperature for 36 hours to form the active ester intermediate.
- React the activated intermediate with triethylenetetramine at room temperature for 24 hours, followed by aqueous workup and silica gel chromatography to isolate the final conjugate.
Commercial Advantages for Procurement and Supply Chain Teams
For procurement managers and supply chain directors, the adoption of this patented synthesis route offers tangible benefits in terms of cost structure and logistical reliability. The elimination of amino protection steps translates directly into a reduction in raw material consumption and solvent usage. Traditional methods requiring protecting groups often involve additional reagents for both installation and removal, each step adding time, cost, and potential yield loss. By streamlining the synthesis to a direct coupling model, the overall process mass intensity is significantly lowered. This efficiency gain allows for a more competitive pricing structure for the final nucleic acid cutting reagents, making advanced gene therapy tools more accessible to research institutions and pharmaceutical developers seeking cost reduction in pharmaceutical intermediates manufacturing.
- Cost Reduction in Manufacturing: The economic advantage of this process is driven by the simplification of the reaction workflow. By avoiding the use of expensive protecting group reagents and the associated purification steps, the direct material costs are substantially decreased. Furthermore, the ability to run reactions at room temperature reduces energy consumption associated with heating or cooling large reactors. The high yield reported in the embodiments, reaching up to 85%, ensures that raw material utilization is optimized, minimizing the cost per kilogram of the active conjugate. This efficiency creates a buffer against fluctuations in the pricing of specialty heterocyclic starting materials, providing long-term financial stability for production budgets.
- Enhanced Supply Chain Reliability: Operational simplicity is a key driver for supply chain resilience. Since the synthesis does not require stringent anhydrous or oxygen-free conditions, it can be performed in standard glass-lined or stainless steel reactors without the need for specialized inert atmosphere equipment. This flexibility reduces the risk of batch failures due to environmental control issues and allows for faster turnaround times between batches. The robustness of the chemistry means that production schedules are less susceptible to delays caused by equipment maintenance or complex setup procedures. Consequently, suppliers can offer more reliable lead times for high-purity pharmaceutical intermediates, ensuring that downstream drug development projects remain on track without interruption.
- Scalability and Environmental Compliance: The pathway is inherently scalable, having been demonstrated to work effectively with molar quantities that can be extrapolated to commercial tonnage. The use of common solvents like DMF, methanol, and chloroform facilitates solvent recovery and recycling programs, which are essential for meeting modern environmental regulations. The reduction in synthetic steps also means a lower total volume of chemical waste generated per unit of product. This aligns with corporate sustainability goals and reduces the costs associated with waste disposal and treatment. The ability to scale up complex polymer additives or bio-active conjugates without proportionally increasing environmental impact is a critical factor for maintaining a social license to operate in the fine chemical sector.
Frequently Asked Questions (FAQ)
The following questions address common technical and commercial inquiries regarding the production and application of these symmetric conjugates. The answers are derived directly from the experimental data and claims presented in the patent literature, ensuring accuracy and relevance for technical decision-makers.
Q: What are the key advantages of this symmetric conjugate over prior art structures?
A: Unlike previous asymmetric or macrocyclic conjugates which suffered from poor DNA recognition or cutting efficiency, this symmetric structure enhances binding affinity to TA base pairs while maintaining effective nicking activity through stable metal ion coordination.
Q: Does the synthesis require stringent anhydrous or oxygen-free conditions?
A: No, a major breakthrough of this patented method is that the final coupling steps proceed efficiently at room temperature without the need for complex amino protection strategies or strictly anhydrous environments, significantly simplifying operational requirements.
Q: Which metal ions are compatible with this conjugate for nucleic acid cutting applications?
A: The conjugate effectively forms complexes with transition metal ions such as Cobalt (Co2+), Zinc (Zn2+), and Copper (Cu2+), which act as the catalytic center for the site-specific cleavage of DNA plasmids like pBR322.
Partnering with NINGBO INNO PHARMCHEM: Your Reliable Symmetric Polyamine Pyrrole Polyamide Conjugate Supplier
At NINGBO INNO PHARMCHEM, we recognize the critical role that high-quality intermediates play in the development of next-generation therapeutics. Our technical team has extensively evaluated the synthetic route described in CN101723872B and confirmed its viability for large-scale production. We possess extensive experience scaling diverse pathways from 100 kgs to 100 MT/annual commercial production, ensuring that your supply needs are met with consistency and precision. Our facilities are equipped with rigorous QC labs capable of verifying stringent purity specifications, including detailed NMR and MS analysis to confirm the symmetric structure and absence of regio-isomers. We are committed to delivering materials that support the highest standards of research and development in the life sciences sector.
We invite you to collaborate with us to optimize your supply chain for these specialized reagents. Our team can provide a Customized Cost-Saving Analysis tailored to your specific volume requirements, identifying opportunities to further reduce expenses through bulk purchasing or process adjustments. We encourage potential partners to contact our technical procurement team to request specific COA data and route feasibility assessments. By leveraging our expertise in heterocyclic chemistry and amide coupling, we can help you accelerate your project timelines and bring innovative nucleic acid cutting technologies to market faster.
Engineering Bottleneck?
Can't scale up this synthesis? Upload your target structure or CAS, and our CDMO team will evaluate the industrial feasibility within 24 hours. Request Evaluation →
