Advanced Ruthenium Bipyridine Dye Sensitizers: Technical Breakthroughs and Commercial Scalability for Solar Energy
The rapid evolution of third-generation photovoltaic technologies has placed Dye-Sensitized Solar Cells (DSSCs) at the forefront of renewable energy research, driven by the urgent global demand for sustainable power sources. Patent CN111187302B introduces a groundbreaking advancement in this field by disclosing a novel high-efficiency bipyridyl ruthenium dye sensitizer that significantly outperforms traditional benchmarks. This specific molecular architecture integrates a phenothiazine derivative with a thiophene bridge and a ruthenium bipyridine core, creating a sophisticated push-pull electron system. The technical breakthrough lies in its ability to extend the absorption spectral response to nearly 700nm and achieve a monochromatic photoelectric conversion efficiency exceeding 70% in the 400-600nm range. For R&D directors and procurement specialists in the electronic materials sector, this patent represents a pivotal shift towards more efficient light-harvesting materials that can be synthesized through a defined, reproducible chemical pathway.

The Limitations of Conventional Methods vs. The Novel Approach
The Limitations of Conventional Methods
Traditional ruthenium-based sensitizers, such as the industry-standard N719, have long served as the workhorse for DSSC applications, yet they suffer from inherent limitations regarding light harvesting in the red and near-infrared regions. The absorption spectrum of conventional dyes often cuts off before 700nm, leaving a significant portion of the solar spectrum unused, which caps the overall power conversion efficiency. Furthermore, the rigid structure of classic bipyridine ligands can lead to issues with dye aggregation on the TiO2 surface, causing charge recombination losses that degrade device performance. From a manufacturing perspective, optimizing these older generations often requires complex co-adsorbents or intricate surface treatments to mitigate these physical limitations, adding layers of complexity and cost to the cell assembly process. The reliance on simpler ligand systems restricts the tunability of the HOMO-LUMO energy levels, making it difficult to match the redox potential of newer electrolytes effectively.
The Novel Approach
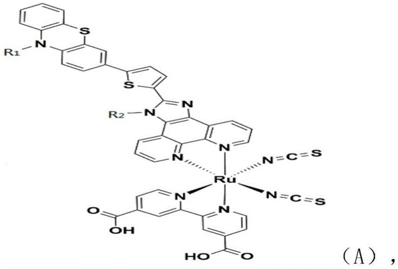
The methodology outlined in the patent addresses these deficiencies by engineering a donor-pi-acceptor (D-pi-A) architecture that fundamentally alters the electronic properties of the sensitizer. By incorporating a phenothiazine moiety linked via a thiophene bridge to the phenanthroline ligand, the new design drastically extends the pi-conjugation system. This structural modification facilitates intramolecular charge transfer (ICT), effectively red-shifting the absorption edge and enhancing the molar extinction coefficient. The introduction of long alkyl chains on the phenothiazine nitrogen serves a dual purpose: it improves solubility in organic processing solvents and acts as an insulating barrier to prevent dye aggregation on the semiconductor surface. This novel approach not only boosts the short-circuit current density but also simplifies the device fabrication by reducing the need for excessive co-adsorbents, thereby streamlining the manufacturing workflow for high-performance solar modules.
Mechanistic Insights into Phenothiazine-Modified Ruthenium Coordination
The core of this technology relies on a precise sequence of organic transformations culminating in a metal-ligand coordination step that defines the final electronic characteristics of the dye. The synthesis begins with a palladium-catalyzed Suzuki-Miyaura cross-coupling reaction, which links the electron-rich phenothiazine donor to the thiophene spacer. This step is critical for establishing the conjugated backbone necessary for efficient electron delocalization. Subsequently, a condensation reaction with 1,10-phenanthroline-5,6-dione constructs the heterocyclic ligand framework that will eventually coordinate with the ruthenium center. The mechanism involves the formation of an imine intermediate which cyclizes to form the extended phenanthroline derivative. This ligand design ensures strong orbital overlap between the donor and the metal center, facilitating rapid electron injection into the TiO2 conduction band upon photoexcitation.
Following the ligand synthesis, the final coordination step involves reacting the functionalized ligand with a ruthenium precursor, specifically dichlorobis(4-methylisopropylphenyl)ruthenium(II), in the presence of bipyridine dicarboxylic acid and thiocyanate ions. This complex assembly creates an octahedral geometry around the ruthenium ion, stabilizing the excited state and ensuring long-term thermal stability. The thiocyanate ligands play a crucial role in tuning the energy levels of the metal center, while the carboxylic acid groups on the bipyridine ring serve as anchoring groups to bind the dye firmly to the nanocrystalline titanium dioxide film. The entire process is designed to minimize side reactions and impurity formation, utilizing specific solvent systems and temperature controls to maximize yield and purity, which is essential for consistent batch-to-batch performance in commercial solar cell production.

How to Synthesize High-Efficiency Ruthenium Bipyridine Dye Sensitizer Efficiently
The preparation of this advanced sensitizer follows a robust four-step protocol that balances high yield with operational simplicity, making it attractive for scale-up. The process initiates with the coupling of boronic acid derivatives under inert atmosphere, followed by heterocyclic ring closure and alkylation to install the solubilizing chains. The final metallation step requires careful temperature ramping and stoichiometric control to ensure complete coordination without degrading the sensitive organic ligands. Detailed standardized synthesis procedures, including specific molar ratios, solvent choices, and purification techniques like column chromatography and recrystallization, are essential for achieving the reported 9.17% conversion efficiency.
- Perform Suzuki coupling between 5-formyl-2-thiopheneboronic acid and carbon-chain modified 3-bromophenothiazine using Pd catalyst to form the aldehyde intermediate.
- Condense the aldehyde intermediate with 1,10-phenanthroline-5,6-dione and ammonium acetate to construct the extended pi-conjugated ligand framework.
- Execute N-alkylation on the ligand followed by coordination with dichlorobis(4-methylisopropylphenyl)ruthenium(II) and bipyridine dicarboxylic acid to finalize the sensitizer.
Commercial Advantages for Procurement and Supply Chain Teams
For procurement managers and supply chain heads, the transition to this new sensitizer technology offers tangible benefits rooted in raw material availability and process efficiency. The synthetic route utilizes commodity chemicals such as phenothiazine derivatives, thiophene boronic acids, and standard ruthenium salts, which are widely sourced from the global fine chemical market. This reduces the risk of supply bottlenecks often associated with exotic or proprietary intermediates. Furthermore, the reaction conditions employ common organic solvents like DMF, THF, and acetic acid, eliminating the need for specialized or hazardous reagents that complicate logistics and waste management. The ability to purify intermediates through standard recrystallization and silica gel chromatography ensures that quality control can be maintained without requiring expensive preparative HPLC infrastructure.
- Cost Reduction in Manufacturing: The streamlined synthesis pathway significantly lowers the cost of goods sold by minimizing the number of purification steps and maximizing the yield of key intermediates. By avoiding the use of expensive transition metal catalysts in the final steps and relying on efficient coupling reactions, the overall material cost is optimized. The high photoelectric conversion efficiency of the final product means that less dye is required per unit area of the solar cell to achieve the same power output, effectively reducing the material consumption cost per watt. Additionally, the improved stability of the dye reduces degradation losses during storage and transport, further enhancing the economic viability of the supply chain.
- Enhanced Supply Chain Reliability: The reliance on established chemical transformations such as Suzuki coupling and standard coordination chemistry ensures that the manufacturing process is robust and easily transferable between different production sites. This flexibility mitigates the risk of single-source dependency and allows for rapid scaling in response to market demand. The use of stable intermediates that can be stockpiled without significant degradation adds a layer of security to the inventory management strategy. Moreover, the compatibility of the synthesis with standard reactor setups means that existing chemical manufacturing facilities can be adapted for production with minimal capital expenditure, ensuring a continuous and reliable supply of high-quality sensitizer materials.
- Scalability and Environmental Compliance: The process is designed with scalability in mind, utilizing reaction conditions that are safe and manageable on a large industrial scale. The avoidance of extremely low temperatures or high-pressure environments simplifies the engineering requirements for production plants. From an environmental perspective, the use of recyclable solvents and the generation of manageable waste streams align with modern green chemistry principles. The high atom economy of the coupling reactions minimizes waste generation, reducing the burden on wastewater treatment facilities. This compliance with environmental standards not only lowers regulatory risks but also enhances the brand value of the end-product in markets that prioritize sustainability and eco-friendly manufacturing practices.
Frequently Asked Questions (FAQ)
The following questions address common technical and commercial inquiries regarding the implementation of this ruthenium bipyridine dye sensitizer in DSSC manufacturing. These insights are derived directly from the patent specifications and experimental data, providing a clear understanding of the technology's capabilities and limitations. Understanding these details is crucial for making informed decisions about adopting this material for next-generation solar energy applications.
Q: How does the phenothiazine modification improve DSSC efficiency compared to standard N719 dye?
A: The phenothiazine unit acts as a strong electron donor, extending the conjugation system and red-shifting the absorption spectrum up to 700nm, which significantly enhances photon capture in the visible region compared to traditional ruthenium dyes.
Q: What are the critical purification steps to ensure high purity for electronic grade application?
A: The process utilizes column chromatography with specific silica gel mesh sizes (200-300 mesh) and recrystallization from solvents like methanol or ethanol to remove unreacted precursors and metal impurities, ensuring stringent purity specifications.
Q: Is the synthesis route scalable for industrial production of battery materials?
A: Yes, the route relies on robust reactions like Suzuki coupling and standard coordination chemistry using commercially available reagents, making it highly suitable for scale-up from laboratory to multi-ton commercial production.
Partnering with NINGBO INNO PHARMCHEM: Your Reliable Ruthenium Bipyridine Dye Sensitizer Supplier
As the demand for high-efficiency energy storage and conversion materials continues to surge, partnering with an experienced CDMO like NINGBO INNO PHARMCHEM is essential for navigating the complexities of commercial production. We possess extensive experience scaling diverse pathways from 100 kgs to 100 MT/annual commercial production, ensuring that your supply needs are met with precision and consistency. Our facility is equipped with rigorous QC labs capable of verifying stringent purity specifications, ensuring that every batch of sensitizer meets the exacting standards required for high-performance electronic applications. We understand the critical nature of impurity profiles in photovoltaic materials and employ advanced analytical techniques to guarantee product integrity.
We invite you to engage with our technical procurement team to discuss how we can optimize your supply chain for this advanced dye sensitizer. By requesting a Customized Cost-Saving Analysis, you can gain deeper insights into how our manufacturing efficiencies can translate into lower costs for your final solar modules. We encourage potential partners to contact us for specific COA data and route feasibility assessments tailored to your unique production requirements. Let us help you accelerate the deployment of next-generation solar technology with a reliable and scalable supply of premium-grade sensitizers.
Engineering Bottleneck?
Can't scale up this synthesis? Upload your target structure or CAS, and our CDMO team will evaluate the industrial feasibility within 24 hours. Request Evaluation →
