Advanced Coumarin-Based Iridium Phosphors for High-Efficiency OLED Manufacturing
Advanced Coumarin-Based Iridium Phosphors for High-Efficiency OLED Manufacturing
The rapid industrialization of Organic Light-Emitting Diode (OLED) technology in display and lighting sectors has intensified the demand for high-performance phosphorescent materials. As detailed in patent CN109608502B, a significant breakthrough has been achieved through the development of organometallic iridium complex phosphorescent materials incorporating a coumarin skeleton. Traditional fluorescent materials are fundamentally limited by carrier spin statistics, utilizing only 25% of generated singlet excitons, which caps external quantum efficiency (EQE) at roughly 5%. In contrast, phosphorescent materials leverage heavy metal atoms like iridium to induce strong spin-orbit coupling, facilitating intersystem crossing and theoretically enabling 100% internal quantum efficiency. This patent introduces a novel class of emitters that not only harness this triplet energy but also utilize the inherent structural advantages of the coumarin framework to optimize performance.
The core innovation lies in the strategic integration of the coumarin skeleton into traditional 2-phenylpyridine ligands. The coumarin unit is a rigid benzoheterocyclic structure known for its high luminescence quantum yield and structural simplicity. By embedding this rigid motif into the ligand system, the probability of non-radiative transitions is significantly reduced, directly enhancing the radiative transition rate of the material. Furthermore, the patent elucidates a versatile synthetic strategy where emission properties are finely tuned not through complex, multi-step ligand modifications, but by controlling substitution positions on the coumarin ring and employing asymmetric structural types. This approach allows for the simultaneous regulation of luminescence wavelength and efficiency, yielding materials such as IrC5, IrC7, and AIrC7 that exhibit excellent electroluminescent characteristics suitable for next-generation display applications.
The Limitations of Conventional Methods vs. The Novel Approach
The Limitations of Conventional Methods
Historically, the regulation of emission colors in iridium complexes has been a challenging endeavor requiring intricate and often costly chemical modifications of the ligand periphery. Conventional methods frequently rely on extending conjugation systems or introducing electron-donating and withdrawing groups through multiple synthetic steps, which can compromise the overall yield and purity of the final product. Moreover, many traditional ligands lack sufficient structural rigidity, leading to significant energy dissipation through molecular vibrations and rotations in the excited state. This non-radiative decay pathway severely limits the luminous efficiency of the resulting OLED devices. Additionally, achieving precise color tuning often involves trial-and-error synthesis of numerous derivatives, resulting in prolonged R&D cycles and increased material costs for electronic chemical manufacturing. The complexity of these conventional routes also poses scalability challenges, as purification becomes increasingly difficult with larger, more flexible molecular architectures.
The Novel Approach
The methodology presented in patent CN109608502B offers a paradigm shift by utilizing the coumarin skeleton as a foundational building block. This approach capitalizes on the intrinsic rigidity and strong发光 characteristics of coumarin derivatives. Instead of complex peripheral modifications, the invention demonstrates that simple changes in the substitution position on the benzene ring of the coumarin moiety are sufficient to achieve regulation across red, orange, and green emission spectra. The adoption of asymmetric structures, specifically the Ir(C1^N)(C2^N)(acac) type, further enhances this control by allowing independent tuning of the highest occupied molecular orbital (HOMO) and lowest unoccupied molecular orbital (LUMO) levels through different ligands. This strategy simplifies the molecular design process while maintaining high quantum yields. For a reliable OLED material supplier, this translates to a more streamlined production workflow where a single core scaffold can be adapted for various color requirements without reinventing the synthetic wheel, thereby offering substantial advantages in both time-to-market and cost efficiency.
Mechanistic Insights into Coumarin-Enhanced Phosphorescence
The superior performance of these materials is rooted in the photophysical properties imparted by the coumarin skeleton. The large rigidity of the benzoheterocyclic structure plays a critical role in suppressing non-radiative decay pathways. In the excited state, flexible molecules tend to lose energy through vibrational relaxation; however, the fused ring system of the coumarin unit restricts these motions, forcing the energy to be released radiatively as light. This structural constraint is complemented by the heavy atom effect of the central iridium ion. The strong spin-orbit coupling induced by the iridium atom facilitates efficient intersystem crossing from the singlet to the triplet state, ensuring that the theoretically available 75% of triplet excitons are harvested for light emission. The synergy between the rigid organic ligand and the heavy metal center results in complexes with high luminescence quantum yields, making them ideal candidates for high-efficiency OLED applications.
Furthermore, the synthetic mechanism allows for precise control over the coordination environment. The formation of the carbon-metal (C-M) bond between the coumarin-based ligand and the iridium ion is crucial for stabilizing the complex and defining its electronic properties. The patent details the formation of chloro-bridged dimers as intermediates, which are subsequently converted into neutral monomeric complexes using acetylacetone (acac) ligands. This two-step metalation process ensures high purity and structural integrity. The ability to form asymmetric complexes by mixing different ligands (e.g., a coumarin-based ligand with 2-phenylquinoline) provides an additional degree of freedom for tuning the emission color without sacrificing stability. This mechanistic understanding is vital for commercial scale-up of complex electronic chemicals, as it ensures that the production process is robust and reproducible, minimizing batch-to-batch variations that could affect device performance.

How to Synthesize Coumarin-Based Iridium Complexes Efficiently
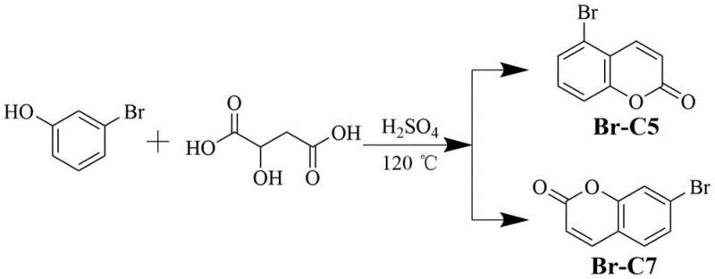
The synthesis protocol outlined in the patent is designed for practicality and scalability, consisting of three distinct stages: ligand preparation, dimerization, and final complexation. The process begins with the construction of the coumarin scaffold, typically achieved through acid-catalyzed cyclization of bromophenols with suitable precursors like DL-malic acid, followed by palladium-catalyzed Stille coupling to introduce the pyridine moiety. This modular approach allows for the generation of diverse ligands (L-C5, L-C6, L-C7, L-C8) from common starting materials. The subsequent metalation step involves reacting these ligands with iridium trichloride hydrate in a THF/water mixture at elevated temperatures to form the chloro-bridged dimer. Finally, the dimer is cleaved and capped with an acac ligand using thallium acetylacetonate in dichloromethane. Detailed standardized synthesis steps are provided in the guide below to ensure reproducibility and high purity.
- Synthesize coumarin-based ligands (e.g., L-C5, L-C7) via acid-catalyzed cyclization of bromophenols followed by Stille coupling with pyridyl tin reagents.
- React the organic ligands with hydrated iridium trichloride in a THF/water mixture at 110°C to form chloro-bridged iridium dimers.
- Convert the iridium dimers into the final acac complexes by reacting with thallium acetylacetonate in dichloromethane at room temperature.
Commercial Advantages for Procurement and Supply Chain Teams
For procurement managers and supply chain heads, the adoption of this coumarin-based technology presents compelling economic and logistical benefits. The synthetic route relies on readily available commodity chemicals such as m-bromophenol, DL-malic acid, and p-bromophenol, which ensures a stable and cost-effective raw material supply chain. Unlike proprietary ligands that may depend on scarce or expensive precursors, the coumarin scaffold can be synthesized on a large scale using established industrial processes like Pechmann condensation. This accessibility significantly mitigates supply risk and price volatility, which are critical concerns in the electronic chemical manufacturing sector. Moreover, the streamlined synthesis reduces the number of purification steps required, leading to lower solvent consumption and waste generation, aligning with modern environmental compliance standards.
- Cost Reduction in Manufacturing: The simplified molecular design eliminates the need for complex, multi-step ligand modifications that are typical in conventional phosphorescent material synthesis. By achieving color tuning through simple positional changes on the coumarin ring, the overall synthetic sequence is shortened, reducing labor, energy, and reagent costs. The use of standard catalysts like Pd(PPh3)4 and common solvents like toluene and dichloromethane further optimizes the cost structure. This efficiency translates into a lower cost of goods sold (COGS), allowing for more competitive pricing in the OLED material market without compromising on performance metrics.
- Enhanced Supply Chain Reliability: The robustness of the synthetic pathway ensures high reproducibility, which is essential for maintaining consistent supply to display manufacturers. The reactions operate under moderate conditions (e.g., 110°C for dimerization) that are easily manageable in standard chemical reactors, reducing the risk of process failures or safety incidents. Additionally, the high yields reported in the patent examples (e.g., >80% for ligand synthesis) indicate a mature process that minimizes material loss. This reliability is crucial for reducing lead time for high-purity OLED materials, ensuring that production schedules are met without delays caused by low-yield batches or complex purification bottlenecks.
- Scalability and Environmental Compliance: The process is inherently scalable, moving seamlessly from gram-scale laboratory synthesis to kilogram or ton-scale production. The use of common organic solvents facilitates straightforward recovery and recycling, supporting sustainable manufacturing practices. The elimination of exotic reagents simplifies waste treatment protocols, reducing the environmental footprint of the production facility. For supply chain leaders, this means easier regulatory compliance and lower operational risks associated with hazardous material handling. The ability to scale up efficiently ensures that the supply can meet the growing demand for high-resolution displays and lighting solutions driven by the global OLED market expansion.

Frequently Asked Questions (FAQ)
The following questions address common technical and commercial inquiries regarding the implementation of coumarin-based iridium complexes in OLED production. These insights are derived directly from the experimental data and claims within patent CN109608502B, providing a factual basis for decision-making. Understanding these details helps R&D and procurement teams evaluate the feasibility of integrating these materials into their existing supply chains and product portfolios.
Q: How does the coumarin skeleton improve OLED efficiency?
A: The coumarin skeleton provides a highly rigid benzoheterocyclic structure. This rigidity suppresses non-radiative transitions and vibrational energy loss, thereby significantly enhancing the luminescence quantum yield of the iridium complex.
Q: Can the emission color be tuned using this method?
A: Yes, the patent demonstrates that by controlling the substitution position on the coumarin ring and utilizing asymmetric structures (Ir(C1^N)(C2^N)(acac)), the emission wavelength can be effectively regulated across red, orange, and green spectra.
Q: What are the key reaction conditions for the dimerization step?
A: The dimerization typically involves reacting the organic ligand with iridium trichloride hydrate in a mixed solvent of THF and water (volume ratio 3:1) under a nitrogen atmosphere at temperatures between 100°C and 110°C for approximately 16 hours.
Partnering with NINGBO INNO PHARMCHEM: Your Reliable Coumarin-Based Iridium Complex Supplier
The development of coumarin-based iridium phosphors represents a significant leap forward in OLED material technology, offering a balance of high performance and synthetic accessibility. At NINGBO INNO PHARMCHEM, we possess extensive experience scaling diverse pathways from 100 kgs to 100 MT/annual commercial production, ensuring that innovative laboratory discoveries are successfully translated into industrial reality. Our state-of-the-art facilities are equipped with rigorous QC labs capable of meeting stringent purity specifications required for electronic grade materials. We understand the critical nature of impurity profiles in OLED emitters and employ advanced chromatographic techniques to guarantee the highest quality standards for every batch delivered.
We invite you to collaborate with us to optimize your material sourcing strategy. Our technical team is ready to provide a Customized Cost-Saving Analysis tailored to your specific production needs, identifying opportunities to reduce expenses while maintaining superior device performance. We encourage you to contact our technical procurement team to request specific COA data and route feasibility assessments for these advanced phosphorescent materials. By partnering with us, you gain access to a reliable supply chain partner committed to driving innovation and efficiency in the global display industry.
Engineering Bottleneck?
Can't scale up this synthesis? Upload your target structure or CAS, and our CDMO team will evaluate the industrial feasibility within 24 hours. Request Evaluation →
