Advanced Synthesis of Dihydroxy Azabicyclo Heptane Derivatives for High-Purity Pharmaceutical Intermediates
Advanced Synthesis of Dihydroxy Azabicyclo Heptane Derivatives for High-Purity Pharmaceutical Intermediates
The pharmaceutical industry continuously seeks novel scaffolds that offer improved pharmacokinetic profiles, particularly regarding solubility and bioavailability. A significant breakthrough in this domain is documented in patent CN101463002A, which details the preparation of dihydroxy-2-azabicyclo[2.2.1]heptane-3-carboxylic acid derivatives. This technology addresses the critical limitations of existing azabicyclo compounds, which often exhibit poor water solubility and restricted spatial configuration, thereby limiting their efficacy as active pharmaceutical ingredients (APIs). By strategically introducing hydroxyl groups at the 6 and 7 positions of the bicyclic framework, this invention creates a versatile platform for developing high-purity pharmaceutical intermediates with enhanced metabolic stability and receptor binding capabilities. As a leading reliable pharmaceutical intermediate supplier, understanding such innovative synthetic routes is essential for driving the next generation of therapeutic agents.
The Limitations of Conventional Methods vs. The Novel Approach
The Limitations of Conventional Methods
Traditional azabicyclo[2.2.1]heptane derivatives have long been valued for their rigid structure, which helps in locking pharmacophores into specific conformations required for biological activity. However, conventional synthetic methods typically focus on modifications at the nitrogen atom or the C3 carboxyl position, leaving the carbon skeleton largely unfunctionalized. This lack of functional diversity results in molecules that are often too lipophilic, leading to poor aqueous solubility and consequently low bioavailability in vivo. Furthermore, the rigid nature of the unmodified scaffold restricts the spatial extension of the molecule, preventing it from effectively engaging with diverse enzymatic pockets or receptor sites that require specific three-dimensional orientations. These structural deficiencies often necessitate complex formulation strategies or result in the abandonment of promising drug candidates during early development phases due to inadequate ADME (Absorption, Distribution, Metabolism, and Excretion) properties.
The Novel Approach
The methodology outlined in patent CN101463002A represents a paradigm shift by directly modifying the carbocyclic backbone of the azabicyclo system. Instead of relying solely on N-substitution, this novel approach utilizes a rearrangement strategy to install hydrophilic hydroxyl groups at the 6 and 7 positions. This structural modification not only drastically improves the polarity and water solubility of the core scaffold but also opens up new avenues for further derivatization through etherification or acylation at these newly accessible hydroxyl sites. The ability to tune the physicochemical properties of the molecule while maintaining the rigid bicyclic core allows medicinal chemists to optimize the balance between potency and drug-likeness. This approach effectively solves the technical problems associated with the poor solubility and limited structural extendibility of prior art compounds, providing a robust foundation for the synthesis of biologically active agents targeting various therapeutic areas.
Mechanistic Insights into Mitsunobu-Mediated Rearrangement
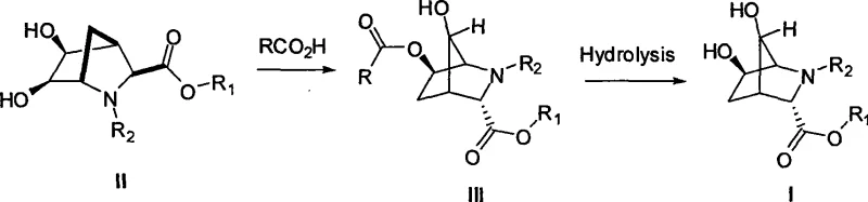
The core of this synthetic innovation lies in a sophisticated application of the Mitsunobu reaction, traditionally known for nucleophilic substitution with inversion of configuration, but here utilized to induce a skeletal rearrangement. The process begins with a (1R,3S,4S,5S,6R)-5,6-dihydroxy-2-azabicyclo[2.2.1]heptane-3-carboxylic ester serving as the chiral starting material. Under the influence of an azo condensing agent, such as diethyl azodicarboxylate (DEAD) or diisopropyl azodicarboxylate (DIAD), and a phosphine reagent like triphenylphosphine, the substrate reacts with a carboxylic acid. This interaction triggers a complex cascade where the initial activation of the hydroxyl group leads to a rearrangement rather than a simple substitution. The result is the formation of a (3S,6R)-7-hydroxyl-6-(acyloxy)-2-azabicyclo[2.2.1]heptane-3-carboxylic ester intermediate. This transformation is highly stereoselective, preserving the integrity of the chiral centers while shifting the oxygen functionality to the desired positions on the bridge.
![General synthetic route for dihydroxy-2-azabicyclo[2.2.1]heptane-3-carboxylic acid derivatives via Mitsunobu rearrangement](/insights/img/dihydroxy-azabicyclo-heptane-synthesis-pharma-supplier-20260315063205-08.webp)
Following the rearrangement, the acyloxy protecting group is removed via hydrolysis to reveal the free hydroxyl group, yielding the target 6,7-dihydroxy derivative. The choice of carboxylic acid in the first step is critical; aryl acids like p-nitrobenzoic acid or phenylformic acid are preferred as they facilitate the rearrangement and can be easily cleaved in the subsequent hydrolysis step using mild bases such as potassium carbonate or sodium hydroxide. The reaction conditions are remarkably mild, typically proceeding at temperatures between 0°C and room temperature for the rearrangement, and slightly elevated temperatures (40-60°C) for the hydrolysis. This mechanistic pathway ensures high stereochemical purity, which is paramount for pharmaceutical applications where enantiomeric excess directly correlates with biological efficacy and safety profiles. The ability to control the stereochemistry at the 6 and 7 positions allows for the precise tuning of the molecule's interaction with biological targets.
How to Synthesize Dihydroxy Azabicyclo Heptane Derivatives Efficiently
The synthesis of these valuable intermediates requires precise control over reaction parameters to ensure high yields and purity. The process generally involves dissolving the dihydroxy starting ester and the chosen carboxylic acid in an anhydrous aprotic solvent such as tetrahydrofuran (THF). Triphenylphosphine is added, followed by the slow addition of the azo reagent at low temperatures to manage the exotherm. After stirring to completion, the intermediate is isolated and subjected to basic hydrolysis. For a detailed breakdown of the specific operational parameters, stoichiometry, and workup procedures demonstrated in the patent examples, please refer to the standardized synthesis guide below.
- React (1R,3S,4S,5S,6R)-5,6-dihydroxy-2-azabicyclo[2.2.1]heptane-3-carboxylic ester with a carboxylic acid using an azo condensing agent (e.g., DEAD, DIAD) and triphenylphosphine in anhydrous THF at 0°C to room temperature to form the rearranged ester intermediate.
- Purify the intermediate rearrangement product via column chromatography to isolate the 7-hydroxyl-6-(acyloxy) derivative.
- Perform hydrolysis of the ester intermediate using an alkali base (e.g., K2CO3, NaOH, LiOH) in an alcohol/water mixture at elevated temperatures (40-60°C) to yield the final dihydroxy-2-azabicyclo[2.2.1]heptane-3-carboxylic acid or its ester.
Commercial Advantages for Procurement and Supply Chain Teams
From a commercial perspective, the adoption of this synthetic route offers substantial benefits for procurement and supply chain management within the pharmaceutical sector. The reliance on readily available starting materials and common reagents significantly mitigates supply risk. Unlike processes that require exotic catalysts or hard-to-source chiral building blocks, this method utilizes commodity chemicals like triphenylphosphine and standard azo reagents, which are produced at scale by multiple global suppliers. This abundance ensures a stable supply chain and reduces the likelihood of production delays caused by raw material shortages. Furthermore, the robustness of the reaction conditions allows for flexible manufacturing scheduling, as the process does not demand extreme cryogenic temperatures or high-pressure equipment, thereby simplifying facility requirements and reducing capital expenditure for scale-up.
- Cost Reduction in Manufacturing: The streamlined nature of this synthesis contributes to significant cost optimization in API manufacturing. By combining the functionalization and rearrangement into a single efficient step, the overall number of synthetic operations is reduced compared to traditional multi-step functionalization sequences. The elimination of expensive transition metal catalysts, which often require costly removal steps to meet residual metal specifications, further drives down processing costs. Additionally, the high stereoselectivity of the reaction minimizes the formation of unwanted diastereomers, reducing the burden on downstream purification processes like chromatography and crystallization, which are often the most expensive unit operations in fine chemical production.
- Enhanced Supply Chain Reliability: The use of standard organic solvents such as THF, methanol, ethyl acetate, and toluene enhances supply chain reliability. These solvents are universally available and do not face the regulatory restrictions or supply volatility associated with specialized or hazardous solvents. The moderate reaction temperatures (ranging from -40°C to 100°C, but optimally near ambient) mean that the process can be run in standard glass-lined or stainless steel reactors without the need for specialized heating or cooling infrastructure. This compatibility with existing manufacturing assets allows for rapid technology transfer and quicker time-to-market for new drug candidates utilizing this scaffold, ensuring a consistent and reliable supply of high-quality intermediates.
- Scalability and Environmental Compliance: The process demonstrates excellent scalability potential, moving seamlessly from gram-scale laboratory synthesis to multi-kilogram pilot production. The waste profile is manageable, primarily consisting of phosphine oxide byproducts and hydrazine derivatives, which can be handled through standard waste treatment protocols. The avoidance of heavy metals aligns with increasingly stringent environmental regulations and green chemistry principles, reducing the environmental footprint of the manufacturing process. This compliance not only avoids potential regulatory hurdles but also appeals to environmentally conscious stakeholders, positioning the supply chain as sustainable and future-proof against tightening ecological standards in the chemical industry.
Frequently Asked Questions (FAQ)
The following questions address common technical and commercial inquiries regarding the production and application of these dihydroxy azabicyclo derivatives. The answers are derived directly from the technical specifications and experimental data provided in the source patent documentation, ensuring accuracy and relevance for R&D and procurement professionals evaluating this technology for their pipelines.
Q: What is the primary advantage of introducing hydroxyl groups at the 6,7-positions of the azabicyclo scaffold?
A: Introducing hydroxyl groups at the 6,7-positions significantly improves the water solubility and bioavailability of the compound compared to traditional azabicyclo structures which often suffer from poor solubility due to rigidity and lack of hydrophilic groups. This modification also provides new vectors for structural diversification to better fit biological targets.
Q: What specific reaction mechanism is utilized to achieve the 6,7-dihydroxy substitution pattern?
A: The synthesis utilizes a Mitsunobu-type rearrangement reaction. Starting from a 5,6-dihydroxy precursor, reaction with a carboxylic acid under Mitsunobu conditions (azo reagent and phosphine) induces a rearrangement that installs the acyloxy group at the 6-position and retains the hydroxyl at the 7-position (after hydrolysis), effectively shifting the functionality to the desired locations.
Q: Are the reaction conditions suitable for large-scale manufacturing?
A: Yes, the process employs standard organic solvents like THF, methanol, and ethyl acetate, and operates at mild temperatures ranging from 0°C to 60°C. The reagents used, such as triphenylphosphine and diethyl azodicarboxylate (DEAD) or diisopropyl azodicarboxylate (DIAD), are commercially available, making the process scalable for industrial production.
Partnering with NINGBO INNO PHARMCHEM: Your Reliable Dihydroxy Azabicyclo Heptane Derivative Supplier
At NINGBO INNO PHARMCHEM, we recognize the transformative potential of the dihydroxy-2-azabicyclo[2.2.1]heptane scaffold in modern drug discovery. As a premier CDMO partner, we possess extensive experience scaling diverse pathways from 100 kgs to 100 MT/annual commercial production, ensuring that your project transitions smoothly from benchtop concept to full-scale manufacturing. Our state-of-the-art facilities are equipped to handle the specific requirements of this synthesis, including strict moisture control for Mitsunobu reactions and advanced purification capabilities to meet stringent purity specifications. Our rigorous QC labs employ cutting-edge analytical techniques to verify the stereochemical integrity and chemical purity of every batch, guaranteeing that the intermediates you receive are perfectly suited for downstream API synthesis.
We invite you to collaborate with us to leverage this advanced synthetic technology for your next-generation therapeutics. Our technical procurement team is ready to provide a Customized Cost-Saving Analysis tailored to your specific volume requirements and quality standards. We encourage you to contact us to request specific COA data and route feasibility assessments, allowing us to demonstrate how our expertise can optimize your supply chain and accelerate your development timelines. Let us be your partner in turning complex chemical challenges into commercial successes.
Engineering Bottleneck?
Can't scale up this synthesis? Upload your target structure or CAS, and our CDMO team will evaluate the industrial feasibility within 24 hours. Request Evaluation →
