Advanced Ruthenium Amidinate Precursors for Next-Generation Semiconductor Interconnects
The semiconductor industry is currently undergoing a pivotal transformation in backend-of-line (BEOL) interconnect technology, driven by the relentless demand for miniaturization and enhanced performance in integrated circuits. Patent CN101155676A introduces a groundbreaking methodology for the preparation of organometallic compounds, specifically focusing on ruthenium amidinate complexes that serve as superior precursors for chemical vapor deposition (CVD) and atomic layer deposition (ALD). This innovation addresses critical bottlenecks in current manufacturing processes by providing precursors that are hydrogen-reducible, self-limiting in deposition, and possess sufficient volatility for efficient gas-phase transport. For R&D directors and process engineers, the ability to deposit conformal ruthenium films at temperatures below 300°C without oxygen contamination represents a significant leap forward in maintaining device integrity and electrical performance. The technical depth of this patent underscores the necessity for reliable semiconductor precursor suppliers who can translate these complex laboratory syntheses into robust, commercial-scale production capabilities.
As technology nodes shrink, the limitations of traditional physical vapor deposition (PVD) techniques have become increasingly apparent, particularly regarding step coverage and resistivity in high aspect ratio features. Conventional PVD methods often result in anisotropic deposition, where the thickness of barrier films on sidewalls is significantly thinner than on horizontal surfaces, leading to potential copper diffusion and device failure. Furthermore, existing ALD chemistries for tantalum often require oxygen-based processes that are incompatible with copper interconnects due to the risk of oxide formation. The novel approach detailed in the patent utilizes specific ruthenium amidinate structures that overcome these hurdles by enabling isotropic film growth through self-limiting surface reactions. This shift not only improves the physical morphology of the interconnects but also simplifies the integration scheme by potentially eliminating the need for separate copper seed layers, thereby streamlining the overall manufacturing workflow.
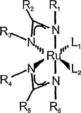
The mechanistic insights into these ruthenium amidinate precursors reveal a sophisticated coordination chemistry designed for thermal stability and reactivity control. The central ruthenium atom is coordinated by substituted or unsubstituted amidinato groups, which act as bidentate ligands stabilizing the metal center while allowing for clean decomposition upon heating. The patent specifies that the ligands can vary widely, including N,N'-dialkyl substitutions such as diisopropyl or diethyl groups, which tune the steric and electronic properties of the complex to optimize volatility and melting point. Crucially, the presence of ancillary ligands like dinitrogen (N2) or phosphines in certain embodiments facilitates the formation of volatile liquids at room temperature, a property essential for consistent delivery in vapor deposition systems. This molecular engineering ensures that the precursors remain stable during transport but decompose efficiently on the heated substrate to form pure metallic ruthenium films with minimal carbon or halide contamination.
Impurity control is a paramount concern for any material entering the semiconductor fabrication line, and the synthesis route described offers inherent advantages in this regard. By utilizing alkali metal amidinate salts, such as lithium amidinates, as reactants with ruthenium halide sources, the process generates soluble byproducts that can be effectively separated from the desired organometallic product. The patent highlights purification techniques including sublimation and distillation, which are critical for achieving the ultra-high purity levels required for electronic applications. This rigorous purification capability ensures that trace impurities, which could act as scattering centers or diffusion pathways in the final film, are reduced to negligible levels. For procurement managers, understanding this purification pathway is vital as it directly correlates to the yield and consistency of the final product, influencing both the cost of goods sold and the reliability of the supply chain.
How to Synthesize High-Purity Ruthenium Amidinate Precursors Efficiently
The synthesis of these advanced organometallic compounds involves a multi-step procedure that requires precise control over reaction conditions and atmospheric integrity to prevent premature decomposition or oxidation. The process typically begins with the preparation of the amidinate ligand source, followed by its reaction with a suitable ruthenium starting material in an aprotic solvent under inert conditions. Detailed standard operating procedures for scaling this synthesis from gram to kilogram quantities involve specific temperature ramps and stoichiometric adjustments to maximize yield while minimizing side reactions. The following guide outlines the critical phases of this production methodology, emphasizing the parameters necessary to achieve the high purity and consistency demanded by the electronics industry.
- Prepare the amidinate ligand source, such as (N,N'-diisopropylacetamido)lithium, by reacting diisopropylcarbodiimide with methyllithium in tetrahydrofuran at low temperatures.
- React the lithium amidinate salt with a ruthenium(II) source compound, such as bis[dichloro(η6-benzene)ruthenium(II)], in a solvent like THF under inert atmosphere.
- Purify the resulting crude organometallic ruthenium product through sublimation or distillation to achieve the high purity required for semiconductor applications.
Commercial Advantages for Procurement and Supply Chain Teams
The transition to these novel ruthenium amidinate precursors offers substantial strategic advantages for supply chain leaders and procurement specialists focused on cost reduction in electronic chemical manufacturing. By enabling a deposition process that does not require a separate copper seed layer, the overall material consumption and process steps in the fab are significantly reduced, leading to direct operational savings. Furthermore, the ability to use hydrogen as a reducing gas at relatively low temperatures aligns with existing backend integration strategies, avoiding the need for costly equipment modifications or new capital expenditures on plasma sources. This compatibility ensures a smoother technology transfer and reduces the risk associated with adopting new materials, making it a financially prudent choice for high-volume manufacturing environments seeking to optimize their cost structures without compromising performance.
- Cost Reduction in Manufacturing: The elimination of oxygen-based co-reactants and the potential removal of copper seed layers drastically simplify the deposition process, reducing the consumption of auxiliary gases and target materials. This streamlined approach minimizes waste generation and lowers the overall cost per wafer, providing a competitive edge in a margin-sensitive industry. Additionally, the high volatility of these precursors at room temperature reduces the energy requirements for vaporization systems, contributing to lower utility costs over the lifecycle of the equipment. The synthetic route itself is designed for scalability, utilizing readily available starting materials that do not rely on exotic or supply-constrained reagents, further stabilizing the cost base.
- Enhanced Supply Chain Reliability: The synthesis method described allows for the production of these precursors using standard chemical processing equipment, which enhances the robustness of the supply chain against disruptions. Because the reaction conditions are moderate and the purification steps are well-established unit operations like distillation, multiple qualified manufacturers can potentially produce these materials, reducing single-source dependency risks. The stability of the precursors as liquids at room temperature also simplifies logistics and storage requirements, eliminating the need for specialized heated transport containers that are often required for solid precursors. This ease of handling ensures consistent delivery schedules and reduces the likelihood of material degradation during transit.
- Scalability and Environmental Compliance: The process is inherently scalable from laboratory benchtops to multi-ton annual production capacities, supporting the growing demand for advanced interconnect materials as device densities increase. The use of hydrogen reduction instead of oxygen or plasma minimizes the generation of hazardous byproducts and simplifies exhaust abatement systems, aligning with stringent environmental regulations. Moreover, the high atom economy of the amidinate ligands means that less organic waste is generated per unit of metal deposited, supporting sustainability goals. This combination of scalability and environmental friendliness makes the technology future-proof against evolving regulatory landscapes and production volume requirements.
Frequently Asked Questions (FAQ)
The following questions address common technical and commercial inquiries regarding the implementation of these ruthenium amidinate precursors in semiconductor manufacturing processes. These answers are derived directly from the technical specifications and experimental data provided in the patent literature, ensuring accuracy and relevance for decision-makers. Understanding these nuances is essential for evaluating the feasibility of integrating this chemistry into existing fabrication lines and for assessing the long-term value proposition of adopting this new class of materials.
Q: Why are ruthenium amidinate precursors preferred for BEOL interconnects?
A: Unlike physical vapor deposition which creates anisotropic films, these precursors enable isotropic atomic layer deposition with excellent step coverage in high aspect ratio trenches, eliminating the need for copper seed layers.
Q: Are these ruthenium complexes compatible with hydrogen reduction?
A: Yes, the patent specifies that these organometallic compounds are hydrogen-reducible at temperatures below 300°C, which is critical for preventing copper oxidation during backend integration.
Q: How is high purity achieved for electronic grade precursors?
A: The synthesis method allows for purification via sublimation and distillation, ensuring the removal of halides and organic impurities to meet stringent semiconductor specifications.
Partnering with NINGBO INNO PHARMCHEM: Your Reliable Ruthenium Amidinate Precursor Supplier
At NINGBO INNO PHARMCHEM, we recognize the critical role that high-purity organometallic precursors play in enabling the next generation of semiconductor devices. Our team possesses extensive experience scaling diverse pathways from 100 kgs to 100 MT/annual commercial production, ensuring that the complex synthesis routes described in patent CN101155676A can be executed with the utmost precision and consistency. We maintain stringent purity specifications and operate rigorous QC labs equipped with state-of-the-art analytical instrumentation to verify the quality of every batch before it leaves our facility. Our commitment to technical excellence ensures that our customers receive materials that meet the exacting standards required for atomic layer deposition and chemical vapor deposition applications.
We invite you to engage with our technical procurement team to discuss how our capabilities can support your specific manufacturing needs and drive efficiency in your supply chain. By requesting a Customized Cost-Saving Analysis, you can gain deeper insights into how switching to our optimized precursor grades can impact your total cost of ownership. We encourage potential partners to contact us for specific COA data and route feasibility assessments to validate the performance of our materials in your specific process environments. Let us collaborate to engineer a supply solution that balances performance, cost, and reliability for your advanced interconnect projects.
Engineering Bottleneck?
Can't scale up this synthesis? Upload your target structure or CAS, and our CDMO team will evaluate the industrial feasibility within 24 hours. Request Evaluation →
