Scalable Iron-Catalyzed Synthesis of Pyrrolo[1,2-a]indole Alkaloid Derivatives for Pharma
Scalable Iron-Catalyzed Synthesis of Pyrrolo[1,2-a]indole Alkaloid Derivatives for Pharma
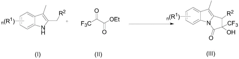
The pharmaceutical industry continuously seeks robust and economically viable synthetic routes for complex heterocyclic scaffolds, particularly those exhibiting potent biological activity. Patent CN110878099A discloses a groundbreaking preparation method for pyrrolo[1,2-α]indole alkaloid derivatives, a class of compounds renowned for their potential antitumor properties. This technology represents a significant paradigm shift from traditional noble metal catalysis to a more sustainable iron-catalyzed system. By utilizing a novel carbon-hydrogen/nitrogen-hydrogen bond tandem reaction, this process constructs essential carbon-carbon and carbon-nitrogen bonds in a single pot. The methodology not only simplifies the operational workflow but also drastically reduces the reliance on expensive and toxic palladium catalysts. For R&D directors and procurement managers alike, this innovation offers a pathway to high-purity intermediates with improved cost structures and supply chain resilience.
![General reaction scheme for iron-catalyzed synthesis of pyrrolo[1,2-a]indole alkaloid derivatives](/insights/img/pyrrolo-indole-synthesis-iron-catalysis-pharma-supplier-20260308073716-01.webp)
The Limitations of Conventional Methods vs. The Novel Approach
The Limitations of Conventional Methods
Historically, the synthesis of pyrrolo[1,2-α]indole alkaloids has been fraught with significant technical and economic challenges that hinder efficient commercial production. Conventional routes often rely on Wittig reactions involving o-nitrobenzaldehyde and phosphine ylides, which suffer from poor substrate stability and complex preparation protocols. Alternatively, palladium-catalyzed intramolecular oxidative coupling reactions have been employed, but these methods are characterized by cumbersome multi-step sequences and harsh reaction conditions. The use of precious metal palladium not only inflates the raw material costs but also introduces severe complications regarding residual metal removal, a critical quality attribute for pharmaceutical intermediates. Furthermore, these traditional pathways frequently exhibit low yields and limited substrate tolerance, restricting the ability to generate diverse analog libraries necessary for modern drug discovery campaigns.
The Novel Approach
In stark contrast, the novel approach detailed in the patent utilizes an inexpensive iron catalyst system to drive the transformation under remarkably mild conditions. This method employs 2,3-dimethylindole derivatives and ethyl trifluoropyruvate as key starting materials, reacting them in the presence of iron sulfate and a solvent like toluene. The subsequent addition of tetramethylguanidine facilitates a smooth cyclization to yield the target pyrrolo[1,2-α]indole structure. This one-pot strategy eliminates the need for isolating unstable intermediates and avoids the use of cryogenic temperatures or high-pressure reactors. The operational simplicity, combined with the use of earth-abundant iron, positions this technology as a superior alternative for cost reduction in pharmaceutical intermediate manufacturing, offering yields ranging from 75% to 90% across various substituted substrates.
Mechanistic Insights into Iron-Catalyzed C-H/N-H Tandem Reaction
The core of this technological advancement lies in the efficient activation of inert C-H and N-H bonds mediated by the iron catalyst. The reaction mechanism likely involves the coordination of the iron species with the indole nitrogen and the carbonyl oxygen of the trifluoropyruvate, facilitating a nucleophilic attack or radical pathway that forms the initial C-C bond. This is followed by an intramolecular cyclization where the nitrogen atom attacks the activated ester moiety, closing the five-membered pyrrole ring fused to the indole core. The use of tetramethylguanidine as a base is crucial for deprotonation steps that drive the equilibrium towards the final product. Understanding this mechanistic nuance allows chemists to fine-tune reaction parameters, such as the molar ratio of reagents (typically 1:3:0.1 for indole:ester:catalyst), to maximize conversion and minimize side reactions.
From an impurity control perspective, the mild reaction temperature of 10-40°C plays a pivotal role in maintaining product integrity. High-temperature processes often lead to decomposition or polymerization of sensitive indole substrates, generating difficult-to-remove impurities that compromise the purity profile. By operating at near-ambient temperatures, this iron-catalyzed protocol suppresses thermal degradation pathways. Additionally, the specificity of the iron catalyst towards the desired C-H activation site reduces the formation of regioisomers. This high selectivity translates directly into simplified downstream purification processes, such as vacuum distillation, ensuring that the final high-purity pharmaceutical intermediates meet the rigorous specifications required for clinical applications without extensive chromatographic separation.
How to Synthesize Pyrrolo[1,2-a]indole Derivatives Efficiently
Implementing this synthesis requires precise adherence to the stoichiometric ratios and sequential addition of reagents to ensure optimal performance. The process begins with the charging of the reactor with the indole derivative, ethyl trifluoropyruvate, and the iron catalyst in a suitable solvent, followed by a prolonged stirring period to allow the initial coupling. Subsequently, the base is introduced to trigger the cyclization step. The detailed standardized synthesis steps are outlined in the guide below, providing a clear roadmap for laboratory and pilot-scale execution.
- Combine 2,3-dimethylindole derivative, ethyl trifluoropyruvate, iron sulfate catalyst, and toluene solvent in a reactor.
- Stir the mixture at 10-40°C for 12 hours to initiate the C-H activation and coupling.
- Add tetramethylguanidine (TMG) and continue stirring for 12-24 hours to complete the cyclization and obtain the derivative.
Commercial Advantages for Procurement and Supply Chain Teams
For procurement managers and supply chain heads, the transition to this iron-catalyzed methodology presents tangible strategic benefits that extend beyond mere technical feasibility. The primary advantage is the drastic reduction in raw material costs associated with replacing palladium with iron sulfate, a commodity chemical available in bulk quantities globally. This substitution mitigates the risk of price volatility associated with precious metals and ensures a more stable cost of goods sold (COGS). Furthermore, the elimination of heavy metal catalysts simplifies the regulatory compliance landscape, as there is no need for expensive and time-consuming metal scavenging steps to meet ICH Q3D guidelines for elemental impurities.
- Cost Reduction in Manufacturing: The economic impact of this process is profound due to the replacement of expensive noble metals with abundant iron salts. By removing the necessity for palladium, manufacturers avoid the high capital expenditure associated with catalyst recovery systems and the operational costs of specialized metal removal resins. Additionally, the high yields reported (up to 90% for certain substrates) mean less raw material waste and higher throughput per batch. The use of common solvents like toluene further aligns with standard solvent recovery infrastructure, minimizing waste disposal costs and enhancing the overall economic efficiency of the production line.
- Enhanced Supply Chain Reliability: Supply chain resilience is significantly bolstered by the use of readily available starting materials such as 2,3-dimethylindole derivatives and ethyl trifluoropyruvate. Unlike specialized phosphine ligands or palladium complexes which may have long lead times and single-source dependencies, iron catalysts and simple organic bases like tetramethylguanidine are commoditized chemicals with robust global supply networks. This availability ensures continuous production capability even during market disruptions. The mild reaction conditions also reduce the dependency on specialized high-pressure or cryogenic equipment, allowing for manufacturing flexibility across multiple facilities without extensive retrofitting.
- Scalability and Environmental Compliance: The environmental footprint of this synthesis is markedly lower, aligning with green chemistry principles that are increasingly mandated by regulatory bodies and corporate sustainability goals. The absence of toxic heavy metals reduces the burden on wastewater treatment facilities and lowers the cost of hazardous waste disposal. The process operates at atmospheric pressure and moderate temperatures, which inherently reduces energy consumption compared to high-temperature reflux or high-pressure hydrogenation processes. This combination of safety, energy efficiency, and waste reduction makes the commercial scale-up of complex pharmaceutical intermediates not only feasible but also environmentally responsible.
Frequently Asked Questions (FAQ)
The following questions address common technical and commercial inquiries regarding the implementation of this patented synthesis route. These answers are derived directly from the experimental data and technical specifications provided in the patent documentation, ensuring accuracy and relevance for decision-makers evaluating this technology for their supply chains.
Q: What are the advantages of using iron catalyst over palladium for this synthesis?
A: Iron catalysts are significantly cheaper and more environmentally benign than precious metal palladium catalysts. Furthermore, iron residues are easier to remove to meet stringent pharmaceutical purity standards, reducing downstream processing costs.
Q: What is the substrate scope for this pyrrolo[1,2-a]indole synthesis?
A: The method tolerates a wide range of substituents including halogens (Cl, Br), alkyl groups (methyl, isopropyl), and alkoxy/phenoxy groups on the indole ring, allowing for diverse library generation.
Q: Are the reaction conditions suitable for large-scale manufacturing?
A: Yes, the reaction operates at mild temperatures (10-40°C) using common solvents like toluene, avoiding cryogenic conditions or high-pressure equipment, which facilitates safe commercial scale-up.
Partnering with NINGBO INNO PHARMCHEM: Your Reliable Pyrrolo[1,2-a]indole Derivatives Supplier
At NINGBO INNO PHARMCHEM, we recognize the transformative potential of this iron-catalyzed technology in advancing the production of antitumor agents and related pharmaceutical intermediates. As a leading CDMO partner, we possess extensive experience scaling diverse pathways from 100 kgs to 100 MT/annual commercial production, ensuring that your transition from lab bench to market is seamless. Our state-of-the-art facilities are equipped with rigorous QC labs capable of verifying stringent purity specifications, guaranteeing that every batch of pyrrolo[1,2-a]indole derivatives meets the highest international standards for safety and efficacy.
We invite you to collaborate with us to leverage this cost-effective and scalable synthesis route for your next project. Our technical procurement team is ready to provide a Customized Cost-Saving Analysis tailored to your specific volume requirements. Please contact us today to request specific COA data and route feasibility assessments, and let us demonstrate how our expertise can optimize your supply chain and accelerate your time to market.
