Advanced Synthesis of Toxin Intermediates for Commercial Scale-Up and High Purity
Advanced Synthesis of Toxin Intermediates for Commercial Scale-Up and High Purity
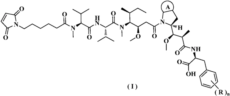
The pharmaceutical landscape for Antibody-Drug Conjugates (ADCs) is rapidly evolving, demanding intermediates of exceptional purity and structural precision. Patent CN107531680B introduces a groundbreaking preparation method for a novel toxin and its critical intermediates, specifically targeting the synthesis of compounds represented by general Formula (I). This technology addresses the longstanding challenges in producing cytotoxic payloads, offering a pathway that combines mild reaction conditions with high optical purity. For R&D leaders and procurement strategists, understanding this proprietary route is essential for securing a reliable pharmaceutical intermediates supplier capable of meeting the rigorous standards of modern oncology drug development. The method encompasses a series of sophisticated protection, deprotection, and amidation reactions starting from chiral compounds, ensuring that the final product maintains the stereochemical integrity required for biological activity.

The Limitations of Conventional Methods vs. The Novel Approach
The Limitations of Conventional Methods
Historically, the synthesis of toxin intermediates similar to Mc-MMAF, as disclosed in earlier patents like WO2005/038392 by Seattle Genetics, has faced significant hurdles regarding yield and stereochemical control. Traditional routes often involve complex multi-step sequences where the introduction of methyl groups or other alkyl substituents can lead to substantial racemization, compromising the optical purity of the final active pharmaceutical ingredient. Furthermore, existing methods frequently rely on harsh reaction conditions that limit scalability and increase the generation of hazardous waste, posing challenges for environmental compliance and cost reduction in ADC toxin manufacturing. The lack of detailed synthesis processes for key precursors like Fmoc-Dolaproine in public literature has also created supply chain bottlenecks, forcing manufacturers to rely on inefficient, low-yield pathways that are unsuitable for commercial scale-up of complex cytotoxic compounds.
The Novel Approach
In contrast, the methodology described in CN107531680B overcomes these substrate limitations through a strategically designed sequence that prioritizes both efficiency and selectivity. By utilizing specific chiral auxiliaries and optimizing the order of protection group manipulation, the new route achieves a dramatic improvement in total yield compared to prior art techniques. The process employs mild alkaline hydrolysis and controlled alkylation steps that preserve the chiral centers, thereby ensuring high optical purity without the need for extensive and costly chiral separation downstream. This approach not only simplifies the operational workflow but also enhances the overall robustness of the synthesis, making it an ideal candidate for reducing lead time for high-purity toxin intermediates in a competitive market environment where speed to clinic is paramount.
Mechanistic Insights into Chiral Auxiliary-Mediated Synthesis

The core of this technological advancement lies in the precise manipulation of chiral compounds represented by Formula (III), which serve as the foundational building blocks for the final toxin structure. The mechanism involves a carefully orchestrated series of transformations where the chiral auxiliary directs the stereochemistry of subsequent bond formations, effectively minimizing the formation of unwanted diastereomers. Key steps include the hydrolysis of the chiral prosthetic group under basic conditions using reagents such as lithium hydroxide, followed by selective alkylation using agents like methyl iodide or trimethyloxonium tetrafluoroborate. This level of control is critical for R&D directors focusing on impurity profiles, as even minor deviations in stereochemistry can alter the binding affinity and toxicity profile of the resulting ADC payload. The use of specific protecting groups like Boc and Fmoc allows for orthogonal deprotection strategies, enabling the sequential assembly of the peptide-like backbone without interfering with sensitive functional groups elsewhere in the molecule.
Furthermore, the amidation reactions utilized to couple the various fragments are optimized using advanced coupling reagents such as HATU or COMU, which facilitate rapid bond formation under mild conditions. This minimizes the risk of epimerization at the alpha-carbon of the amino acid residues, a common pitfall in peptide synthesis that can degrade product quality. The process also incorporates efficient workup procedures, such as aqueous extractions and silica gel chromatography, which are scalable and compatible with Good Manufacturing Practice (GMP) standards. By maintaining strict control over reaction parameters like temperature and pH, the method ensures consistent batch-to-batch reproducibility, a key requirement for regulatory approval and commercial viability. This mechanistic robustness provides a solid foundation for producing high-purity antibody-drug conjugate payloads that meet the stringent specifications of global health authorities.
How to Synthesize Toxin Intermediate Efficiently
The synthesis of the core toxin intermediate described in this patent follows a logical progression designed to maximize yield while maintaining structural fidelity. The process begins with the preparation of the chiral scaffold, followed by sequential functionalization and coupling steps that build up the molecular complexity. Each stage is optimized to minimize side reactions and facilitate purification, ensuring that the final product is obtained with high purity and minimal loss of material. For technical teams looking to implement this route, it is crucial to adhere to the specified reaction conditions and reagent grades to achieve the reported performance metrics. The detailed standardized synthesis steps see the guide below.
- Hydrolyze chiral compound Formula (II) under basic conditions to obtain Formula (III).
- React Formula (III) with alkylating agents to generate Formula (IV), followed by deprotection to Formula (V).
- Perform sequential amidation reactions with Formula (XI) and linkers to finalize Formula (I).
Commercial Advantages for Procurement and Supply Chain Teams

From a commercial perspective, the adoption of this novel synthesis route offers transformative benefits for procurement managers and supply chain heads tasked with securing reliable sources of critical ADC components. The significant enhancement in total yield documented in the patent implies substantial cost savings potential by reducing the amount of starting material required per unit of final product. Unlike traditional methods that suffer from cumulative yield losses over multiple steps, this streamlined approach consolidates operations and reduces the consumption of expensive reagents and solvents. This efficiency translates directly into a more favorable cost structure, allowing for cost reduction in ADC toxin manufacturing without compromising on quality or regulatory compliance. Additionally, the use of readily available reagents and standard laboratory equipment reduces dependency on specialized or scarce materials, thereby enhancing supply chain reliability and mitigating the risk of production delays.
- Cost Reduction in Manufacturing: The elimination of inefficient steps and the improvement in overall yield significantly lower the cost of goods sold (COGS) for the final intermediate. By avoiding the need for extensive recycling of racemic mixtures or complex chiral resolutions, the process reduces waste disposal costs and raw material consumption. This economic efficiency is driven by the chemical design itself, which prioritizes atom economy and step efficiency, ensuring that every gram of input contributes maximally to the final output. Such optimizations are critical for maintaining competitiveness in the high-value biologics market where margin pressure is constant.
- Enhanced Supply Chain Reliability: The robustness of the synthetic route ensures consistent production schedules, which is vital for meeting the just-in-time delivery requirements of biopharmaceutical clients. The method's reliance on stable intermediates and common reagents means that supply disruptions are less likely to occur compared to routes dependent on exotic catalysts or unstable precursors. This stability allows for better inventory planning and reduces the need for excessive safety stock, freeing up working capital. Furthermore, the scalability of the process means that production volumes can be ramped up quickly to meet surges in demand without requiring significant capital investment in new infrastructure.
- Scalability and Environmental Compliance: The mild reaction conditions employed in this method reduce the energy footprint of the manufacturing process, aligning with modern sustainability goals and environmental regulations. The reduction in hazardous waste generation simplifies waste management protocols and lowers associated compliance costs. As the industry moves towards greener chemistry practices, having a synthesis route that inherently minimizes environmental impact provides a strategic advantage. This scalability ensures that the transition from pilot scale to commercial production is smooth, supporting the long-term growth trajectories of ADC programs without encountering technical bottlenecks.
Frequently Asked Questions (FAQ)
The following questions address common technical and commercial inquiries regarding the implementation of this synthesis technology. These insights are derived directly from the patent specifications and are intended to clarify the operational benefits and feasibility of the route for potential partners. Understanding these details is crucial for making informed decisions about sourcing and development strategies.
Q: How does this new synthesis route improve optical purity compared to prior art?
A: The method utilizes specific chiral auxiliaries and mild reaction conditions that minimize racemization, ensuring high optical purity essential for ADC efficacy.
Q: Is this process suitable for large-scale commercial production?
A: Yes, the patent highlights simplified operations and significantly improved total yields, making it highly viable for industrial scale-up of complex cytotoxic compounds.
Q: What are the key cost drivers addressed in this manufacturing method?
A: By avoiding harsh conditions and reducing the number of purification steps needed due to higher selectivity, the process lowers material and operational costs.
Partnering with NINGBO INNO PHARMCHEM: Your Reliable Toxin Intermediate Supplier
At NINGBO INNO PHARMCHEM, we recognize the critical role that high-quality intermediates play in the success of next-generation oncology therapies. Our team possesses extensive experience scaling diverse pathways from 100 kgs to 100 MT/annual commercial production, ensuring that your project can transition seamlessly from development to market. We are committed to delivering products with stringent purity specifications and supporting our clients with rigorous QC labs that validate every batch against the highest industry standards. Our expertise in handling complex cytotoxic compounds allows us to navigate the challenges of ADC manufacturing with precision and care.
We invite you to contact our technical procurement team to discuss how we can support your specific needs. Request a Customized Cost-Saving Analysis to understand the economic benefits of switching to this optimized route. We are ready to provide specific COA data and route feasibility assessments to demonstrate our capability as your trusted partner. Let us help you accelerate your drug development timeline with reliable supply and superior quality.
