Optimizing Herbicide Intermediate Production: A Technical Analysis of Novel Cyclohexylcarboxylate Synthesis
The global demand for high-efficiency herbicides continues to drive innovation in the synthesis of key chemical building blocks, specifically within the realm of agrochemical intermediates. Patent CN101205207B introduces a groundbreaking synthetic methodology for producing ethyl [6-(2-ethylthiopropyl)-2,4-dioxo-3-propionyl]cyclohexylcarboxylate, a critical precursor in the manufacture of advanced herbicidal active compounds. This technical disclosure represents a significant departure from legacy manufacturing protocols by integrating a telescoped reaction sequence that enhances atom economy while drastically simplifying the operational workflow. For R&D Directors and Process Chemists evaluating potential licensing opportunities or supply chain partnerships, understanding the nuances of this patented route is essential for assessing its viability in large-scale production environments. The core innovation lies in the strategic elimination of redundant neutralization steps, which traditionally consume valuable reagents and generate substantial chemical waste, thereby aligning modern synthesis with stricter environmental compliance standards.
The Limitations of Conventional Methods vs. The Novel Approach
The Limitations of Conventional Methods
Historically, the industrial preparation of this specific cyclohexylcarboxylate derivative has relied on a fragmented multi-step process that is both resource-intensive and environmentally burdensome. Traditional protocols typically necessitate an initial cycloaddition followed by a discrete acidification step to isolate intermediate compounds, which subsequently requires the addition of stoichiometric amounts of acid-binding agents for further esterification. This reliance on equimolar quantities of acids and bases not only inflates the raw material costs but also results in the generation of large volumes of saline wastewater that require expensive treatment before discharge. Furthermore, the isolation and purification of intermediates between each discrete step often lead to cumulative yield losses and increased exposure to atmospheric moisture or oxygen, potentially compromising the purity profile of the final agrochemical intermediate. These inefficiencies create significant bottlenecks for procurement managers seeking cost reduction in agrochemical intermediate manufacturing, as the overhead associated with waste management and reagent consumption erodes profit margins.
The Novel Approach
In stark contrast, the methodology outlined in CN101205207B leverages the inherent basicity of the reaction mixture from the initial cycloaddition to drive the subsequent esterification, effectively bypassing the need for external acidification and additional base additives. By utilizing the sodium alkoxide salt generated in situ, the process achieves a seamless transition from cyclization to acylation, maintaining the reaction momentum without interrupting the workflow for intermediate workups. This telescoped strategy not only streamlines the operational timeline but also preserves the chemical integrity of the reactive species, leading to improved overall yields that can reach up to 75% under optimized conditions. The elimination of separate neutralization phases means that the process generates significantly less inorganic salt waste, offering a cleaner production profile that appeals to supply chain heads focused on sustainability and regulatory compliance. This approach exemplifies how intelligent process design can transform a standard chemical transformation into a commercially superior manufacturing asset.
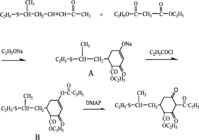
![Synthetic route of ethyl [6-(2-ethylthiopropyl)-2,4-dioxo-3-propionyl]cyclohexylcarboxylate via cycloaddition and rearrangement](/insights/img/ethyl-cyclohexylcarboxylate-synthesis-agrochemical-supplier-20260304182530-01.png)
Mechanistic Insights into Sodium Alkoxide Catalyzed Cyclization and Rearrangement
The chemical elegance of this synthesis is rooted in the precise control of nucleophilic attacks and thermodynamic stability during the formation of the cyclohexane ring system. The initial step involves a Michael-type addition followed by intramolecular Claisen condensation, where the sodium ethoxide acts as a potent base to deprotonate the diethyl malonate, generating a nucleophilic enolate that attacks the beta-position of the 6-ethylthio-3-hepten-2-one. This cyclization creates a stable enolate salt (Compound A), which is crucial because it retains the basic character necessary for the next stage without requiring regeneration. By avoiding protonation of this intermediate, the process prevents the formation of stable byproducts that are difficult to re-activate, ensuring that the reactive center remains available for the immediate introduction of the propionyl group. This mechanistic continuity is vital for maintaining high purity specifications, as it minimizes the formation of hydrolysis products that often plague aqueous workup procedures in traditional synthesis routes.
Following the esterification, the final transformation involves a catalytic rearrangement mediated by 4-N,N-dimethylaminopyridine (DMAP) in a high-boiling solvent like xylene. The role of DMAP here is to facilitate the migration of the acyl group to the thermodynamically favored position on the cyclohexane ring, a process that requires elevated temperatures around 138°C to overcome the activation energy barrier. This rearrangement is critical for establishing the correct substitution pattern required for the biological activity of the downstream herbicide. The choice of xylene as a solvent is particularly strategic, as it allows for the removal of water azeotropically if any is present, driving the equilibrium towards the desired product while providing a homogeneous medium for the catalytic cycle. Understanding these mechanistic details allows technical teams to fine-tune reaction parameters such as stirring rates and heating profiles to maximize the commercial scale-up of complex agrochemical intermediates.
How to Synthesize Ethyl [6-(2-ethylthiopropyl)-2,4-dioxo-3-propionyl]cyclohexylcarboxylate Efficiently
Implementing this synthesis route requires strict adherence to temperature gradients and reagent addition rates to ensure safety and reproducibility at scale. The process begins with the preparation of the alkoxide solution, followed by the controlled addition of ketone and malonate precursors, necessitating robust thermal management systems to handle the exothermic nature of the enolization. Once the cycloaddition is complete, the temperature must be rapidly lowered to between 0°C and 10°C before introducing the propionyl chloride to prevent runaway reactions and ensure selective mono-acylation. Detailed standardized synthetic steps see the guide below.
- Perform cycloaddition of 6-ethylthio-3-hepten-2-one and diethyl malonate using sodium ethoxide at 76°C for 4 hours to form Compound A.
- Directly esterify Compound A with propionyl chloride at 0°C to 10°C without prior acidification to obtain Compound B.
- Reflux Compound B in xylene at 138°C with DMAP catalyst for 3 hours to complete the rearrangement into the final target intermediate.
Commercial Advantages for Procurement and Supply Chain Teams
For procurement managers and supply chain directors, the adoption of this patented synthesis route offers tangible strategic advantages that extend beyond simple yield improvements. By fundamentally altering the reaction architecture to eliminate the acidification and acid-binding steps, the process removes entire categories of raw materials from the bill of materials, leading to substantial cost savings in reagent procurement. The reduction in waste generation translates directly into lower disposal costs and reduced liability associated with environmental regulations, which is increasingly critical for multinational corporations operating under strict ESG mandates. Furthermore, the simplified workflow reduces the total batch cycle time, allowing manufacturing facilities to increase throughput without requiring additional capital investment in reactor capacity. This efficiency gain enhances supply chain reliability by shortening the production lead time for high-purity agrochemical intermediates, ensuring that downstream formulation plants receive their materials on schedule.
- Cost Reduction in Manufacturing: The elimination of stoichiometric acid-binding agents such as triethylamine or potassium carbonate removes a significant line item from the production cost structure, while simultaneously reducing the volume of hazardous waste requiring treatment. This qualitative improvement in atom economy means that a higher percentage of input mass is converted into saleable product, optimizing the return on investment for every kilogram of raw material purchased. Additionally, the reduced need for aqueous washing steps lowers the consumption of process water and the energy required for drying organic phases, contributing to a leaner and more cost-effective manufacturing operation overall.
- Enhanced Supply Chain Reliability: By simplifying the synthesis to fewer operational steps, the risk of batch failure due to human error or equipment malfunction is significantly mitigated, ensuring a more consistent supply of critical intermediates. The use of common, commercially available solvents like xylene and ethanol reduces dependency on specialized or scarce reagents, safeguarding the production schedule against market volatility in raw material availability. This robustness is essential for maintaining continuous operations in large-scale facilities, where unplanned downtime can have cascading effects on the global supply of finished herbicide products.
- Scalability and Environmental Compliance: The process is inherently designed for scalability, utilizing standard unit operations such as reflux and distillation that are easily replicated in multi-purpose chemical plants. The drastic reduction in saline effluent discharge simplifies wastewater treatment requirements, making it easier for manufacturing sites to maintain compliance with evolving environmental protection laws. This alignment with green chemistry principles not only future-proofs the supply chain against regulatory tightening but also enhances the corporate reputation of partners who prioritize sustainable manufacturing practices in their vendor selection criteria.
Frequently Asked Questions (FAQ)
The following questions address common technical and commercial inquiries regarding the implementation of this synthesis technology, derived directly from the patent specifications and industry best practices. These insights are intended to clarify the operational benefits and technical feasibility for stakeholders evaluating this route for potential adoption or outsourcing. Understanding these details is crucial for making informed decisions about integrating this technology into existing production portfolios.
Q: How does this new method reduce environmental impact compared to traditional synthesis?
A: The novel process eliminates the separate acidification step and the use of additional acid-binding agents, significantly reducing the discharge of salt solutions and acidic waste streams associated with conventional manufacturing.
Q: What are the critical temperature controls required for the esterification step?
A: To ensure high yield and minimize side reactions, the esterification with propionyl chloride must be strictly maintained between 0°C and 10°C, ideally around 2°C, during the dropwise addition.
Q: Can this synthesis route be scaled for commercial production of agrochemical intermediates?
A: Yes, the process utilizes common solvents like xylene and ethanol and avoids complex purification steps, making it highly suitable for commercial scale-up of complex agrochemical intermediates with consistent quality.
Partnering with NINGBO INNO PHARMCHEM: Your Reliable Ethyl [6-(2-ethylthiopropyl)-2,4-dioxo-3-propionyl]cyclohexylcarboxylate Supplier
At NINGBO INNO PHARMCHEM, we possess extensive experience scaling diverse pathways from 100 kgs to 100 MT/annual commercial production, ensuring that complex synthetic routes like the one described in CN101205207B are executed with precision and consistency. Our facility is equipped with rigorous QC labs and stringent purity specifications that guarantee every batch of agrochemical intermediate meets the exacting standards required by global pharmaceutical and crop protection companies. We understand that the transition from laboratory scale to industrial manufacturing involves unique challenges, and our technical team is dedicated to optimizing process parameters to maximize yield and minimize impurities. By leveraging our expertise in process chemistry, we can help you secure a stable supply of high-quality intermediates that support your long-term product development goals.
We invite you to contact our technical procurement team to request a Customized Cost-Saving Analysis tailored to your specific volume requirements and quality expectations. Our experts are ready to provide specific COA data and route feasibility assessments to demonstrate how our manufacturing capabilities can enhance your supply chain efficiency. Partnering with us means gaining access to a reliable network of chemical production that prioritizes innovation, compliance, and customer success in the competitive global market.
