Scalable Synthesis of 8-Methoxy-5H-Pyrido[4,3-b]Indole for Advanced Pharmaceutical Applications
Introduction to Advanced Indole Derivative Synthesis
The pharmaceutical industry continuously demands novel heterocyclic scaffolds that offer superior biological activity and metabolic stability. Among these, indole derivatives functionalized with fused nitrogen rings, such as pyrido-indoles, represent a critical class of building blocks for next-generation therapeutics. Patent CN111892593B discloses a highly efficient and robust synthetic methodology for producing 8-methoxy-5H-pyrido[4,3-b]indole, a compound of significant interest for medicinal chemistry programs targeting various physiological pathways. This technical insight report analyzes the proprietary five-step route detailed in the patent, highlighting its strategic advantages in terms of reaction control, impurity management, and scalability for commercial manufacturing.
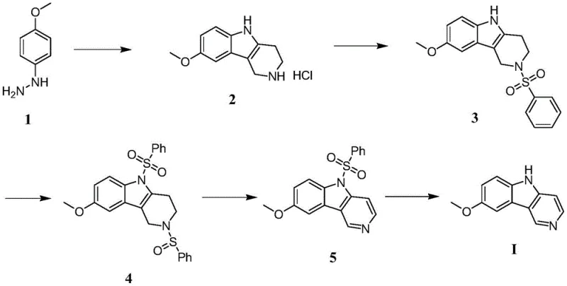
The disclosed method utilizes 1-(4-methoxyphenyl)hydrazine as the primary starting material, leveraging a classic Fischer indole synthesis mechanism as the foundation for constructing the core bicyclic system. By integrating sequential sulfonylation, active hydrogen protection, oxidative elimination, and final hydrolysis, the process achieves a high degree of molecular precision. For R&D directors and procurement specialists seeking a reliable pharmaceutical intermediate supplier, understanding the nuances of this pathway is essential for evaluating supply chain security and cost-efficiency in API manufacturing.
The Limitations of Conventional Methods vs. The Novel Approach
The Limitations of Conventional Methods
Traditional approaches to synthesizing complex pyrido-indole frameworks often suffer from significant drawbacks that hinder their industrial viability. Conventional routes frequently rely on harsh cyclization conditions that lead to poor regioselectivity, resulting in difficult-to-separate isomeric mixtures that compromise the purity profile required for pharmaceutical applications. Furthermore, many legacy methods utilize expensive transition metal catalysts or require cryogenic temperatures that drastically increase energy consumption and operational expenditure. The lack of effective protecting group strategies in older methodologies often leads to polymerization or decomposition during the critical aromatization phase, causing substantial yield losses and generating hazardous waste streams that complicate environmental compliance.
The Novel Approach
In contrast, the methodology described in CN111892593B introduces a streamlined, five-step sequence that elegantly circumvents these historical challenges. By employing a strategic sulfonyl protection group early in the synthesis, the process stabilizes the reactive nitrogen centers, allowing for controlled transformations in subsequent steps. The use of selenium dioxide for the specific oxidative elimination step ensures clean aromatization of the tetrahydro-intermediate without degrading the sensitive methoxy-substituted indole core. This approach not only simplifies the purification workflow but also significantly enhances the overall atom economy of the process.
For procurement managers focused on cost reduction in API manufacturing, this novel route offers a compelling value proposition. The starting materials, including 1-(4-methoxyphenyl)hydrazine and N-Boc-4-piperidone, are commercially available commodity chemicals, reducing dependency on custom-synthesized precursors. The reaction conditions operate within standard temperature ranges (e.g., 80-110°C), eliminating the need for specialized cryogenic infrastructure and enabling seamless integration into existing multipurpose reactor suites.
Mechanistic Insights into the Five-Step Cascade
The synthesis begins with a Fischer indole cyclization, where 1-(4-methoxyphenyl)hydrazine condenses with N-Boc-4-piperidone under acidic conditions in ethanol. This step constructs the fundamental indole skeleton, yielding the tetrahydro-intermediate as a hydrochloride salt with high efficiency. The subsequent sulfonylation with benzenesulfonyl chloride serves a dual purpose: it protects the secondary amine from unwanted oxidation and acts as a leaving group precursor for the final aromatization. The introduction of a second sulfonyl group in step three via sodium hydride deprotonation further rigidifies the molecular conformation, directing the subsequent oxidative elimination exclusively towards the formation of the pyridine double bond.
The critical aromatization step utilizes selenium dioxide in 1,4-dioxane at elevated temperatures (100-110°C). Mechanistically, this involves the abstraction of allylic hydrogens followed by elimination to establish the aromatic pyridine ring fused to the indole system. The final hydrolysis step removes the sulfonyl protecting groups under basic conditions, revealing the free NH of the indole and completing the synthesis of 8-methoxy-5H-pyrido[4,3-b]indole. This precise control over reaction intermediates minimizes the formation of side products, ensuring a clean impurity profile that facilitates downstream processing and reduces the burden on analytical QC laboratories.
How to Synthesize 8-Methoxy-5H-Pyrido[4,3-b]Indole Efficiently
Implementing this synthesis requires careful attention to stoichiometry and temperature control, particularly during the exothermic sulfonylation and the high-temperature elimination phases. The patent provides detailed embodiments demonstrating reproducibility across different scales, utilizing standard workup procedures such as filtration, washing, and solvent evaporation. To ensure optimal results and adherence to safety protocols, operators should follow the standardized operating procedures derived from the patent examples, which emphasize the importance of inert atmosphere handling during the sodium hydride step.
- Condense 1-(4-methoxyphenyl)hydrazine with N-Boc-4-piperidone in ethanol/HCl at 80-90°C to form the tetrahydro-indole hydrochloride salt.
- Perform sulfonylation using benzenesulfonyl chloride and inorganic base in DCM/water to protect the secondary amine.
- Protect active hydrogen by reacting with sodium hydride and additional benzenesulfonyl chloride in DMF under nitrogen atmosphere.
- Execute oxidative elimination using selenium dioxide in 1,4-dioxane at 100-110°C to aromatize the pyridine ring.
- Final hydrolysis using inorganic base in THF/water at 90-100°C to remove the sulfonyl protecting group and yield the final product.
Commercial Advantages for Procurement and Supply Chain Teams
From a supply chain perspective, the adoption of this synthetic route offers distinct logistical and economic benefits. The reliance on bulk solvents like ethanol, dichloromethane, and tetrahydrofuran ensures that raw material sourcing remains stable and cost-effective, mitigating risks associated with specialty reagent shortages. The robustness of the reaction sequence allows for flexible batch scheduling, enabling manufacturers to respond rapidly to fluctuating market demands for high-purity pharmaceutical intermediates.
- Cost Reduction in Manufacturing: The elimination of precious metal catalysts and the use of inexpensive inorganic bases (such as potassium carbonate and sodium hydroxide) drastically lower the direct material costs per kilogram of product. Additionally, the high yields observed in the aromatization step (reported up to 100% in specific embodiments) minimize raw material waste, contributing to substantial overall cost savings without compromising quality standards.
- Enhanced Supply Chain Reliability: By utilizing a linear synthesis path with easily isolable solid intermediates, the process reduces the risk of cross-contamination and simplifies inventory management. The stability of the sulfonyl-protected intermediates allows for potential campaign manufacturing, where intermediates can be stockpiled and converted to the final API intermediate on demand, thereby reducing lead time for high-purity intermediates delivery to clients.
- Scalability and Environmental Compliance: The process avoids the generation of heavy metal waste streams typically associated with palladium or rhodium-catalyzed couplings, simplifying wastewater treatment and disposal protocols. The straightforward isolation methods, primarily involving crystallization and filtration, are inherently scalable from pilot plant to commercial scale-up of complex heterocycles, ensuring consistent product quality regardless of batch size.
Frequently Asked Questions (FAQ)
The following questions address common technical inquiries regarding the implementation and optimization of this synthesis route. These insights are derived directly from the experimental data and claims presented in the patent documentation, providing clarity for technical teams evaluating process feasibility.
Q: What is the overall yield profile of this 5-step synthesis?
A: According to patent CN111892593B, the individual step yields range from approximately 70% to over 99%, with the aromatization step achieving nearly quantitative conversion (100%), ensuring a robust overall process efficiency suitable for industrial production.
Q: Why is the sulfonyl protection strategy critical in this route?
A: The dual sulfonyl protection strategy prevents side reactions during the harsh oxidative aromatization step with selenium dioxide, ensuring high regioselectivity and purity of the final pyrido-indole core without forming complex polymeric byproducts.
Q: Can this process be scaled for commercial API intermediate supply?
A: Yes, the process utilizes common solvents like ethanol, DCM, and THF, and avoids exotic catalysts, making it highly amenable to scale-up from kilogram to multi-ton production while maintaining strict quality control standards.
Partnering with NINGBO INNO PHARMCHEM: Your Reliable 8-Methoxy-5H-Pyrido[4,3-b]Indole Supplier
At NINGBO INNO PHARMCHEM, we recognize the critical role that high-quality intermediates play in accelerating drug discovery and development timelines. Our team of expert chemists possesses extensive experience scaling diverse pathways from 100 kgs to 100 MT/annual commercial production, ensuring that your project transitions smoothly from the laboratory bench to full-scale manufacturing. We maintain stringent purity specifications and operate rigorous QC labs equipped with state-of-the-art analytical instrumentation to guarantee that every batch of 8-methoxy-5H-pyrido[4,3-b]indole meets the exacting standards required by global regulatory bodies.
We invite you to collaborate with us to leverage this advanced synthetic technology for your specific therapeutic programs. Contact our technical procurement team today to request a Customized Cost-Saving Analysis tailored to your volume requirements. We are prepared to provide specific COA data and comprehensive route feasibility assessments to support your supply chain strategy and help you achieve your commercial objectives efficiently.
