Advanced Catalytic Route for Delta-Cyclopentanolide Manufacturing and Commercial Scale-Up
Advanced Catalytic Route for Delta-Cyclopentanolide Manufacturing and Commercial Scale-Up
The pharmaceutical and fine chemical industries are constantly seeking sustainable alternatives to hazardous oxidation processes, and patent CN107602516B presents a groundbreaking solution for the synthesis of delta-cyclopentanolide. This critical intermediate, widely utilized in the production of biodegradable polylactides and fragrance compounds, is traditionally manufactured using risky organic peroxy acids or inefficient molecular oxygen methods. The disclosed technology introduces a novel catalytic system employing amino acid ionic liquids derived from natural precursors like proline and aspartic acid. By leveraging hydrogen peroxide as a green oxidant in conjunction with these tailored ionic liquids, the process achieves exceptional conversion rates and selectivity while adhering to strict environmental standards. This report analyzes the technical viability and commercial potential of this method for global procurement and R&D teams seeking a reliable delta-cyclopentanolide supplier.
The Limitations of Conventional Methods vs. The Novel Approach
The Limitations of Conventional Methods
Historically, the industrial production of delta-cyclopentanolide has relied heavily on the oxidation of cyclopentanone using organic peroxy acids, such as m-chloroperbenzoic acid (m-CPBA) or peracetic acid. While effective, these reagents introduce significant safety hazards due to their inherent instability and potential for explosive decomposition during storage and handling. Furthermore, the use of stoichiometric amounts of peroxy acids generates substantial quantities of acidic waste byproducts, complicating downstream purification and increasing the environmental footprint of the manufacturing process. Alternative methods involving molecular oxygen often suffer from low conversion rates and poor selectivity, requiring complex transition metal catalysts that are difficult to separate from the final product. These legacy processes result in higher operational costs related to waste disposal, safety containment, and extensive purification steps to remove trace metal impurities.
The Novel Approach
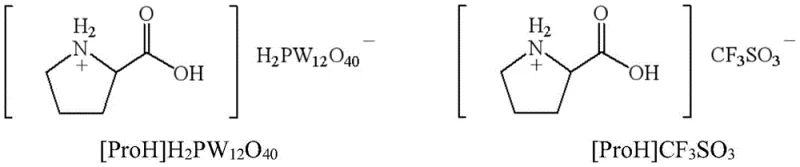
The innovative methodology described in the patent utilizes amino acid ionic liquids to catalyze the Baeyer-Villiger oxidation of cyclopentanone with hydrogen peroxide, effectively overcoming the drawbacks of traditional routes. These ionic liquids, synthesized from abundant natural amino acids and acids like trifluoromethanesulfonic acid or phosphotungstic heteropoly acid, act as dual-function catalysts that provide both the necessary acidic environment and phase-transfer capabilities. The presence of carboxylic acid functional groups within the catalyst structure facilitates the activation of hydrogen peroxide, leading to high reaction efficiency under mild conditions. Crucially, the water-soluble nature of these ionic liquids allows for a straightforward biphasic workup where the product resides in the organic phase and the catalyst remains in the aqueous phase. This unique property enables facile catalyst recovery and recycling, drastically simplifying the production workflow and reducing the consumption of raw materials.
Mechanistic Insights into Amino Acid Ionic Liquid Catalyzed Oxidation
The catalytic mechanism relies on the synergistic interaction between the protonated amino acid cation and the heteropolyanion or sulfonate anion to activate the oxidant. The ionic liquid creates a localized acidic microenvironment that promotes the nucleophilic attack of hydrogen peroxide on the carbonyl carbon of cyclopentanone. Specifically, the ammonium protons and the carboxylic acid side chains of the proline or aspartic acid moieties stabilize the Criegee intermediate, lowering the activation energy for the rearrangement step that forms the lactone ring. The use of phosphotungstic heteropoly acid anions further enhances the electrophilicity of the peroxide species, ensuring rapid turnover frequencies even at moderate temperatures of 40-60°C. This precise control over the reaction pathway minimizes side reactions such as over-oxidation or ring-opening hydrolysis, which are common pitfalls in less selective catalytic systems.
![Chemical structures of Proline-based ionic liquid catalysts [ProH]H2PW12O40 and [ProH]CF3SO3](/insights/img/delta-cyclopentanolide-synthesis-amino-acid-ionic-liquid-supplier-20260304144301-01.webp)
![Chemical structures of Aspartic acid-based ionic liquid catalysts [AspH]H2PW12O40 and [AspH]CF3SO3](/insights/img/delta-cyclopentanolide-synthesis-amino-acid-ionic-liquid-supplier-20260304144301-02.webp)
Impurity control is inherently managed through the mild reaction conditions and the specific structural features of the catalysts shown in the figures above. Unlike transition metal catalysts that can induce radical pathways leading to polymerization or degradation, these metal-free or low-toxicity metal complex ionic liquids favor a concerted oxidation mechanism. The high selectivity observed, often exceeding 80% in optimized examples, ensures that the crude product contains minimal byproducts, thereby reducing the burden on distillation or crystallization units. Furthermore, the biodegradability of the amino acid backbone ensures that any trace catalyst carryover does not pose long-term ecological risks, aligning with the growing demand for green chemistry principles in the synthesis of high-purity fine chemical intermediates. This mechanistic robustness makes the process highly attractive for scale-up operations where consistency and purity are paramount.
How to Synthesize Delta-Cyclopentanolide Efficiently
The synthesis protocol outlined in the patent provides a clear roadmap for implementing this technology in a pilot or commercial setting. The process involves charging a reactor with cyclopentanone and a specific loading of the amino acid ionic liquid catalyst, typically ranging from 3 to 5 mol%, in a solvent such as benzonitrile. Upon heating the mixture to the target temperature, a 30% aqueous hydrogen peroxide solution is added dropwise to control the exotherm and maintain safe operating pressure. The reaction proceeds for 3 to 6 hours, after which the mixture spontaneously separates into two distinct layers, facilitating immediate isolation of the product. For detailed operational parameters and specific molar ratios required to achieve maximum yield, please refer to the standardized synthesis guide below.
- Prepare the reaction mixture by adding cyclopentanone and the specific amino acid ionic liquid catalyst (e.g., [ProH]H2PW12O40) into a reactor with benzonitrile solvent.
- Heat the mixture to 40-60°C under magnetic stirring and slowly add 30% hydrogen peroxide solution dropwise over a controlled period.
- Maintain reaction temperature for 3-6 hours, then separate the phases, extract the organic layer, and recover the aqueous catalyst phase for recycling.
Commercial Advantages for Procurement and Supply Chain Teams
Adopting this amino acid ionic liquid catalyzed process offers transformative benefits for procurement strategies and supply chain resilience in the fine chemical sector. By shifting away from hazardous peroxy acids, manufacturers can significantly reduce insurance premiums and safety infrastructure costs associated with handling explosive reagents. The ability to recycle the catalyst multiple times without significant loss of activity translates directly into lower raw material expenditure per kilogram of product. Additionally, the use of hydrogen peroxide, which decomposes into water and oxygen, eliminates the generation of heavy metal waste streams, simplifying regulatory compliance and wastewater treatment requirements. These factors collectively contribute to a more sustainable and economically viable manufacturing model for delta-cyclopentanolide.
- Cost Reduction in Manufacturing: The elimination of expensive stoichiometric oxidants and the implementation of a recyclable catalyst system fundamentally alter the cost structure of production. Since the ionic liquid can be recovered from the aqueous phase and reused, the effective cost of the catalyst per batch diminishes rapidly over time. Furthermore, the simplified workup procedure reduces solvent consumption and energy usage associated with extensive purification steps. This streamlined approach allows for substantial cost savings in fine chemical manufacturing, making the final product more competitive in the global market without compromising on quality or yield.
- Enhanced Supply Chain Reliability: Sourcing stability is greatly improved as the key catalyst components, proline and aspartic acid, are commodity chemicals available from numerous global suppliers. Unlike specialized transition metal complexes that may face supply bottlenecks or geopolitical restrictions, amino acids are produced at massive scales for the food and feed industries. This abundance ensures that the production of delta-cyclopentanolide is not vulnerable to single-source supplier risks. Moreover, the robustness of the reaction conditions allows for flexible scheduling and reduced lead time for high-purity pharmaceutical intermediates, ensuring consistent delivery to downstream customers.
- Scalability and Environmental Compliance: The process is inherently scalable due to its operation at atmospheric pressure and moderate temperatures, removing the need for high-pressure autoclaves or cryogenic cooling systems. The benign nature of the reagents facilitates easier permitting and environmental impact assessments in new jurisdictions. As regulatory bodies worldwide tighten restrictions on volatile organic compounds and heavy metal residues, this green synthesis route future-proofs the supply chain against evolving compliance standards. The high biodegradability of the catalyst components further supports corporate sustainability goals, enhancing the brand value of the final chemical products.
Frequently Asked Questions (FAQ)
The following questions address common technical and commercial inquiries regarding the implementation of this catalytic technology. The answers are derived directly from the experimental data and beneficial effects reported in the patent documentation, providing a factual basis for decision-making. Understanding these nuances is essential for R&D directors evaluating process feasibility and procurement managers assessing vendor capabilities. We encourage stakeholders to review these insights to fully appreciate the operational advantages offered by this novel synthetic route.
Q: What are the primary advantages of using amino acid ionic liquids over traditional peroxy acids?
A: Amino acid ionic liquids offer superior safety profiles by eliminating the explosion risks associated with organic peroxy acids. They provide a tunable acidic environment via -COOH functional groups, leading to higher selectivity and easier product separation due to their water solubility.
Q: Can the catalyst be recycled in this synthesis process?
A: Yes, the amino acid ionic liquid catalyst dissolves in the aqueous phase after the reaction, allowing for simple phase separation. The water phase can be dried under vacuum to recover the catalyst, which maintains stable catalytic performance over multiple cycles.
Q: What represents the optimal reaction temperature for this oxidation?
A: The patent data indicates an optimal temperature range of 40-60°C. Operating within this window ensures high conversion rates of cyclopentanone while maintaining excellent selectivity for delta-cyclopentanolide, balancing reaction kinetics with energy efficiency.
Partnering with NINGBO INNO PHARMCHEM: Your Reliable Delta-Cyclopentanolide Supplier
At NINGBO INNO PHARMCHEM, we recognize the strategic importance of adopting green and efficient synthetic routes for critical intermediates like delta-cyclopentanolide. Our team of expert chemists possesses extensive experience scaling diverse pathways from 100 kgs to 100 MT/annual commercial production, ensuring that laboratory successes are seamlessly translated into industrial reality. We are committed to delivering products that meet stringent purity specifications through our rigorous QC labs, which utilize advanced analytical techniques to verify identity and assay. By integrating the amino acid ionic liquid technology into our portfolio, we can offer clients a superior balance of cost-efficiency and environmental responsibility.
We invite you to collaborate with us to optimize your supply chain for this valuable intermediate. Our technical sales team is prepared to provide a Customized Cost-Saving Analysis tailored to your specific volume requirements and quality standards. Please contact our technical procurement team today to request specific COA data and route feasibility assessments. Let us partner with you to drive innovation and efficiency in your manufacturing operations, ensuring a steady supply of high-quality materials for your global applications.
