Advanced Catalytic Synthesis of 2,3-Diacylquinoline Compounds for Commercial Scale-Up
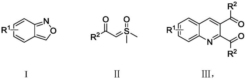
The pharmaceutical and fine chemical industries are constantly seeking robust synthetic methodologies that balance structural complexity with economic viability. A recent breakthrough detailed in patent CN109912503B introduces a highly efficient synthetic method for 2,3-diacylquinoline compounds, a core skeleton structure prevalent in bioactive substances and synthetic drugs. This innovation addresses the critical need for streamlined production processes by utilizing benzo[c]isoxazole and sulfur ylide reagents in a catalytic oxidative cyclization. The significance of this technology lies in its ability to construct the diacylquinoline heterocyclic skeleton, which possesses vital functions such as antibacterial, anti-inflammatory, and antimalarial activities, through a direct and atom-economical pathway. By leveraging this patented approach, manufacturers can access a reliable pharmaceutical intermediate supplier capable of delivering high-purity compounds essential for downstream drug development.
The Limitations of Conventional Methods vs. The Novel Approach
The Limitations of Conventional Methods
Historically, the synthesis of 2,3-diacylquinoline compounds has been plagued by significant inefficiencies that hinder large-scale production and cost-effectiveness. Traditional routes often rely on o-aminobenzaldehyde as the primary starting material, which is not only expensive but also necessitates multiple reaction steps to achieve the desired oxidation state. These multi-step sequences inherently increase the consumption of chemical raw materials and generate substantial waste, thereby inflating the industrial cost for synthesizing these valuable heterocycles. Furthermore, the requirement for harsh oxidation conditions in conventional methods can lead to poor selectivity and the formation of difficult-to-remove impurities, complicating the purification process and reducing overall yield. Such limitations create bottlenecks in the supply chain, making it challenging to secure a consistent supply of high-purity OLED material or pharmaceutical precursors needed for rigorous clinical applications.
The Novel Approach
In stark contrast to legacy techniques, the novel approach disclosed in the patent utilizes a [4+1+1] cyclization strategy between benzo[c]isoxazole and thioylide reagents, fundamentally reshaping the synthetic landscape. This method eliminates the need for expensive pre-functionalized starting materials by employing readily available benzo[c]isoxazole derivatives, which can be synthesized efficiently from o-nitrobenzaldehyde. The reaction proceeds under the influence of a dual catalytic system, enabling the direct construction of the quinoline core with high regioselectivity. This streamlined process not only reduces the number of operational steps but also significantly lowers the barrier to entry for cost reduction in electronic chemical manufacturing. The versatility of this approach is demonstrated by its wide substrate scope, accommodating various substituents on both the benzene ring and the acyl groups, thus providing a flexible platform for generating diverse libraries of bioactive molecules.
![General reaction scheme showing the synthesis of 2,3-diacylquinoline from benzo[c]isoxazole and sulfur ylide](/insights/img/2-3-diacylquinoline-synthesis-pharma-supplier-20260305202200-01.webp)
Mechanistic Insights into Cu/Ag-Catalyzed Oxidative Cyclization
The mechanistic foundation of this synthesis relies on a sophisticated interplay between copper and silver catalysts under an oxygen atmosphere to drive the oxidative cyclization. The reaction initiates with the activation of the sulfur ylide reagent by the copper catalyst, generating a reactive intermediate that subsequently attacks the benzo[c]isoxazole ring. The presence of silver triflate acts as a co-catalyst, likely facilitating the cleavage of the N-O bond in the isoxazole moiety and promoting the rearomatization of the quinoline system. This dual-metal synergy ensures that the reaction proceeds smoothly at moderate temperatures ranging from 70°C to 110°C, avoiding the thermal degradation often associated with higher temperature processes. The requirement for an oxygen atmosphere is critical, as it serves as the terminal oxidant to regenerate the active catalytic species and drive the thermodynamic equilibrium towards the formation of the 2,3-diacylquinoline product.
Impurity control is a paramount concern in the production of high-purity pharmaceutical intermediates, and this method offers distinct advantages in managing side reactions. The use of specific solvents such as N,N-dimethylformamide (DMF) or tetrahydrofuran (THF) helps to solubilize the reactants effectively while minimizing non-specific background reactions. The precise stoichiometric control, with a molar ratio of benzo[c]isoxazole to sulfur ylide ranging from 1:1.0 to 2.0, prevents the accumulation of unreacted starting materials that could complicate downstream purification. Furthermore, the mild reaction conditions reduce the likelihood of polymerization or decomposition of the sensitive acyl groups, ensuring a cleaner crude product profile. This inherent cleanliness translates to simplified workup procedures, where standard silica gel column chromatography is sufficient to isolate the target compound with high purity, meeting the stringent quality standards required for commercial scale-up of complex polymer additives or drug candidates.
![Synthesis route of benzo[c]isoxazole starting material from o-nitrobenzaldehyde](/insights/img/2-3-diacylquinoline-synthesis-pharma-supplier-20260305202200-04.webp)
How to Synthesize 2,3-Diacylquinoline Efficiently
The practical implementation of this synthesis involves dissolving the benzo[c]isoxazole and the thioylide reagent in a suitable organic solvent, followed by the addition of the copper and silver catalysts. The reaction mixture is then heated under an oxygen atmosphere for a duration of 10 to 14 hours to ensure complete conversion. Upon completion, the solvent is removed under reduced pressure, and the residue is purified using column chromatography with a petroleum ether and ethyl acetate eluent system. This standardized protocol allows for the reproducible production of various 2,3-diacylquinoline derivatives with consistent quality. For detailed operational parameters and specific examples of substrate variations, please refer to the comprehensive guide below.
- Dissolve benzo[c]isoxazole and substituted arylcarbonyl oxysulfide ylides in an organic solvent such as DMF or THF.
- Add copper powder and silver triflate catalysts to the reaction mixture under an oxygen atmosphere.
- Heat the reaction to 70-110°C for 10-14 hours, then purify the crude product via silica gel column chromatography.
Commercial Advantages for Procurement and Supply Chain Teams
From a procurement and supply chain perspective, this synthetic methodology offers transformative benefits that directly impact the bottom line and operational resilience. The shift away from expensive o-aminobenzaldehyde to cheaper benzo[c]isoxazole precursors represents a fundamental change in the cost structure of raw material acquisition. By utilizing catalysts that are not only cheap but also required in minute quantities (0.05 to 0.2 equivalents), the process drastically reduces the dependency on precious metals, thereby insulating the production cost from volatile market fluctuations in metal prices. This economic efficiency is further compounded by the simplicity of the operation, which reduces labor costs and minimizes the risk of human error during manufacturing, ensuring a more stable and predictable supply of critical intermediates for global partners.
- Cost Reduction in Manufacturing: The elimination of multi-step oxidation sequences and the use of inexpensive catalysts lead to substantial cost savings in the overall manufacturing process. By avoiding the need for expensive reagents and complex purification steps associated with traditional methods, the total cost of goods sold is significantly lowered. This economic advantage allows for more competitive pricing strategies in the global market for fine chemical intermediates, making high-quality 2,3-diacylquinolines accessible for a broader range of applications without compromising on quality or purity standards.
- Enhanced Supply Chain Reliability: The reliance on widely available and commercially viable starting materials enhances the robustness of the supply chain against disruptions. Since benzo[c]isoxazole and the necessary sulfur ylides can be sourced from multiple suppliers or synthesized in-house with high efficiency, the risk of raw material shortages is minimized. This reliability is crucial for maintaining continuous production schedules and meeting tight delivery deadlines for international clients who depend on a steady flow of high-purity pharmaceutical intermediates for their own drug development pipelines.
- Scalability and Environmental Compliance: The reaction conditions are mild and operate in common organic solvents, facilitating easy scale-up from laboratory to industrial production without significant engineering hurdles. The reduced consumption of chemical reagents and the generation of less hazardous waste align with modern environmental compliance standards, reducing the burden on waste treatment facilities. This green chemistry approach not only lowers disposal costs but also enhances the corporate sustainability profile, appealing to environmentally conscious stakeholders and regulatory bodies overseeing the production of specialty chemicals.
Frequently Asked Questions (FAQ)
The following questions address common technical and commercial inquiries regarding the synthesis and application of 2,3-diacylquinoline compounds. These answers are derived directly from the technical specifications and experimental data provided in the patent literature, ensuring accuracy and relevance for industry professionals. Understanding these details is essential for evaluating the feasibility of integrating this technology into existing production workflows or for sourcing these compounds for research and development purposes.
Q: What are the primary advantages of this synthesis method over traditional routes?
A: This method utilizes cheap and easily available raw materials like benzo[c]isoxazole instead of expensive o-aminobenzaldehyde, significantly reducing industrial costs and simplifying the operational steps.
Q: What catalysts are required for the oxidative cyclization?
A: The reaction employs a dual catalytic system consisting of elemental copper powder and silver triflate, used in small amounts (0.05-0.2 equivalents) to ensure high efficiency.
Q: Is this process suitable for large-scale manufacturing?
A: Yes, the process features simple operation, mild reaction conditions (70-110°C), and wide substrate applicability, making it highly suitable for commercial scale-up of complex pharmaceutical intermediates.
Partnering with NINGBO INNO PHARMCHEM: Your Reliable 2,3-Diacylquinoline Supplier
At NINGBO INNO PHARMCHEM, we recognize the strategic importance of advanced synthetic methodologies in driving innovation within the pharmaceutical and fine chemical sectors. Our team of expert chemists possesses extensive experience scaling diverse pathways from 100 kgs to 100 MT/annual commercial production, ensuring that the transition from bench-scale discovery to industrial manufacturing is seamless and efficient. We are committed to delivering products that meet stringent purity specifications through our rigorous QC labs, guaranteeing that every batch of 2,3-diacylquinoline intermediate adheres to the highest international standards. Our capability to implement the Cu/Ag catalyzed oxidative cyclization process allows us to offer a cost-effective and reliable source of these critical building blocks for your drug discovery programs.
We invite you to collaborate with us to leverage this cutting-edge technology for your specific project needs. By engaging with our technical procurement team, you can request a Customized Cost-Saving Analysis tailored to your volume requirements and quality expectations. We encourage potential partners to reach out for specific COA data and route feasibility assessments to determine how our optimized synthesis of 2,3-diacylquinolines can enhance your supply chain efficiency and accelerate your time to market. Let us be your trusted partner in navigating the complexities of modern chemical synthesis and achieving your commercial objectives.
