Scalable Chemical Synthesis of Polyhydrogen Dalesconol Analogs for Global Pharmaceutical Supply Chains
Scalable Chemical Synthesis of Polyhydrogen Dalesconol Analogs for Global Pharmaceutical Supply Chains
The development of novel immunosuppressive agents remains a critical frontier in modern pharmaceutical research, particularly for treating autoimmune disorders and preventing organ transplant rejection. Among the emerging candidates, Dalesconol A and B, isolated from fungi such as Daldinia eschscholzii, have demonstrated potent inhibitory effects on Con A-induced mice splenocyte proliferation with selectivity indices superior to Cyclosporin A. However, relying solely on microbial fermentation for sourcing these complex polyketides presents significant bottlenecks, including low productivity and limited structural diversity. To address these challenges, patent CN102336642B discloses a robust chemical methodology for preparing polyhydrogen dalesconol compounds, offering a transformative pathway for reliable pharmaceutical intermediate supplier networks seeking to secure high-purity lead compounds.

This patented approach not only facilitates the mass production of the natural products but also enables the systematic construction of derivative libraries, which is essential for structure-activity relationship (SAR) studies. By shifting from biological extraction to total chemical synthesis, manufacturers can bypass the inherent variability of fermentation processes. The strategy outlined in the patent utilizes readily available starting materials and establishes a convergent synthetic route that is amenable to optimization. For R&D directors and procurement specialists, understanding this synthetic logic is paramount for evaluating the feasibility of integrating these molecules into broader drug development pipelines.
The Limitations of Conventional Methods vs. The Novel Approach
The Limitations of Conventional Methods
Traditionally, the acquisition of bioactive fungal metabolites like Dalesconols has relied heavily on isolation from natural sources or microbial fermentation. While effective for initial discovery, these methods suffer from severe scalability issues when transitioning to preclinical and clinical supply demands. Fermentation processes are often plagued by low titers, meaning vast amounts of biomass are required to isolate minute quantities of the active ingredient, driving up the cost of goods sold (COGS) exponentially. Furthermore, the biological pathway is rigid; modifying the fungal genome to produce specific analogs is technically arduous and time-consuming, limiting the ability of medicinal chemists to explore chemical space around the core scaffold. This inflexibility hinders the optimization of pharmacokinetic properties and toxicity profiles, creating a bottleneck in the drug discovery timeline.
The Novel Approach
In stark contrast, the chemical synthesis method described in patent CN102336642B offers a modular and highly controllable alternative. The core innovation lies in a convergent strategy that assembles the complex polycyclic framework through a series of well-defined organic transformations. By utilizing palladium-catalyzed cross-coupling reactions, the process efficiently links distinct aromatic fragments, establishing the carbon backbone with high precision. This chemical approach decouples production from biological constraints, allowing for the use of inexpensive commodity chemicals as starting points. Consequently, this methodology supports cost reduction in pharmaceutical intermediate manufacturing by enabling batch processing in standard reactor vessels rather than specialized fermenters, significantly enhancing supply chain reliability and throughput capacity.

Mechanistic Insights into Palladium-Catalyzed Assembly and Cyclization
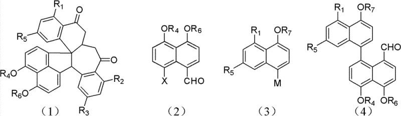
The synthetic route hinges on a sophisticated sequence of bond-forming reactions that construct the sterically congested core of the polyhydrogen dalesconol molecule. The process initiates with a palladium-catalyzed coupling between a halogenated naphthalene derivative and an organoboron species, likely proceeding through a standard catalytic cycle involving oxidative addition, transmetallation, and reductive elimination. This step is critical for establishing the biaryl linkage that serves as the foundation for subsequent ring closures. Following the coupling, the synthesis employs n-butyllithium to generate a reactive nucleophile, which attacks a ketone or aldehyde functionality to install the necessary side chains. The subsequent dearomatization and cyclization steps are particularly noteworthy, as they transform planar aromatic systems into the three-dimensional architecture required for biological activity, often mediated by acidic conditions or Lewis acids like silica gel.
Impurity control in such complex syntheses is managed through the careful selection of protecting groups and reaction conditions that favor thermodynamic stability. For instance, the use of silyl ethers or methoxymethyl (MOM) groups protects sensitive phenolic hydroxyls during harsh lithiation steps, preventing side reactions that could lead to difficult-to-remove byproducts. The final intramolecular Michael addition, catalyzed by strong bases such as lithium hexamethyldisilazide (LiHMDS), closes the remaining rings with high stereocontrol. This mechanistic precision ensures that the final product possesses the correct configuration, which is vital since the patent notes that enantiopure compounds exhibit superior immunosuppressive performance compared to racemic mixtures. Understanding these mechanistic nuances allows process chemists to troubleshoot potential scale-up issues related to exotherms or mixing efficiency.

How to Synthesize Polyhydrogen Dalesconol Compounds Efficiently
Executing this synthesis requires strict adherence to the optimized parameters detailed in the patent embodiments to ensure reproducibility and high yield. The process begins with the preparation of key intermediates, such as brominated naphthaldehydes, which serve as the electrophilic partners in the coupling reaction. Operators must maintain an inert atmosphere, typically using nitrogen or argon, especially during the organolithium steps to prevent quenching by moisture or oxygen. The reaction temperatures vary significantly across the sequence, ranging from cryogenic conditions of -78°C for lithiation to elevated temperatures of up to 150°C for certain coupling events. Detailed standard operating procedures (SOPs) regarding reagent addition rates and quenching protocols are essential to manage the safety risks associated with pyrophoric reagents like n-butyllithium.
- Prepare key naphthalene intermediates via halogenation and formylation of protected 1,8-naphthalenediol derivatives.
- Execute a palladium-catalyzed cross-coupling reaction between the halogenated naphthalene and a boronic ester derivative.
- Perform nucleophilic addition using n-butyllithium followed by acid-catalyzed dearomatization and intramolecular Michael addition to close the rings.
Commercial Advantages for Procurement and Supply Chain Teams
For procurement managers and supply chain heads, the transition to this chemical synthesis route offers tangible strategic benefits beyond mere technical feasibility. The primary advantage lies in the substantial cost savings derived from the use of commodity-grade starting materials. Unlike specialized fermentation substrates, precursors like 1,8-naphthalic anhydride and simple aryl halides are produced on a massive industrial scale, ensuring price stability and availability. This shift eliminates the volatility associated with biological sourcing, where crop failures or contamination can disrupt supply. Furthermore, the synthetic route is designed with scalability in mind, utilizing common organic solvents such as tetrahydrofuran, toluene, and dimethylformamide, which simplifies solvent recovery and waste management protocols in a GMP manufacturing environment.
- Cost Reduction in Manufacturing: The elimination of expensive fermentation infrastructure and the reliance on cheap, commercially available raw materials drastically lowers the barrier to entry for production. By avoiding the need for complex downstream purification typical of biological extracts, the overall processing time is reduced, leading to significant operational expenditure (OpEx) savings. The high yields reported in the patent embodiments for key steps further contribute to material efficiency, minimizing waste generation and maximizing the output per batch.
- Enhanced Supply Chain Reliability: Chemical synthesis provides a predictable production schedule that is not subject to the biological lag times of cell growth and metabolite secretion. This predictability allows for better inventory planning and just-in-time delivery models, reducing the need for large safety stocks. Additionally, the ability to synthesize derivatives means that supply can be diversified across a range of analogs, mitigating the risk of obsolescence if regulatory requirements shift towards specific structural variants.
- Scalability and Environmental Compliance: The process operates under relatively mild conditions compared to high-pressure hydrogenation or extreme temperature reactions, reducing energy consumption. The use of established catalytic systems, such as palladium complexes, allows for potential catalyst recycling strategies, aligning with green chemistry principles. This environmental compatibility simplifies regulatory approval for manufacturing sites and reduces the burden of hazardous waste disposal, making the process sustainable for long-term commercial operation.
Frequently Asked Questions (FAQ)
The following questions address common technical and commercial inquiries regarding the production of polyhydrogen dalesconol compounds. These insights are derived directly from the experimental data and claims within the patent documentation, providing clarity on process robustness and product quality. Understanding these aspects is crucial for stakeholders evaluating the technology for licensing or contract manufacturing agreements.
Q: Why is chemical synthesis preferred over fermentation for Dalesconol production?
A: Chemical synthesis overcomes the low yield and product singularity limitations of microbial fermentation, allowing for the creation of diverse derivative libraries for drug discovery.
Q: What are the critical reaction conditions for the cyclization step?
A: The dearomatization and cyclization require precise temperature control between 10°C and 80°C, often utilizing silica gel or acidic catalysts to ensure high stereochemical fidelity.
Q: Is this process suitable for large-scale commercial manufacturing?
A: Yes, the patent explicitly highlights the use of cheap raw materials and mild reaction conditions, indicating significant potential for industrial scale-up from kilograms to metric tons.
Partnering with NINGBO INNO PHARMCHEM: Your Reliable Polyhydrogen Dalesconol Supplier
At NINGBO INNO PHARMCHEM, we recognize the immense therapeutic potential of polyhydrogen dalesconol compounds and are committed to bridging the gap between academic innovation and commercial reality. As a premier CDMO partner, we possess extensive experience scaling diverse pathways from 100 kgs to 100 MT/annual commercial production, ensuring that your supply needs are met with unwavering consistency. Our state-of-the-art facilities are equipped with rigorous QC labs capable of meeting stringent purity specifications, guaranteeing that every batch of intermediate or API adheres to the highest international standards. We understand that moving from milligram-scale discovery to ton-scale production requires more than just a recipe; it demands deep process engineering expertise.
We invite you to collaborate with our technical procurement team to explore how this patented synthesis can be adapted to your specific development timelines. By engaging with us early, you can benefit from a Customized Cost-Saving Analysis that identifies opportunities to optimize the route for your specific volume requirements. We encourage potential partners to request specific COA data and route feasibility assessments to validate the technical merits of this approach for your pipeline. Let us be your trusted partner in bringing these next-generation immunosuppressants to the global market efficiently and reliably.
