Advanced Manufacturing of Sacubitril Intermediate via Silicon Ylide Chemistry for Global Supply Chains
Advanced Manufacturing of Sacubitril Intermediate via Silicon Ylide Chemistry for Global Supply Chains
The pharmaceutical landscape for cardiovascular therapeutics has been significantly reshaped by the introduction of LCZ696, a first-in-class angiotensin receptor-neprilysin inhibitor (ARNI). As detailed in patent CN113135841A, the efficient synthesis of its active components, particularly the Sacubitril moiety, remains a critical challenge for generic manufacturers and supply chain strategists. The structural complexity of LCZ696, which combines valsartan and the prodrug Sacubitril, demands precision in stereochemistry and impurity control to meet stringent regulatory standards.
. Traditional synthetic routes have long struggled with low yields and the formation of difficult-to-remove cyclic impurities, creating bottlenecks in the reliable API intermediate supplier network. This technical insight report analyzes a breakthrough preparation method that replaces conventional phosphorus chemistry with a superior silicon ylide-mediated pathway, offering a transformative solution for cost reduction in pharmaceutical intermediate manufacturing.
The Limitations of Conventional Methods vs. The Novel Approach
The Limitations of Conventional Methods
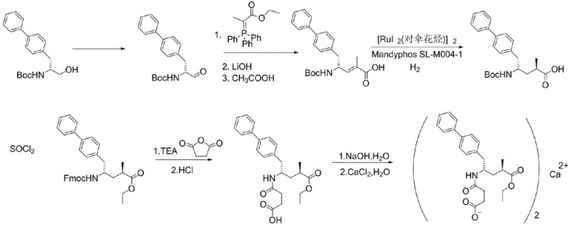
Historically, the industrial synthesis of Sacubitril intermediates has relied heavily on the classical Wittig olefination strategy. This conventional pathway typically initiates with the oxidation of a hydroxyl precursor to an aldehyde, followed by a reaction with carbethoxyethylidene triphenylphosphine. While chemically sound in theory, this approach introduces significant downstream processing burdens. Specifically, the resulting olefinic acid requires a mandatory alkaline hydrolysis step before it can undergo catalytic hydrogenation. Furthermore, the subsequent ethyl esterification using thionyl chloride (SOCl2) often triggers the removal of N-protecting groups under the reaction conditions.
. This premature deprotection facilitates an undesirable intramolecular cyclization, leading to the formation of the persistent self-condensed impurity known as (3R,5S)-5-([1,1'-biphenyl]-4-ethylmethyl)-4-methylpiperidin-2-one. The presence of this structurally similar byproduct complicates purification, drastically reduces overall yield, and poses a potential safety hazard if carried through to the final drug product, thereby undermining the efficiency of high-purity pharmaceutical intermediate production.
The Novel Approach
In stark contrast to the legacy phosphorus-based methodologies, the patented innovation introduces a streamlined silicon ylide strategy that fundamentally alters the reaction landscape. By utilizing 2-bromopropionic acid as a starting material, the process generates a reactive silicon ylide reagent in situ through a zinc-mediated transformation with tertiary silicon halides. This reagent couples directly with the biphenyl aldehyde derivative under mild conditions to form the desired olefinic skeleton without the need for subsequent hydrolysis.
. The elimination of the alkaline hydrolysis step not only shortens the synthetic sequence but also preserves the integrity of the N-protecting group throughout the hydrogenation and esterification phases. Consequently, the risk of forming the cyclic piperidinone impurity is effectively mitigated. This novel approach delivers a Sacubitril intermediate with exceptional purity profiles and significantly improved yields, establishing a new benchmark for the commercial scale-up of complex pharmaceutical intermediates.
Mechanistic Insights into Silicon Ylide Mediated Olefination
The core mechanistic advantage of this technology lies in the unique reactivity profile of the silicon ylide species generated from 2-bromopropionic acid and tertiary silicon halides such as trimethylchlorosilane. Unlike phosphorus ylides, which often require strong bases and generate stoichiometric amounts of phosphine oxide waste, the silicon-based system operates via a Reformatsky-type mechanism that is inherently more atom-economical. The reaction proceeds through the formation of an organozinc intermediate which subsequently reacts with the silyl halide to create the active nucleophile. This species attacks the aldehyde carbonyl of the protected biphenyl substrate with high stereoselectivity, driven by the specific coordination environment provided by the solvent system, typically toluene or isopropyl acetate. The mild nature of this coupling ensures that sensitive functional groups, particularly the carbamate protecting groups (Boc or Fmoc), remain untouched, preserving the chiral integrity of the molecule essential for biological activity.
Furthermore, the mechanism elegantly solves the long-standing issue of impurity control during the final esterification stage. In traditional routes, the acidic conditions of SOCl2 esterification combined with heat often cleave the N-protecting group, exposing the free amine which then attacks the adjacent ester to form the cyclic lactam impurity. In this silicon-mediated pathway, the reaction conditions are optimized to maintain a neutral to weakly acidic environment that favors esterification without deprotection. The specific choice of catalysts, such as tetrakis(triphenylphosphine)palladium on carbon for the hydrogenation step, ensures complete reduction of the double bond without affecting the protecting group stability. This precise control over the reaction microenvironment prevents the intramolecular nucleophilic attack that leads to polymerization or cyclization, ensuring that the final product meets the rigorous purity specifications required for a reliable API intermediate supplier.
How to Synthesize Sacubitril Intermediate Efficiently
The operational protocol for this synthesis is designed for robustness and scalability, making it ideal for transfer from pilot plant to full commercial production. The process begins with the careful generation of the silicon ylide reagent at controlled low temperatures to manage exothermicity, followed by a straightforward coupling reaction that can be monitored via TLC. The subsequent hydrogenation and esterification steps are performed in a closed pressure-resistant system, ensuring safety and consistency. For R&D teams looking to implement this technology, the detailed standardized synthesis steps are outlined below to facilitate immediate process adoption.
- Generate the silicon ylide reagent (Compound I) by reacting 2-bromopropionic acid with zinc powder and a tertiary silicon halide in an organic solvent at 0-10°C.
- React the silicon ylide solution with the protected biphenyl aldehyde derivative to form the olefinic intermediate (Compound II) via a mild coupling reaction.
- Perform catalytic hydrogenation of Compound II followed by direct ethyl esterification using thionyl chloride to obtain the high-purity Sacubitril intermediate.
Commercial Advantages for Procurement and Supply Chain Teams
For procurement managers and supply chain directors, the transition to this silicon ylide-based methodology represents a strategic opportunity to optimize the cost structure and reliability of the Sacubitril supply chain. The traditional reliance on phosphorus reagents involves not only higher raw material costs but also significant waste disposal expenses associated with phosphine oxides. By shifting to silicon chemistry, manufacturers can achieve substantial cost savings through reduced reagent consumption and simplified waste treatment protocols. Additionally, the shortened synthetic route eliminates an entire unit operation (alkaline hydrolysis), which translates to reduced labor hours, lower energy consumption, and decreased equipment occupancy time. These efficiencies collectively contribute to a more competitive pricing model for the final intermediate, addressing the critical need for cost reduction in pharmaceutical intermediate manufacturing without compromising quality.
- Cost Reduction in Manufacturing: The elimination of the alkaline hydrolysis step and the use of cheaper, more abundant silicon reagents compared to specialized phosphorus ylides drastically lowers the bill of materials. Furthermore, the avoidance of complex purification steps required to remove the cyclic piperidinone impurity reduces solvent usage and chromatography costs. This streamlined process flow ensures that the overall production cost is significantly lower than that of conventional methods, providing a clear economic advantage for large-scale buyers.
- Enhanced Supply Chain Reliability: The raw materials for this process, specifically 2-bromopropionic acid and common tertiary silicon halides, are commodity chemicals with stable global supply chains, unlike some specialized chiral ligands or phosphorus reagents that may face availability fluctuations. The robustness of the reaction conditions, which tolerate a wider range of parameters without generating critical impurities, ensures consistent batch-to-batch quality. This reliability minimizes the risk of production delays and ensures a steady flow of high-purity intermediates to downstream API manufacturers, securing the continuity of the drug supply.
- Scalability and Environmental Compliance: The process is inherently scalable, having been demonstrated to work efficiently in standard pressure reactors with simple crystallization workups. The reduction in hazardous waste, particularly the absence of phosphorus-containing byproducts, aligns with increasingly stringent environmental regulations and green chemistry principles. This makes the facility easier to permit and operate in regulated jurisdictions, reducing the regulatory burden and enhancing the long-term sustainability of the manufacturing operation for complex pharmaceutical intermediates.
Frequently Asked Questions (FAQ)
The following questions address common technical and commercial inquiries regarding the implementation of this novel synthesis route. These answers are derived directly from the experimental data and technical disclosures within the patent documentation, providing clarity on the feasibility and benefits of adopting this technology for your specific production needs.
Q: How does the silicon ylide method prevent the formation of piperidinone impurities?
A: The novel route avoids the harsh alkaline hydrolysis step required in traditional phosphorus ylide methods. By maintaining neutral to weakly acidic conditions during the esterification with thionyl chloride, the N-protecting group remains intact, preventing the intramolecular cyclization that leads to the self-condensed piperidinone impurity.
Q: What are the advantages of using tertiary silicon halides over phosphorus ylides?
A: Tertiary silicon halides offer milder reaction conditions and eliminate the need for a separate alkaline hydrolysis step post-olefination. This reduces the total number of unit operations, lowers waste generation, and simplifies the purification process, resulting in higher overall yields.
Q: Is this process suitable for large-scale commercial production?
A: Yes, the process utilizes readily available raw materials like 2-bromopropionic acid and operates under moderate temperatures (0-30°C) and pressures (5 MPa for hydrogenation). The robust crystallization protocols described ensure consistent purity levels suitable for multi-ton manufacturing.
Partnering with NINGBO INNO PHARMCHEM: Your Reliable Sacubitril Intermediate Supplier
At NINGBO INNO PHARMCHEM, we recognize that the successful commercialization of cardiovascular therapies like LCZ696 depends on a secure and high-quality supply of critical intermediates. Our team possesses extensive experience scaling diverse pathways from 100 kgs to 100 MT/annual commercial production, ensuring that we can meet the volumetric demands of global pharmaceutical partners. We are committed to delivering products with stringent purity specifications, supported by our rigorous QC labs that utilize advanced analytical techniques to verify the absence of critical impurities such as the piperidinone derivative. Our capability to implement the silicon ylide technology described in CN113135841A positions us as a leader in providing high-purity pharmaceutical intermediates that drive efficiency in your drug development pipeline.
We invite you to engage with our technical procurement team to discuss how this advanced manufacturing route can benefit your specific project requirements. By requesting a Customized Cost-Saving Analysis, you can gain a detailed understanding of the economic impact of switching to this superior synthetic method. We encourage potential partners to contact us directly to obtain specific COA data and route feasibility assessments, ensuring that your supply chain is built on a foundation of scientific excellence and commercial reliability.
